气候变暖将考验虹鳟鱼的热可塑性极限,虹鳟鱼是一种全球分布的鱼类。

IF 2.5 3区 环境科学与生态学 Q2 BIODIVERSITY CONSERVATION
Conservation Physiology Pub Date : 2025-05-28 eCollection Date: 2025-01-01 DOI:10.1093/conphys/coaf034
Nicholas Strowbridge, Matthew J H Gilbert, Yangfan Zhang, David C H Metzger, Jessica L McKenzie, Lais Lima, Anthony P Farrell, Nann A Fangue, Patricia M Schulte
{"title":"气候变暖将考验虹鳟鱼的热可塑性极限,虹鳟鱼是一种全球分布的鱼类。","authors":"Nicholas Strowbridge, Matthew J H Gilbert, Yangfan Zhang, David C H Metzger, Jessica L McKenzie, Lais Lima, Anthony P Farrell, Nann A Fangue, Patricia M Schulte","doi":"10.1093/conphys/coaf034","DOIUrl":null,"url":null,"abstract":"<p><p>Phenotypic plasticity is thought to be critical in allowing organisms to cope with environmental change, but the factors that limit this plasticity are poorly understood, which hampers predictions of species resilience to anthropogenic climate change. Here, we ask if limited plasticity in key traits constrains performance at high temperatures, using two California hatchery strains of rainbow trout (<i>Oncorhynchus mykiss</i>). Aerobic and anaerobic metabolic performance declined at a high but ecologically relevant acclimation temperature (24°C), suggesting performance cannot be maintained at this temperature, despite acclimation. Similarly, while both whole-organism thermal tolerance and hypoxia tolerance improved with acclimation to moderately elevated temperatures, compensation was limited at the highest acclimation temperature. These limits at the whole-organism level were aligned with limits at lower levels of biological organization. At the organ level, absolute scope to increase heart rate with acute warming (Δƒ<sub>Hmax</sub>) did not increase between the upper two acclimation temperatures, and the safety margin for cardiac performance decreased at the highest acclimation temperature. At the cellular level, at 24°C, there were transcriptomic changes in the heart consistent with a cellular stress response. These limits across multiple levels of biological organization were observed under conditions that are ecologically relevant at the southern end of the species range, which suggests that thermal plasticity is likely insufficient to buffer rainbow trout against even modest anthropogenic warming in these regions.</p>","PeriodicalId":54331,"journal":{"name":"Conservation Physiology","volume":"13 1","pages":"coaf034"},"PeriodicalIF":2.5000,"publicationDate":"2025-05-28","publicationTypes":"Journal Article","fieldsOfStudy":null,"isOpenAccess":false,"openAccessPdf":"https://www.ncbi.nlm.nih.gov/pmc/articles/PMC12257943/pdf/","citationCount":"0","resultStr":"{\"title\":\"Climate warming will test the limits of thermal plasticity in rainbow trout, a globally distributed fish.\",\"authors\":\"Nicholas Strowbridge, Matthew J H Gilbert, Yangfan Zhang, David C H Metzger, Jessica L McKenzie, Lais Lima, Anthony P Farrell, Nann A Fangue, Patricia M Schulte\",\"doi\":\"10.1093/conphys/coaf034\",\"DOIUrl\":null,\"url\":null,\"abstract\":\"<p><p>Phenotypic plasticity is thought to be critical in allowing organisms to cope with environmental change, but the factors that limit this plasticity are poorly understood, which hampers predictions of species resilience to anthropogenic climate change. Here, we ask if limited plasticity in key traits constrains performance at high temperatures, using two California hatchery strains of rainbow trout (<i>Oncorhynchus mykiss</i>). Aerobic and anaerobic metabolic performance declined at a high but ecologically relevant acclimation temperature (24°C), suggesting performance cannot be maintained at this temperature, despite acclimation. Similarly, while both whole-organism thermal tolerance and hypoxia tolerance improved with acclimation to moderately elevated temperatures, compensation was limited at the highest acclimation temperature. These limits at the whole-organism level were aligned with limits at lower levels of biological organization. At the organ level, absolute scope to increase heart rate with acute warming (Δƒ<sub>Hmax</sub>) did not increase between the upper two acclimation temperatures, and the safety margin for cardiac performance decreased at the highest acclimation temperature. At the cellular level, at 24°C, there were transcriptomic changes in the heart consistent with a cellular stress response. These limits across multiple levels of biological organization were observed under conditions that are ecologically relevant at the southern end of the species range, which suggests that thermal plasticity is likely insufficient to buffer rainbow trout against even modest anthropogenic warming in these regions.</p>\",\"PeriodicalId\":54331,\"journal\":{\"name\":\"Conservation Physiology\",\"volume\":\"13 1\",\"pages\":\"coaf034\"},\"PeriodicalIF\":2.5000,\"publicationDate\":\"2025-05-28\",\"publicationTypes\":\"Journal Article\",\"fieldsOfStudy\":null,\"isOpenAccess\":false,\"openAccessPdf\":\"https://www.ncbi.nlm.nih.gov/pmc/articles/PMC12257943/pdf/\",\"citationCount\":\"0\",\"resultStr\":null,\"platform\":\"Semanticscholar\",\"paperid\":null,\"PeriodicalName\":\"Conservation Physiology\",\"FirstCategoryId\":\"93\",\"ListUrlMain\":\"https://doi.org/10.1093/conphys/coaf034\",\"RegionNum\":3,\"RegionCategory\":\"环境科学与生态学\",\"ArticlePicture\":[],\"TitleCN\":null,\"AbstractTextCN\":null,\"PMCID\":null,\"EPubDate\":\"2025/1/1 0:00:00\",\"PubModel\":\"eCollection\",\"JCR\":\"Q2\",\"JCRName\":\"BIODIVERSITY CONSERVATION\",\"Score\":null,\"Total\":0}","platform":"Semanticscholar","paperid":null,"PeriodicalName":"Conservation Physiology","FirstCategoryId":"93","ListUrlMain":"https://doi.org/10.1093/conphys/coaf034","RegionNum":3,"RegionCategory":"环境科学与生态学","ArticlePicture":[],"TitleCN":null,"AbstractTextCN":null,"PMCID":null,"EPubDate":"2025/1/1 0:00:00","PubModel":"eCollection","JCR":"Q2","JCRName":"BIODIVERSITY CONSERVATION","Score":null,"Total":0}
引用次数: 0

摘要

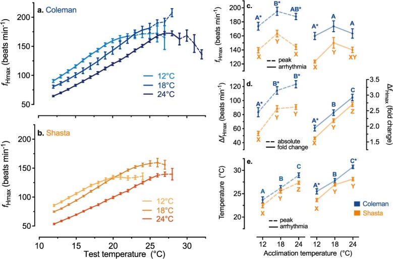
表型可塑性被认为是使生物体应对环境变化的关键,但限制这种可塑性的因素知之甚少,这阻碍了物种对人为气候变化的适应能力的预测。在这里,我们使用加州孵化场的两种虹鳟鱼(Oncorhynchus mykiss),研究关键性状的有限可塑性是否限制了高温下的表现。在较高但与生态相关的驯化温度(24°C)下,好氧和无氧代谢性能下降,表明在该温度下,尽管驯化,性能也无法保持。同样地,虽然生物体的热耐受性和缺氧耐受性都随着中等高温的驯化而提高,但在最高驯化温度下,补偿是有限的。这些在整个生物体水平的限制与生物组织较低水平的限制一致。在器官水平上,在较高的两个适应温度之间,急性升温增加心率的绝对范围(ΔƒHmax)没有增加,心脏性能的安全裕度在最高的适应温度下下降。在细胞水平上,在24°C时,心脏的转录组变化与细胞应激反应一致。在物种范围南端的生态相关条件下,在多个生物组织水平上观察到这些限制,这表明,在这些地区,即使是适度的人为变暖,热可塑性也可能不足以缓冲虹鳟鱼。
本文章由计算机程序翻译,如有差异,请以英文原文为准。

Climate warming will test the limits of thermal plasticity in rainbow trout, a globally distributed fish.

Climate warming will test the limits of thermal plasticity in rainbow trout, a globally distributed fish.

Climate warming will test the limits of thermal plasticity in rainbow trout, a globally distributed fish.

Climate warming will test the limits of thermal plasticity in rainbow trout, a globally distributed fish.

Phenotypic plasticity is thought to be critical in allowing organisms to cope with environmental change, but the factors that limit this plasticity are poorly understood, which hampers predictions of species resilience to anthropogenic climate change. Here, we ask if limited plasticity in key traits constrains performance at high temperatures, using two California hatchery strains of rainbow trout (Oncorhynchus mykiss). Aerobic and anaerobic metabolic performance declined at a high but ecologically relevant acclimation temperature (24°C), suggesting performance cannot be maintained at this temperature, despite acclimation. Similarly, while both whole-organism thermal tolerance and hypoxia tolerance improved with acclimation to moderately elevated temperatures, compensation was limited at the highest acclimation temperature. These limits at the whole-organism level were aligned with limits at lower levels of biological organization. At the organ level, absolute scope to increase heart rate with acute warming (ΔƒHmax) did not increase between the upper two acclimation temperatures, and the safety margin for cardiac performance decreased at the highest acclimation temperature. At the cellular level, at 24°C, there were transcriptomic changes in the heart consistent with a cellular stress response. These limits across multiple levels of biological organization were observed under conditions that are ecologically relevant at the southern end of the species range, which suggests that thermal plasticity is likely insufficient to buffer rainbow trout against even modest anthropogenic warming in these regions.

求助全文
通过发布文献求助,成功后即可免费获取论文全文。 去求助
来源期刊
Conservation Physiology
Conservation Physiology Environmental Science-Management, Monitoring, Policy and Law
CiteScore
5.10
自引率
3.70%
发文量
71
审稿时长
11 weeks
期刊介绍: Conservation Physiology is an online only, fully open access journal published on behalf of the Society for Experimental Biology. Biodiversity across the globe faces a growing number of threats associated with human activities. Conservation Physiology will publish research on all taxa (microbes, plants and animals) focused on understanding and predicting how organisms, populations, ecosystems and natural resources respond to environmental change and stressors. Physiology is considered in the broadest possible terms to include functional and mechanistic responses at all scales. We also welcome research towards developing and refining strategies to rebuild populations, restore ecosystems, inform conservation policy, and manage living resources. We define conservation physiology broadly and encourage potential authors to contact the editorial team if they have any questions regarding the remit of the journal.
×
引用
GB/T 7714-2015
复制
MLA
复制
APA
复制
导出至
BibTeX EndNote RefMan NoteFirst NoteExpress
×
提示
您的信息不完整,为了账户安全,请先补充。
现在去补充
×
提示
您因"违规操作"
具体请查看互助需知
我知道了
×
提示
确定
请完成安全验证×
copy
已复制链接
快去分享给好友吧!
我知道了
右上角分享
点击右上角分享
0
联系我们:info@booksci.cn Book学术提供免费学术资源搜索服务,方便国内外学者检索中英文文献。致力于提供最便捷和优质的服务体验。 Copyright © 2023 布克学术 All rights reserved.
京ICP备2023020795号-1
ghs 京公网安备 11010802042870号
Book学术文献互助
Book学术文献互助群
群 号:604180095
Book学术官方微信