四环素对羊绿蝇微生物组、转录组和雄性交配行为的直接和跨代影响。

IF 2.2 3区 生物学 Q3 GENETICS & HEREDITY
Alexis L Kriete, Maxwell J Scott
{"title":"四环素对羊绿蝇微生物组、转录组和雄性交配行为的直接和跨代影响。","authors":"Alexis L Kriete, Maxwell J Scott","doi":"10.1093/g3journal/jkaf160","DOIUrl":null,"url":null,"abstract":"<p><p>Tetracyclines are broad-spectrum antibiotics widely used in agriculture, medicine, and research. However, they are associated with harmful side effects. In arthropods, parental exposure to tetracyclines has been linked to reduced health and fitness in untreated offspring. These transgenerational effects of tetracyclines could jeopardize the success of pest control programs that use tetracyclines to control gene expression. In this study, we investigated the transgenerational effects of 2 tetracyclines, doxycycline (DOX) and anhydrotetracycline (ATC), in the blowfly Lucilia cuprina, a significant pest of sheep. To simulate the rearing conditions of a transgenic male-only release program, blowflies were reared on standard diet alone, or standard diet plus DOX or ATC, for 3 generations, and then reared for an additional fourth generation on standard diet alone. We used behavioral assays, 16S amplicon sequencing, and mRNA sequencing to determine how DOX and ATC influenced male sexual competitiveness, microbiome composition, and gene expression in the third and fourth generations. We found that 3 generations of DOX treatment led to lower sexual competitiveness in both third- and fourth-generation males. In addition, DOX and ATC shifted the composition of the blowfly microbiome and altered the expression of numerous mitochondria- and immunity-related genes in both generations. Our study supports an emerging body of evidence that tetracyclines exert not only direct but also transgenerational effects, and sheds light on the transcriptional and microbial responses to antibiotic exposure and removal. Our findings emphasize the need for pest control programs that use tetracyclines to evaluate the long-term effects of these antibiotics.</p>","PeriodicalId":12468,"journal":{"name":"G3: Genes|Genomes|Genetics","volume":" ","pages":""},"PeriodicalIF":2.2000,"publicationDate":"2025-10-08","publicationTypes":"Journal Article","fieldsOfStudy":null,"isOpenAccess":false,"openAccessPdf":"https://www.ncbi.nlm.nih.gov/pmc/articles/PMC12506665/pdf/","citationCount":"0","resultStr":"{\"title\":\"Direct and transgenerational effects of tetracyclines on the microbiome, transcriptome, and male mating behavior of the sheep blowfly Lucilia cuprina.\",\"authors\":\"Alexis L Kriete, Maxwell J Scott\",\"doi\":\"10.1093/g3journal/jkaf160\",\"DOIUrl\":null,\"url\":null,\"abstract\":\"<p><p>Tetracyclines are broad-spectrum antibiotics widely used in agriculture, medicine, and research. However, they are associated with harmful side effects. In arthropods, parental exposure to tetracyclines has been linked to reduced health and fitness in untreated offspring. These transgenerational effects of tetracyclines could jeopardize the success of pest control programs that use tetracyclines to control gene expression. In this study, we investigated the transgenerational effects of 2 tetracyclines, doxycycline (DOX) and anhydrotetracycline (ATC), in the blowfly Lucilia cuprina, a significant pest of sheep. To simulate the rearing conditions of a transgenic male-only release program, blowflies were reared on standard diet alone, or standard diet plus DOX or ATC, for 3 generations, and then reared for an additional fourth generation on standard diet alone. We used behavioral assays, 16S amplicon sequencing, and mRNA sequencing to determine how DOX and ATC influenced male sexual competitiveness, microbiome composition, and gene expression in the third and fourth generations. We found that 3 generations of DOX treatment led to lower sexual competitiveness in both third- and fourth-generation males. In addition, DOX and ATC shifted the composition of the blowfly microbiome and altered the expression of numerous mitochondria- and immunity-related genes in both generations. Our study supports an emerging body of evidence that tetracyclines exert not only direct but also transgenerational effects, and sheds light on the transcriptional and microbial responses to antibiotic exposure and removal. Our findings emphasize the need for pest control programs that use tetracyclines to evaluate the long-term effects of these antibiotics.</p>\",\"PeriodicalId\":12468,\"journal\":{\"name\":\"G3: Genes|Genomes|Genetics\",\"volume\":\" \",\"pages\":\"\"},\"PeriodicalIF\":2.2000,\"publicationDate\":\"2025-10-08\",\"publicationTypes\":\"Journal Article\",\"fieldsOfStudy\":null,\"isOpenAccess\":false,\"openAccessPdf\":\"https://www.ncbi.nlm.nih.gov/pmc/articles/PMC12506665/pdf/\",\"citationCount\":\"0\",\"resultStr\":null,\"platform\":\"Semanticscholar\",\"paperid\":null,\"PeriodicalName\":\"G3: Genes|Genomes|Genetics\",\"FirstCategoryId\":\"99\",\"ListUrlMain\":\"https://doi.org/10.1093/g3journal/jkaf160\",\"RegionNum\":3,\"RegionCategory\":\"生物学\",\"ArticlePicture\":[],\"TitleCN\":null,\"AbstractTextCN\":null,\"PMCID\":null,\"EPubDate\":\"\",\"PubModel\":\"\",\"JCR\":\"Q3\",\"JCRName\":\"GENETICS & HEREDITY\",\"Score\":null,\"Total\":0}","platform":"Semanticscholar","paperid":null,"PeriodicalName":"G3: Genes|Genomes|Genetics","FirstCategoryId":"99","ListUrlMain":"https://doi.org/10.1093/g3journal/jkaf160","RegionNum":3,"RegionCategory":"生物学","ArticlePicture":[],"TitleCN":null,"AbstractTextCN":null,"PMCID":null,"EPubDate":"","PubModel":"","JCR":"Q3","JCRName":"GENETICS & HEREDITY","Score":null,"Total":0}
引用次数: 0

摘要

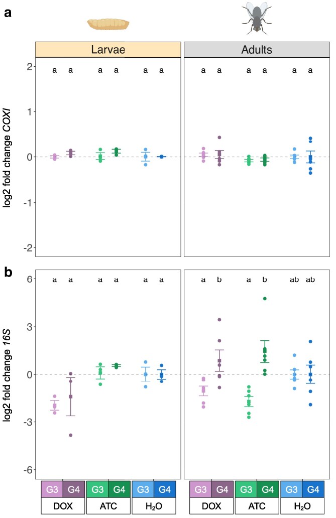
四环素是广泛应用于农业、医药和科研的广谱抗生素。然而,它们与有害的副作用有关。在节肢动物中,亲代接触四环素与未经治疗的后代健康和适应性下降有关。四环素的这些跨代效应可能会危及使用四环素控制基因表达的害虫控制计划的成功。在这项研究中,我们研究了强力霉素(DOX)和无水四环素(ATC)两种四环素对绿盲蝽(绵羊的重要害虫)的跨代效应。为了模拟转基因雄性释放计划的饲养条件,我们用标准饲料单独饲养,或用标准饲料加DOX或ATC饲养3代,然后用标准饲料单独饲养第4代。我们使用行为分析、16S扩增子测序和mRNA测序来确定DOX和ATC如何影响雄性第三代和第四代的性竞争力、微生物组组成和基因表达。我们发现,三代DOX治疗导致第三代和第四代雄性的性竞争力降低。此外,DOX和ATC改变了两代苍蝇微生物组的组成,并改变了许多线粒体和免疫相关基因的表达。我们的研究支持了一个新兴的证据体,四环素不仅有直接的影响,而且有跨代的影响,并揭示了抗生素暴露和去除的转录和微生物反应。我们的研究结果强调了害虫控制项目的必要性,使用四环素来评估这些抗生素的长期效果。
本文章由计算机程序翻译,如有差异,请以英文原文为准。

Direct and transgenerational effects of tetracyclines on the microbiome, transcriptome, and male mating behavior of the sheep blowfly Lucilia cuprina.

Direct and transgenerational effects of tetracyclines on the microbiome, transcriptome, and male mating behavior of the sheep blowfly Lucilia cuprina.

Direct and transgenerational effects of tetracyclines on the microbiome, transcriptome, and male mating behavior of the sheep blowfly Lucilia cuprina.

Direct and transgenerational effects of tetracyclines on the microbiome, transcriptome, and male mating behavior of the sheep blowfly Lucilia cuprina.

Tetracyclines are broad-spectrum antibiotics widely used in agriculture, medicine, and research. However, they are associated with harmful side effects. In arthropods, parental exposure to tetracyclines has been linked to reduced health and fitness in untreated offspring. These transgenerational effects of tetracyclines could jeopardize the success of pest control programs that use tetracyclines to control gene expression. In this study, we investigated the transgenerational effects of 2 tetracyclines, doxycycline (DOX) and anhydrotetracycline (ATC), in the blowfly Lucilia cuprina, a significant pest of sheep. To simulate the rearing conditions of a transgenic male-only release program, blowflies were reared on standard diet alone, or standard diet plus DOX or ATC, for 3 generations, and then reared for an additional fourth generation on standard diet alone. We used behavioral assays, 16S amplicon sequencing, and mRNA sequencing to determine how DOX and ATC influenced male sexual competitiveness, microbiome composition, and gene expression in the third and fourth generations. We found that 3 generations of DOX treatment led to lower sexual competitiveness in both third- and fourth-generation males. In addition, DOX and ATC shifted the composition of the blowfly microbiome and altered the expression of numerous mitochondria- and immunity-related genes in both generations. Our study supports an emerging body of evidence that tetracyclines exert not only direct but also transgenerational effects, and sheds light on the transcriptional and microbial responses to antibiotic exposure and removal. Our findings emphasize the need for pest control programs that use tetracyclines to evaluate the long-term effects of these antibiotics.

求助全文
通过发布文献求助,成功后即可免费获取论文全文。 去求助
来源期刊
G3: Genes|Genomes|Genetics
G3: Genes|Genomes|Genetics GENETICS & HEREDITY-
CiteScore
5.10
自引率
3.80%
发文量
305
审稿时长
3-8 weeks
期刊介绍: G3: Genes, Genomes, Genetics provides a forum for the publication of high‐quality foundational research, particularly research that generates useful genetic and genomic information such as genome maps, single gene studies, genome‐wide association and QTL studies, as well as genome reports, mutant screens, and advances in methods and technology. The Editorial Board of G3 believes that rapid dissemination of these data is the necessary foundation for analysis that leads to mechanistic insights. G3, published by the Genetics Society of America, meets the critical and growing need of the genetics community for rapid review and publication of important results in all areas of genetics. G3 offers the opportunity to publish the puzzling finding or to present unpublished results that may not have been submitted for review and publication due to a perceived lack of a potential high-impact finding. G3 has earned the DOAJ Seal, which is a mark of certification for open access journals, awarded by DOAJ to journals that achieve a high level of openness, adhere to Best Practice and high publishing standards.
×
引用
GB/T 7714-2015
复制
MLA
复制
APA
复制
导出至
BibTeX EndNote RefMan NoteFirst NoteExpress
×
提示
您的信息不完整,为了账户安全,请先补充。
现在去补充
×
提示
您因"违规操作"
具体请查看互助需知
我知道了
×
提示
确定
请完成安全验证×
copy
已复制链接
快去分享给好友吧!
我知道了
右上角分享
点击右上角分享
0
联系我们:info@booksci.cn Book学术提供免费学术资源搜索服务,方便国内外学者检索中英文文献。致力于提供最便捷和优质的服务体验。 Copyright © 2023 布克学术 All rights reserved.
京ICP备2023020795号-1
ghs 京公网安备 11010802042870号
Book学术文献互助
Book学术文献互助群
群 号:604180095
Book学术官方微信