分配给12 mg地塞米松vs. 6 mg地塞米松的COVID-19患者高血糖和胰岛素使用:COVID类固醇2随机试验的二次分析

IF 5.5 1区 医学 Q1 CRITICAL CARE MEDICINE
Clara Lundetoft Clausen, Thomas Bryrup, Christian Leo Hansen, Daniel Faurholt-Jepsen, Alessandra Meddis, Thomas Peter Almdal, Ole Snorgaard, Henrik Løvendahl Jørgensen, Marie Helleberg, Margit Smitt, Christian Aage Warmberg, Klaus Tjelle, Charlotte Suppli Ulrik, Anne Sofie Andreasen, Morten Bestle, Lone Poulsen, Klaus Vennick Marcussen, Lothar Wiese, Marie Warrer Munch, Anders Perner, Rikke Krogh-Madsen, Thomas Benfield
{"title":"分配给12 mg地塞米松vs. 6 mg地塞米松的COVID-19患者高血糖和胰岛素使用:COVID类固醇2随机试验的二次分析","authors":"Clara Lundetoft Clausen, Thomas Bryrup, Christian Leo Hansen, Daniel Faurholt-Jepsen, Alessandra Meddis, Thomas Peter Almdal, Ole Snorgaard, Henrik Løvendahl Jørgensen, Marie Helleberg, Margit Smitt, Christian Aage Warmberg, Klaus Tjelle, Charlotte Suppli Ulrik, Anne Sofie Andreasen, Morten Bestle, Lone Poulsen, Klaus Vennick Marcussen, Lothar Wiese, Marie Warrer Munch, Anders Perner, Rikke Krogh-Madsen, Thomas Benfield","doi":"10.1186/s13613-025-01512-5","DOIUrl":null,"url":null,"abstract":"<p><strong>Background: </strong>While dexamethasone has been shown to improve survival in COVID-19, its dose-response relationship with plasma glucose (PG) levels and insulin requirements is poorly understood. This study investigated the impact of 12 mg (higher dose) versus 6 mg (standard dose) of dexamethasone on hyper- or hypoglycemic events and the use of insulin.</p><p><strong>Methods: </strong>A secondary analysis of a subpopulation of the COVID STEROID 2 trial. Glycemic outcomes were assessed by time-to-event analysis of a hyperglycemic (two PG measurements ≥ 11.1 mmol/L), severe hyperglycemic (PG > 20 mmol/L), hypoglycemic (< 3.8 mmol/L) event or use of insulin, adjusted for age, diabetes status, hospital site, and mechanical ventilation. PG levels were compared before and after treatment allocation with linear mixed models to estimate changes in average PG levels over time.</p><p><strong>Results: </strong>Of 321 participants, 170 were allocated to the higher dose and 151 to the standard dose of dexamethasone. Time to a hyperglycemic event did not differ between groups, whereas severe hyperglycemic events were more frequent in the higher dose group (36%) than in the standard dose group (31%) with an adjusted subdistributional hazard ratio of 1.76 (95% CI [1.22-2.54], p = 0.003). Insulin use and hypoglycemic events did not differ between groups. The higher vs. standard dose group had an average PG increase of 0.5 mmol/L (95% CI [- 0.2 to 1.4], p = 0.149).</p><p><strong>Conclusion: </strong>Higher vs. standard doses of dexamethasone were associated with a higher incidence of severe hyperglycemia in patients with COVID-19 and severe hypoxemia, but the average increase in PG was similar between groups.</p>","PeriodicalId":7966,"journal":{"name":"Annals of Intensive Care","volume":"15 1","pages":"98"},"PeriodicalIF":5.5000,"publicationDate":"2025-07-15","publicationTypes":"Journal Article","fieldsOfStudy":null,"isOpenAccess":false,"openAccessPdf":"https://www.ncbi.nlm.nih.gov/pmc/articles/PMC12263535/pdf/","citationCount":"0","resultStr":"{\"title\":\"Hyperglycemia and insulin use in patients with COVID-19 and severe hypoxemia allocated to 12 mg vs. 6 mg of dexamethasone: a secondary analysis of the COVID STEROID 2 randomized trial.\",\"authors\":\"Clara Lundetoft Clausen, Thomas Bryrup, Christian Leo Hansen, Daniel Faurholt-Jepsen, Alessandra Meddis, Thomas Peter Almdal, Ole Snorgaard, Henrik Løvendahl Jørgensen, Marie Helleberg, Margit Smitt, Christian Aage Warmberg, Klaus Tjelle, Charlotte Suppli Ulrik, Anne Sofie Andreasen, Morten Bestle, Lone Poulsen, Klaus Vennick Marcussen, Lothar Wiese, Marie Warrer Munch, Anders Perner, Rikke Krogh-Madsen, Thomas Benfield\",\"doi\":\"10.1186/s13613-025-01512-5\",\"DOIUrl\":null,\"url\":null,\"abstract\":\"<p><strong>Background: </strong>While dexamethasone has been shown to improve survival in COVID-19, its dose-response relationship with plasma glucose (PG) levels and insulin requirements is poorly understood. This study investigated the impact of 12 mg (higher dose) versus 6 mg (standard dose) of dexamethasone on hyper- or hypoglycemic events and the use of insulin.</p><p><strong>Methods: </strong>A secondary analysis of a subpopulation of the COVID STEROID 2 trial. Glycemic outcomes were assessed by time-to-event analysis of a hyperglycemic (two PG measurements ≥ 11.1 mmol/L), severe hyperglycemic (PG > 20 mmol/L), hypoglycemic (< 3.8 mmol/L) event or use of insulin, adjusted for age, diabetes status, hospital site, and mechanical ventilation. PG levels were compared before and after treatment allocation with linear mixed models to estimate changes in average PG levels over time.</p><p><strong>Results: </strong>Of 321 participants, 170 were allocated to the higher dose and 151 to the standard dose of dexamethasone. Time to a hyperglycemic event did not differ between groups, whereas severe hyperglycemic events were more frequent in the higher dose group (36%) than in the standard dose group (31%) with an adjusted subdistributional hazard ratio of 1.76 (95% CI [1.22-2.54], p = 0.003). Insulin use and hypoglycemic events did not differ between groups. The higher vs. standard dose group had an average PG increase of 0.5 mmol/L (95% CI [- 0.2 to 1.4], p = 0.149).</p><p><strong>Conclusion: </strong>Higher vs. standard doses of dexamethasone were associated with a higher incidence of severe hyperglycemia in patients with COVID-19 and severe hypoxemia, but the average increase in PG was similar between groups.</p>\",\"PeriodicalId\":7966,\"journal\":{\"name\":\"Annals of Intensive Care\",\"volume\":\"15 1\",\"pages\":\"98\"},\"PeriodicalIF\":5.5000,\"publicationDate\":\"2025-07-15\",\"publicationTypes\":\"Journal Article\",\"fieldsOfStudy\":null,\"isOpenAccess\":false,\"openAccessPdf\":\"https://www.ncbi.nlm.nih.gov/pmc/articles/PMC12263535/pdf/\",\"citationCount\":\"0\",\"resultStr\":null,\"platform\":\"Semanticscholar\",\"paperid\":null,\"PeriodicalName\":\"Annals of Intensive Care\",\"FirstCategoryId\":\"3\",\"ListUrlMain\":\"https://doi.org/10.1186/s13613-025-01512-5\",\"RegionNum\":1,\"RegionCategory\":\"医学\",\"ArticlePicture\":[],\"TitleCN\":null,\"AbstractTextCN\":null,\"PMCID\":null,\"EPubDate\":\"\",\"PubModel\":\"\",\"JCR\":\"Q1\",\"JCRName\":\"CRITICAL CARE MEDICINE\",\"Score\":null,\"Total\":0}","platform":"Semanticscholar","paperid":null,"PeriodicalName":"Annals of Intensive Care","FirstCategoryId":"3","ListUrlMain":"https://doi.org/10.1186/s13613-025-01512-5","RegionNum":1,"RegionCategory":"医学","ArticlePicture":[],"TitleCN":null,"AbstractTextCN":null,"PMCID":null,"EPubDate":"","PubModel":"","JCR":"Q1","JCRName":"CRITICAL CARE MEDICINE","Score":null,"Total":0}
引用次数: 0

摘要

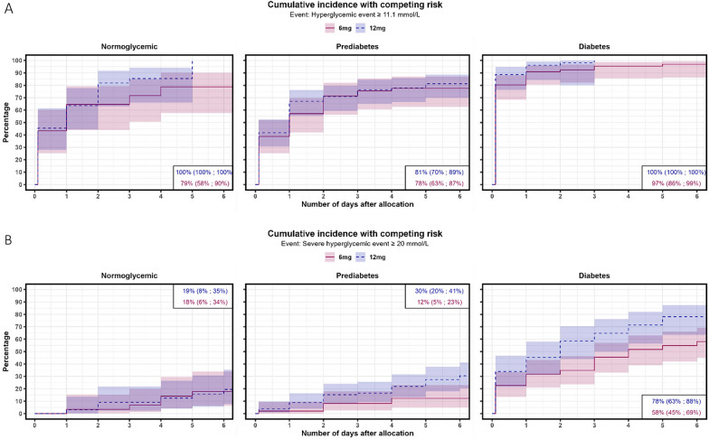
背景:虽然地塞米松已被证明可提高COVID-19患者的生存率,但其与血浆葡萄糖(PG)水平和胰岛素需求的剂量-反应关系尚不清楚。本研究调查了12毫克(高剂量)与6毫克(标准剂量)地塞米松对高血糖或低血糖事件和胰岛素使用的影响。方法:对COVID类固醇2试验的亚群进行二次分析。通过对高血糖(两次PG≥11.1 mmol/L)、严重高血糖(PG≥20 mmol/L)、低血糖(结果:321名参与者中,170人被分配到高剂量,151人被分配到标准剂量的地塞米松)的事件时间分析来评估血糖结局。两组之间发生高血糖事件的时间没有差异,而高剂量组发生严重高血糖事件的频率(36%)高于标准剂量组(31%),调整后亚分布风险比为1.76 (95% CI [1.22-2.54], p = 0.003)。胰岛素使用和低血糖事件在两组之间没有差异。与标准剂量组相比,高剂量组PG平均增加0.5 mmol/L (95% CI [- 0.2 ~ 1.4], p = 0.149)。结论:与标准剂量相比,高剂量地塞米松与COVID-19患者严重高血糖和严重低氧血症的发生率相关,但两组间PG的平均升高相似。
本文章由计算机程序翻译,如有差异,请以英文原文为准。

Hyperglycemia and insulin use in patients with COVID-19 and severe hypoxemia allocated to 12 mg vs. 6 mg of dexamethasone: a secondary analysis of the COVID STEROID 2 randomized trial.

Hyperglycemia and insulin use in patients with COVID-19 and severe hypoxemia allocated to 12 mg vs. 6 mg of dexamethasone: a secondary analysis of the COVID STEROID 2 randomized trial.

Hyperglycemia and insulin use in patients with COVID-19 and severe hypoxemia allocated to 12 mg vs. 6 mg of dexamethasone: a secondary analysis of the COVID STEROID 2 randomized trial.

Hyperglycemia and insulin use in patients with COVID-19 and severe hypoxemia allocated to 12 mg vs. 6 mg of dexamethasone: a secondary analysis of the COVID STEROID 2 randomized trial.

Background: While dexamethasone has been shown to improve survival in COVID-19, its dose-response relationship with plasma glucose (PG) levels and insulin requirements is poorly understood. This study investigated the impact of 12 mg (higher dose) versus 6 mg (standard dose) of dexamethasone on hyper- or hypoglycemic events and the use of insulin.

Methods: A secondary analysis of a subpopulation of the COVID STEROID 2 trial. Glycemic outcomes were assessed by time-to-event analysis of a hyperglycemic (two PG measurements ≥ 11.1 mmol/L), severe hyperglycemic (PG > 20 mmol/L), hypoglycemic (< 3.8 mmol/L) event or use of insulin, adjusted for age, diabetes status, hospital site, and mechanical ventilation. PG levels were compared before and after treatment allocation with linear mixed models to estimate changes in average PG levels over time.

Results: Of 321 participants, 170 were allocated to the higher dose and 151 to the standard dose of dexamethasone. Time to a hyperglycemic event did not differ between groups, whereas severe hyperglycemic events were more frequent in the higher dose group (36%) than in the standard dose group (31%) with an adjusted subdistributional hazard ratio of 1.76 (95% CI [1.22-2.54], p = 0.003). Insulin use and hypoglycemic events did not differ between groups. The higher vs. standard dose group had an average PG increase of 0.5 mmol/L (95% CI [- 0.2 to 1.4], p = 0.149).

Conclusion: Higher vs. standard doses of dexamethasone were associated with a higher incidence of severe hyperglycemia in patients with COVID-19 and severe hypoxemia, but the average increase in PG was similar between groups.

求助全文
通过发布文献求助,成功后即可免费获取论文全文。 去求助
来源期刊
Annals of Intensive Care
Annals of Intensive Care CRITICAL CARE MEDICINE-
CiteScore
14.20
自引率
3.70%
发文量
107
审稿时长
13 weeks
期刊介绍: Annals of Intensive Care is an online peer-reviewed journal that publishes high-quality review articles and original research papers in the field of intensive care medicine. It targets critical care providers including attending physicians, fellows, residents, nurses, and physiotherapists, who aim to enhance their knowledge and provide optimal care for their patients. The journal's articles are included in various prestigious databases such as CAS, Current contents, DOAJ, Embase, Journal Citation Reports/Science Edition, OCLC, PubMed, PubMed Central, Science Citation Index Expanded, SCOPUS, and Summon by Serial Solutions.
×
引用
GB/T 7714-2015
复制
MLA
复制
APA
复制
导出至
BibTeX EndNote RefMan NoteFirst NoteExpress
×
提示
您的信息不完整,为了账户安全,请先补充。
现在去补充
×
提示
您因"违规操作"
具体请查看互助需知
我知道了
×
提示
确定
请完成安全验证×
copy
已复制链接
快去分享给好友吧!
我知道了
右上角分享
点击右上角分享
0
联系我们:info@booksci.cn Book学术提供免费学术资源搜索服务,方便国内外学者检索中英文文献。致力于提供最便捷和优质的服务体验。 Copyright © 2023 布克学术 All rights reserved.
京ICP备2023020795号-1
ghs 京公网安备 11010802042870号
Book学术文献互助
Book学术文献互助群
群 号:604180095
Book学术官方微信