炎症性肠病治疗轨迹的性别差异与诊断延迟相关

IF 1.8 Q3 GASTROENTEROLOGY & HEPATOLOGY
Crohn's & Colitis 360 Pub Date : 2025-05-28 eCollection Date: 2025-07-01 DOI:10.1093/crocol/otaf040
Lea Pueschel, Melanie Bathon, Ursula Seidler, Heiner Wedemeyer, Henrike Lenzen, Miriam Wiestler
{"title":"炎症性肠病治疗轨迹的性别差异与诊断延迟相关","authors":"Lea Pueschel, Melanie Bathon, Ursula Seidler, Heiner Wedemeyer, Henrike Lenzen, Miriam Wiestler","doi":"10.1093/crocol/otaf040","DOIUrl":null,"url":null,"abstract":"<p><strong>Background: </strong>Diagnostic delay (DD) is a common finding in inflammatory bowel diseases (IBD). The reasons and effects of this delay are frequently underestimated, particularly in the context of sex. Our aims were to examine the impact of delayed diagnosis in IBD, with a particular focus on sex disparities.</p><p><strong>Methods: </strong>We performed a single-center, cross-sectional study at a tertiary referral center, including patients with IBD. The data was collected between August 2020 and June 2024.</p><p><strong>Results: </strong>A total of 247 individuals with IBD were included in this study, with 53% identifying as female and 51% having Crohn's disease. Probability estimators revealed an effect of a DD on the cumulative advanced drug therapy probability in women (p<sub>Log-Rank</sub> = 0.045). Further analysis of the interaction between therapeutic regimens and DD revealed significant differences between the sexes. Women with a longer latency in their diagnosis were more frequently treated with steroids only compared to men. Entity-specific DD was further identified as a risk factor for steroid-only treatment in women with IBD (OR: 2.6; 95% CI, 1.11-5.98; <i>P</i> = .028). Additionally, a notable disparity in quality of life was observed between women who exhibited DD and men, with the former demonstrating a significantly reduced quality of life.</p><p><strong>Conclusions: </strong>A delayed diagnosis has a significant impact on IBD treatment trajectories, with a notable sex-related effect observed especially in women. Therapeutic needs in female patients with IBD seem underestimated, particularly in instances where a DD is present.</p>","PeriodicalId":10847,"journal":{"name":"Crohn's & Colitis 360","volume":"7 3","pages":"otaf040"},"PeriodicalIF":1.8000,"publicationDate":"2025-05-28","publicationTypes":"Journal Article","fieldsOfStudy":null,"isOpenAccess":false,"openAccessPdf":"https://www.ncbi.nlm.nih.gov/pmc/articles/PMC12260162/pdf/","citationCount":"0","resultStr":"{\"title\":\"Sex Disparities in Treatment Trajectories of Inflammatory Bowel Disease Are Associated With Diagnostic Delay.\",\"authors\":\"Lea Pueschel, Melanie Bathon, Ursula Seidler, Heiner Wedemeyer, Henrike Lenzen, Miriam Wiestler\",\"doi\":\"10.1093/crocol/otaf040\",\"DOIUrl\":null,\"url\":null,\"abstract\":\"<p><strong>Background: </strong>Diagnostic delay (DD) is a common finding in inflammatory bowel diseases (IBD). The reasons and effects of this delay are frequently underestimated, particularly in the context of sex. Our aims were to examine the impact of delayed diagnosis in IBD, with a particular focus on sex disparities.</p><p><strong>Methods: </strong>We performed a single-center, cross-sectional study at a tertiary referral center, including patients with IBD. The data was collected between August 2020 and June 2024.</p><p><strong>Results: </strong>A total of 247 individuals with IBD were included in this study, with 53% identifying as female and 51% having Crohn's disease. Probability estimators revealed an effect of a DD on the cumulative advanced drug therapy probability in women (p<sub>Log-Rank</sub> = 0.045). Further analysis of the interaction between therapeutic regimens and DD revealed significant differences between the sexes. Women with a longer latency in their diagnosis were more frequently treated with steroids only compared to men. Entity-specific DD was further identified as a risk factor for steroid-only treatment in women with IBD (OR: 2.6; 95% CI, 1.11-5.98; <i>P</i> = .028). Additionally, a notable disparity in quality of life was observed between women who exhibited DD and men, with the former demonstrating a significantly reduced quality of life.</p><p><strong>Conclusions: </strong>A delayed diagnosis has a significant impact on IBD treatment trajectories, with a notable sex-related effect observed especially in women. Therapeutic needs in female patients with IBD seem underestimated, particularly in instances where a DD is present.</p>\",\"PeriodicalId\":10847,\"journal\":{\"name\":\"Crohn's & Colitis 360\",\"volume\":\"7 3\",\"pages\":\"otaf040\"},\"PeriodicalIF\":1.8000,\"publicationDate\":\"2025-05-28\",\"publicationTypes\":\"Journal Article\",\"fieldsOfStudy\":null,\"isOpenAccess\":false,\"openAccessPdf\":\"https://www.ncbi.nlm.nih.gov/pmc/articles/PMC12260162/pdf/\",\"citationCount\":\"0\",\"resultStr\":null,\"platform\":\"Semanticscholar\",\"paperid\":null,\"PeriodicalName\":\"Crohn's & Colitis 360\",\"FirstCategoryId\":\"1085\",\"ListUrlMain\":\"https://doi.org/10.1093/crocol/otaf040\",\"RegionNum\":0,\"RegionCategory\":null,\"ArticlePicture\":[],\"TitleCN\":null,\"AbstractTextCN\":null,\"PMCID\":null,\"EPubDate\":\"2025/7/1 0:00:00\",\"PubModel\":\"eCollection\",\"JCR\":\"Q3\",\"JCRName\":\"GASTROENTEROLOGY & HEPATOLOGY\",\"Score\":null,\"Total\":0}","platform":"Semanticscholar","paperid":null,"PeriodicalName":"Crohn's & Colitis 360","FirstCategoryId":"1085","ListUrlMain":"https://doi.org/10.1093/crocol/otaf040","RegionNum":0,"RegionCategory":null,"ArticlePicture":[],"TitleCN":null,"AbstractTextCN":null,"PMCID":null,"EPubDate":"2025/7/1 0:00:00","PubModel":"eCollection","JCR":"Q3","JCRName":"GASTROENTEROLOGY & HEPATOLOGY","Score":null,"Total":0}
引用次数: 0

摘要

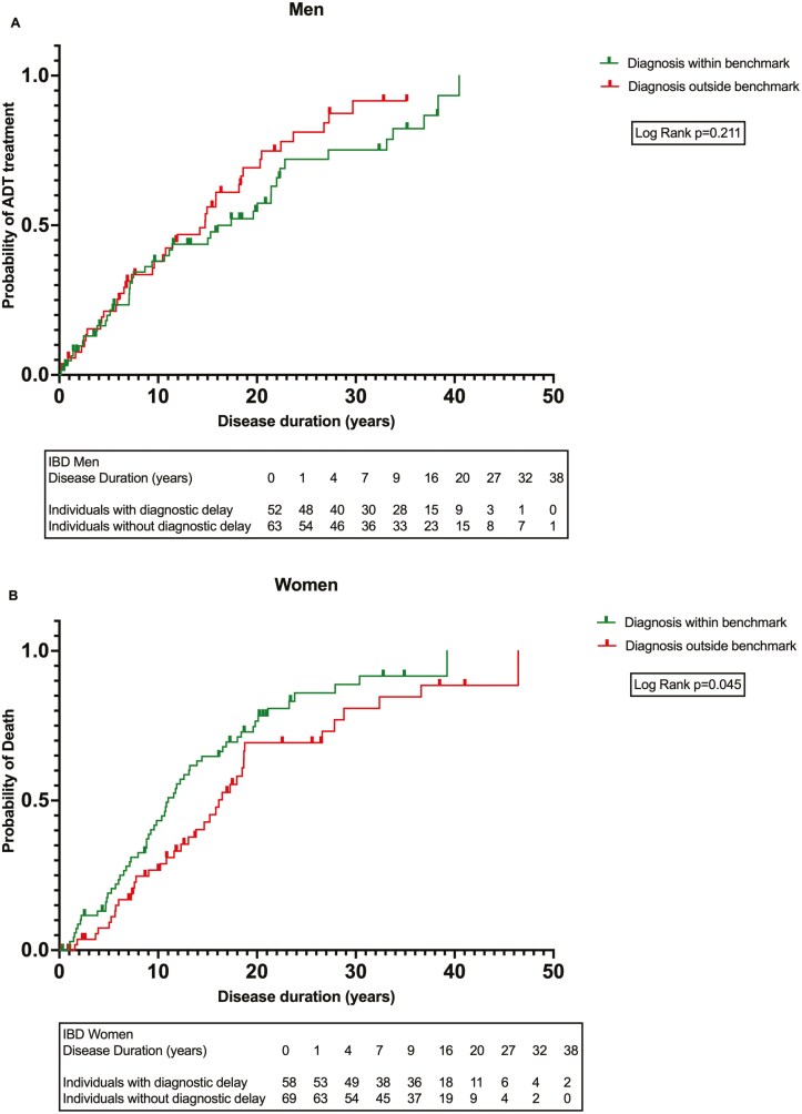
背景:诊断延迟(DD)是炎症性肠病(IBD)的常见发现。这种延迟的原因和影响经常被低估,特别是在性方面。我们的目的是检查IBD延迟诊断的影响,特别关注性别差异。方法:我们在三级转诊中心进行了一项单中心横断面研究,包括IBD患者。这些数据是在2020年8月至2024年6月期间收集的。结果:本研究共纳入247例IBD患者,其中53%为女性,51%为克罗恩病患者。概率估计揭示了DD对女性累积晚期药物治疗概率的影响(pLog-Rank = 0.045)。进一步分析治疗方案与DD之间的相互作用,发现两性之间存在显著差异。与男性相比,诊断潜伏期较长的女性更经常只接受类固醇治疗。实体特异性DD进一步被确定为IBD女性仅使用类固醇治疗的危险因素(OR: 2.6;95% ci, 1.11-5.98;p = .028)。此外,在表现出DD的女性和男性之间观察到明显的生活质量差异,前者表现出明显降低的生活质量。结论:延迟诊断对IBD治疗轨迹有显著影响,特别是在女性中观察到显著的性别相关效应。女性IBD患者的治疗需求似乎被低估了,特别是在存在DD的情况下。
本文章由计算机程序翻译,如有差异,请以英文原文为准。

Sex Disparities in Treatment Trajectories of Inflammatory Bowel Disease Are Associated With Diagnostic Delay.

Sex Disparities in Treatment Trajectories of Inflammatory Bowel Disease Are Associated With Diagnostic Delay.

Sex Disparities in Treatment Trajectories of Inflammatory Bowel Disease Are Associated With Diagnostic Delay.

Sex Disparities in Treatment Trajectories of Inflammatory Bowel Disease Are Associated With Diagnostic Delay.

Background: Diagnostic delay (DD) is a common finding in inflammatory bowel diseases (IBD). The reasons and effects of this delay are frequently underestimated, particularly in the context of sex. Our aims were to examine the impact of delayed diagnosis in IBD, with a particular focus on sex disparities.

Methods: We performed a single-center, cross-sectional study at a tertiary referral center, including patients with IBD. The data was collected between August 2020 and June 2024.

Results: A total of 247 individuals with IBD were included in this study, with 53% identifying as female and 51% having Crohn's disease. Probability estimators revealed an effect of a DD on the cumulative advanced drug therapy probability in women (pLog-Rank = 0.045). Further analysis of the interaction between therapeutic regimens and DD revealed significant differences between the sexes. Women with a longer latency in their diagnosis were more frequently treated with steroids only compared to men. Entity-specific DD was further identified as a risk factor for steroid-only treatment in women with IBD (OR: 2.6; 95% CI, 1.11-5.98; P = .028). Additionally, a notable disparity in quality of life was observed between women who exhibited DD and men, with the former demonstrating a significantly reduced quality of life.

Conclusions: A delayed diagnosis has a significant impact on IBD treatment trajectories, with a notable sex-related effect observed especially in women. Therapeutic needs in female patients with IBD seem underestimated, particularly in instances where a DD is present.

求助全文
通过发布文献求助,成功后即可免费获取论文全文。 去求助
来源期刊
Crohn's & Colitis 360
Crohn's & Colitis 360 Medicine-Gastroenterology
CiteScore
2.50
自引率
0.00%
发文量
41
审稿时长
12 weeks
×
引用
GB/T 7714-2015
复制
MLA
复制
APA
复制
导出至
BibTeX EndNote RefMan NoteFirst NoteExpress
×
提示
您的信息不完整,为了账户安全,请先补充。
现在去补充
×
提示
您因"违规操作"
具体请查看互助需知
我知道了
×
提示
确定
请完成安全验证×
copy
已复制链接
快去分享给好友吧!
我知道了
右上角分享
点击右上角分享
0
联系我们:info@booksci.cn Book学术提供免费学术资源搜索服务,方便国内外学者检索中英文文献。致力于提供最便捷和优质的服务体验。 Copyright © 2023 布克学术 All rights reserved.
京ICP备2023020795号-1
ghs 京公网安备 11010802042870号
Book学术文献互助
Book学术文献互助群
群 号:604180095
Book学术官方微信