术前肠-肝CT比值:预测绞窄性梗阻切除的有用指标。

IF 1.3 Q3 RADIOLOGY, NUCLEAR MEDICINE & MEDICAL IMAGING
Emergency Radiology Pub Date : 2025-08-01 Epub Date: 2025-07-16 DOI:10.1007/s10140-025-02369-8
Seiichiro Fujishima, Hironori Tsujimoto, Yoshihisa Yaguchi, Hiroyuki Horiguchi, Keita Kouzu, Yusuke Ishibashi, Yujiro Itazaki, Takafumi Suzuki, Naoyuki Uehata, Risa Kariya, Asuma Ide, Hiroshi Shinmoto, Hideki Ueno
{"title":"术前肠-肝CT比值:预测绞窄性梗阻切除的有用指标。","authors":"Seiichiro Fujishima, Hironori Tsujimoto, Yoshihisa Yaguchi, Hiroyuki Horiguchi, Keita Kouzu, Yusuke Ishibashi, Yujiro Itazaki, Takafumi Suzuki, Naoyuki Uehata, Risa Kariya, Asuma Ide, Hiroshi Shinmoto, Hideki Ueno","doi":"10.1007/s10140-025-02369-8","DOIUrl":null,"url":null,"abstract":"<p><strong>Background: </strong>Prompt diagnosis of strangulated bowel obstruction (SBO) is critical because delayed recognition can lead to life-threatening complications. This study assessed whether the intestinal-to-liver CT attenuation value ratio-a comparison of ischemic bowel-wall enhancement to liver enhancement-can predict the need for intestinal resection in SBO patients.</p><p><strong>Materials and methods: </strong>We retrospectively analyzed 52 patients who underwent emergency surgery for suspected SBO from 2014 to 2021. Of these, 35 required intestinal resection due to irreversible ischemia (resection group), while 17 did not (no-resection group). Preoperative clinical and imaging findings were compared between groups.</p><p><strong>Results: </strong>The resection group had a longer time from onset to surgery (p = 0.034) and higher leukocyte counts (p = 0.037). CT values of the poorly enhanced intestinal wall and the intestinal-to-liver attenuation ratio were significantly lower in the resection group (p < 0.0001). Multivariate analysis identified time to surgery (OR 5.08; 95% CI 1.106-23.350; p = 0.037) and CT attenuation ratio (OR 15.50; 95% CI 2.622-91.686; p = 0.0025) as independent predictors of resection. When stratified by the median ratio cutoff (< 0.40 vs. ≥ 0.40), resection rates were 92% and 44%, respectively (p = 0.0001). Additionally, CT attenuation ratio had the diagnostic performance (AUROC 0.886; Youden index 0.736; sensitivity 97.1% and specificity 76.5%.) CONCLUSION: An intestinal-to-liver CT attenuation ratio below 0.40 is a strong predictor of intestinal ischemia requiring resection in SBO patients.</p>","PeriodicalId":11623,"journal":{"name":"Emergency Radiology","volume":" ","pages":"581-589"},"PeriodicalIF":1.3000,"publicationDate":"2025-08-01","publicationTypes":"Journal Article","fieldsOfStudy":null,"isOpenAccess":false,"openAccessPdf":"https://www.ncbi.nlm.nih.gov/pmc/articles/PMC12328548/pdf/","citationCount":"0","resultStr":"{\"title\":\"Preoperative intestine-to-liver CT ratio: useful predictor of resection in strangulated obstruction.\",\"authors\":\"Seiichiro Fujishima, Hironori Tsujimoto, Yoshihisa Yaguchi, Hiroyuki Horiguchi, Keita Kouzu, Yusuke Ishibashi, Yujiro Itazaki, Takafumi Suzuki, Naoyuki Uehata, Risa Kariya, Asuma Ide, Hiroshi Shinmoto, Hideki Ueno\",\"doi\":\"10.1007/s10140-025-02369-8\",\"DOIUrl\":null,\"url\":null,\"abstract\":\"<p><strong>Background: </strong>Prompt diagnosis of strangulated bowel obstruction (SBO) is critical because delayed recognition can lead to life-threatening complications. This study assessed whether the intestinal-to-liver CT attenuation value ratio-a comparison of ischemic bowel-wall enhancement to liver enhancement-can predict the need for intestinal resection in SBO patients.</p><p><strong>Materials and methods: </strong>We retrospectively analyzed 52 patients who underwent emergency surgery for suspected SBO from 2014 to 2021. Of these, 35 required intestinal resection due to irreversible ischemia (resection group), while 17 did not (no-resection group). Preoperative clinical and imaging findings were compared between groups.</p><p><strong>Results: </strong>The resection group had a longer time from onset to surgery (p = 0.034) and higher leukocyte counts (p = 0.037). CT values of the poorly enhanced intestinal wall and the intestinal-to-liver attenuation ratio were significantly lower in the resection group (p < 0.0001). Multivariate analysis identified time to surgery (OR 5.08; 95% CI 1.106-23.350; p = 0.037) and CT attenuation ratio (OR 15.50; 95% CI 2.622-91.686; p = 0.0025) as independent predictors of resection. When stratified by the median ratio cutoff (< 0.40 vs. ≥ 0.40), resection rates were 92% and 44%, respectively (p = 0.0001). Additionally, CT attenuation ratio had the diagnostic performance (AUROC 0.886; Youden index 0.736; sensitivity 97.1% and specificity 76.5%.) CONCLUSION: An intestinal-to-liver CT attenuation ratio below 0.40 is a strong predictor of intestinal ischemia requiring resection in SBO patients.</p>\",\"PeriodicalId\":11623,\"journal\":{\"name\":\"Emergency Radiology\",\"volume\":\" \",\"pages\":\"581-589\"},\"PeriodicalIF\":1.3000,\"publicationDate\":\"2025-08-01\",\"publicationTypes\":\"Journal Article\",\"fieldsOfStudy\":null,\"isOpenAccess\":false,\"openAccessPdf\":\"https://www.ncbi.nlm.nih.gov/pmc/articles/PMC12328548/pdf/\",\"citationCount\":\"0\",\"resultStr\":null,\"platform\":\"Semanticscholar\",\"paperid\":null,\"PeriodicalName\":\"Emergency Radiology\",\"FirstCategoryId\":\"1085\",\"ListUrlMain\":\"https://doi.org/10.1007/s10140-025-02369-8\",\"RegionNum\":0,\"RegionCategory\":null,\"ArticlePicture\":[],\"TitleCN\":null,\"AbstractTextCN\":null,\"PMCID\":null,\"EPubDate\":\"2025/7/16 0:00:00\",\"PubModel\":\"Epub\",\"JCR\":\"Q3\",\"JCRName\":\"RADIOLOGY, NUCLEAR MEDICINE & MEDICAL IMAGING\",\"Score\":null,\"Total\":0}","platform":"Semanticscholar","paperid":null,"PeriodicalName":"Emergency Radiology","FirstCategoryId":"1085","ListUrlMain":"https://doi.org/10.1007/s10140-025-02369-8","RegionNum":0,"RegionCategory":null,"ArticlePicture":[],"TitleCN":null,"AbstractTextCN":null,"PMCID":null,"EPubDate":"2025/7/16 0:00:00","PubModel":"Epub","JCR":"Q3","JCRName":"RADIOLOGY, NUCLEAR MEDICINE & MEDICAL IMAGING","Score":null,"Total":0}
引用次数: 0

摘要

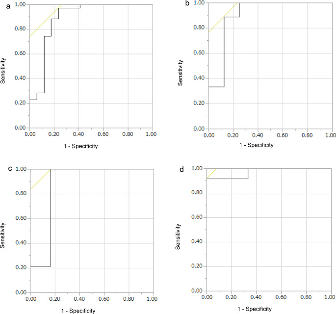
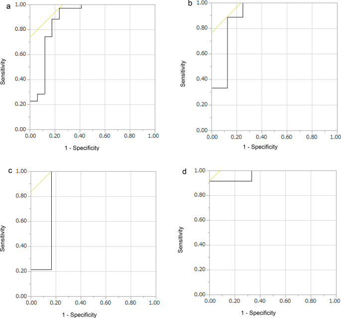
背景:及时诊断绞窄性肠梗阻(SBO)至关重要,因为延迟识别可能导致危及生命的并发症。本研究评估肠-肝CT衰减值比值(缺血性肠壁增强与肝脏增强的比较)是否可以预测SBO患者是否需要肠切除术。材料和方法:我们回顾性分析了2014年至2021年因疑似SBO接受急诊手术的52例患者。其中,35例因不可逆缺血需要切除肠道(切除组),17例不需要切除(未切除组)。比较两组术前临床及影像学表现。结果:切除组从发病到手术时间较长(p = 0.034),白细胞计数较高(p = 0.037)。切除组增强不良的肠壁CT值及肠肝衰减比明显降低(p
本文章由计算机程序翻译,如有差异,请以英文原文为准。

Preoperative intestine-to-liver CT ratio: useful predictor of resection in strangulated obstruction.

Preoperative intestine-to-liver CT ratio: useful predictor of resection in strangulated obstruction.

Preoperative intestine-to-liver CT ratio: useful predictor of resection in strangulated obstruction.

Preoperative intestine-to-liver CT ratio: useful predictor of resection in strangulated obstruction.

Preoperative intestine-to-liver CT ratio: useful predictor of resection in strangulated obstruction.

Preoperative intestine-to-liver CT ratio: useful predictor of resection in strangulated obstruction.

Preoperative intestine-to-liver CT ratio: useful predictor of resection in strangulated obstruction.

Background: Prompt diagnosis of strangulated bowel obstruction (SBO) is critical because delayed recognition can lead to life-threatening complications. This study assessed whether the intestinal-to-liver CT attenuation value ratio-a comparison of ischemic bowel-wall enhancement to liver enhancement-can predict the need for intestinal resection in SBO patients.

Materials and methods: We retrospectively analyzed 52 patients who underwent emergency surgery for suspected SBO from 2014 to 2021. Of these, 35 required intestinal resection due to irreversible ischemia (resection group), while 17 did not (no-resection group). Preoperative clinical and imaging findings were compared between groups.

Results: The resection group had a longer time from onset to surgery (p = 0.034) and higher leukocyte counts (p = 0.037). CT values of the poorly enhanced intestinal wall and the intestinal-to-liver attenuation ratio were significantly lower in the resection group (p < 0.0001). Multivariate analysis identified time to surgery (OR 5.08; 95% CI 1.106-23.350; p = 0.037) and CT attenuation ratio (OR 15.50; 95% CI 2.622-91.686; p = 0.0025) as independent predictors of resection. When stratified by the median ratio cutoff (< 0.40 vs. ≥ 0.40), resection rates were 92% and 44%, respectively (p = 0.0001). Additionally, CT attenuation ratio had the diagnostic performance (AUROC 0.886; Youden index 0.736; sensitivity 97.1% and specificity 76.5%.) CONCLUSION: An intestinal-to-liver CT attenuation ratio below 0.40 is a strong predictor of intestinal ischemia requiring resection in SBO patients.

求助全文
通过发布文献求助,成功后即可免费获取论文全文。 去求助
来源期刊
Emergency Radiology
Emergency Radiology RADIOLOGY, NUCLEAR MEDICINE & MEDICAL IMAGING-
CiteScore
4.60
自引率
4.50%
发文量
98
期刊介绍: To advance and improve the radiologic aspects of emergency careTo establish Emergency Radiology as an area of special interest in the field of diagnostic imagingTo improve methods of education in Emergency RadiologyTo provide, through formal meetings, a mechanism for presentation of scientific papers on various aspects of Emergency Radiology and continuing educationTo promote research in Emergency Radiology by clinical and basic science investigators, including residents and other traineesTo act as the resource body on Emergency Radiology for those interested in emergency patient care Members of the American Society of Emergency Radiology (ASER) receive the Emergency Radiology journal as a benefit of membership!
×
引用
GB/T 7714-2015
复制
MLA
复制
APA
复制
导出至
BibTeX EndNote RefMan NoteFirst NoteExpress
×
提示
您的信息不完整,为了账户安全,请先补充。
现在去补充
×
提示
您因"违规操作"
具体请查看互助需知
我知道了
×
提示
确定
请完成安全验证×
copy
已复制链接
快去分享给好友吧!
我知道了
右上角分享
点击右上角分享
0
联系我们:info@booksci.cn Book学术提供免费学术资源搜索服务,方便国内外学者检索中英文文献。致力于提供最便捷和优质的服务体验。 Copyright © 2023 布克学术 All rights reserved.
京ICP备2023020795号-1
ghs 京公网安备 11010802042870号
Book学术文献互助
Book学术文献互助群
群 号:604180095
Book学术官方微信