顺铂和替莫唑胺交替治疗复发性高级别胶质瘤:II期临床试验中肿瘤浸润淋巴细胞的疗效和作用

IF 1.9 4区 医学 Q3 ONCOLOGY
Clinical Medicine Insights-Oncology Pub Date : 2025-07-13 eCollection Date: 2025-01-01 DOI:10.1177/11795549251350188
Xiaojie Ding, Di Chen, Zhenyu Zhang, Ying Qi, Dikang Chen, Jianbo Wen, Yuyuan Wang, Haixia Cheng, Chunxia Ji, Lingchao Chen, Chao Tang, Yu Yao
{"title":"顺铂和替莫唑胺交替治疗复发性高级别胶质瘤:II期临床试验中肿瘤浸润淋巴细胞的疗效和作用","authors":"Xiaojie Ding, Di Chen, Zhenyu Zhang, Ying Qi, Dikang Chen, Jianbo Wen, Yuyuan Wang, Haixia Cheng, Chunxia Ji, Lingchao Chen, Chao Tang, Yu Yao","doi":"10.1177/11795549251350188","DOIUrl":null,"url":null,"abstract":"<p><strong>Background: </strong>To evaluate the efficacy and safety of cisplatin combined with alternating temozolomide (TMZ) for recurrent high-grade glioma, as current treatments lack standardized protocols and predictive markers.</p><p><strong>Methods: </strong>This study evaluated cisplatin (20 mg/m<sup>2</sup> IV, days 1-3) and TMZ (125 mg/m<sup>2</sup> orally, days 1-7 and 15-21) in 35 patients, using the RANO criteria with 6-month progression-free survival (PFS-6) as the primary endpoint. The Kaplan-Meier analysis was applied for survival, and tumor molecular profiles were retrospectively assessed.</p><p><strong>Results: </strong>A median follow-up time was 61.2 months. The PFS-6 rate was 45.2%, and the median time to progression was 5.07 months. Four patients showed partial response, 16 had stable disease, and 11 had disease progression, with predominantly grade I to II toxicities. Low CD8+ tumor-infiltrating lymphocytes (TILs) correlated with improved disease control (<i>P</i> = .031). Data from the CGGA showed that low CD8+ TILs were associated with better survival, while high CD8+ TILs indicated increased immune response and higher immune checkpoint expression, including programmed death 1 (PD-1).</p><p><strong>Conclusions: </strong>The cisplatin plus alternating TMZ regimen is feasible and safe for recurrent high-grade gliomas, with low CD8+ TILs potentially predicting favorable responses.</p>","PeriodicalId":48591,"journal":{"name":"Clinical Medicine Insights-Oncology","volume":"19 ","pages":"11795549251350188"},"PeriodicalIF":1.9000,"publicationDate":"2025-07-13","publicationTypes":"Journal Article","fieldsOfStudy":null,"isOpenAccess":false,"openAccessPdf":"https://www.ncbi.nlm.nih.gov/pmc/articles/PMC12256749/pdf/","citationCount":"0","resultStr":"{\"title\":\"Cisplatin and Alternating Temozolomide in Recurrent High-Grade Gliomas: Efficacy and the Role of Tumor-Infiltrating Lymphocytes in a Phase II Clinical Trial.\",\"authors\":\"Xiaojie Ding, Di Chen, Zhenyu Zhang, Ying Qi, Dikang Chen, Jianbo Wen, Yuyuan Wang, Haixia Cheng, Chunxia Ji, Lingchao Chen, Chao Tang, Yu Yao\",\"doi\":\"10.1177/11795549251350188\",\"DOIUrl\":null,\"url\":null,\"abstract\":\"<p><strong>Background: </strong>To evaluate the efficacy and safety of cisplatin combined with alternating temozolomide (TMZ) for recurrent high-grade glioma, as current treatments lack standardized protocols and predictive markers.</p><p><strong>Methods: </strong>This study evaluated cisplatin (20 mg/m<sup>2</sup> IV, days 1-3) and TMZ (125 mg/m<sup>2</sup> orally, days 1-7 and 15-21) in 35 patients, using the RANO criteria with 6-month progression-free survival (PFS-6) as the primary endpoint. The Kaplan-Meier analysis was applied for survival, and tumor molecular profiles were retrospectively assessed.</p><p><strong>Results: </strong>A median follow-up time was 61.2 months. The PFS-6 rate was 45.2%, and the median time to progression was 5.07 months. Four patients showed partial response, 16 had stable disease, and 11 had disease progression, with predominantly grade I to II toxicities. Low CD8+ tumor-infiltrating lymphocytes (TILs) correlated with improved disease control (<i>P</i> = .031). Data from the CGGA showed that low CD8+ TILs were associated with better survival, while high CD8+ TILs indicated increased immune response and higher immune checkpoint expression, including programmed death 1 (PD-1).</p><p><strong>Conclusions: </strong>The cisplatin plus alternating TMZ regimen is feasible and safe for recurrent high-grade gliomas, with low CD8+ TILs potentially predicting favorable responses.</p>\",\"PeriodicalId\":48591,\"journal\":{\"name\":\"Clinical Medicine Insights-Oncology\",\"volume\":\"19 \",\"pages\":\"11795549251350188\"},\"PeriodicalIF\":1.9000,\"publicationDate\":\"2025-07-13\",\"publicationTypes\":\"Journal Article\",\"fieldsOfStudy\":null,\"isOpenAccess\":false,\"openAccessPdf\":\"https://www.ncbi.nlm.nih.gov/pmc/articles/PMC12256749/pdf/\",\"citationCount\":\"0\",\"resultStr\":null,\"platform\":\"Semanticscholar\",\"paperid\":null,\"PeriodicalName\":\"Clinical Medicine Insights-Oncology\",\"FirstCategoryId\":\"3\",\"ListUrlMain\":\"https://doi.org/10.1177/11795549251350188\",\"RegionNum\":4,\"RegionCategory\":\"医学\",\"ArticlePicture\":[],\"TitleCN\":null,\"AbstractTextCN\":null,\"PMCID\":null,\"EPubDate\":\"2025/1/1 0:00:00\",\"PubModel\":\"eCollection\",\"JCR\":\"Q3\",\"JCRName\":\"ONCOLOGY\",\"Score\":null,\"Total\":0}","platform":"Semanticscholar","paperid":null,"PeriodicalName":"Clinical Medicine Insights-Oncology","FirstCategoryId":"3","ListUrlMain":"https://doi.org/10.1177/11795549251350188","RegionNum":4,"RegionCategory":"医学","ArticlePicture":[],"TitleCN":null,"AbstractTextCN":null,"PMCID":null,"EPubDate":"2025/1/1 0:00:00","PubModel":"eCollection","JCR":"Q3","JCRName":"ONCOLOGY","Score":null,"Total":0}
引用次数: 0

摘要

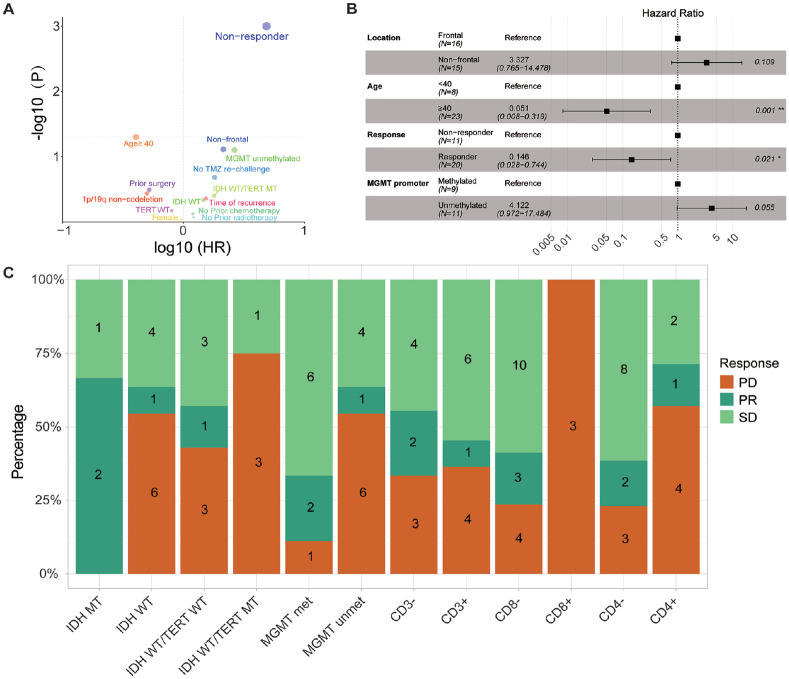
背景:评估顺铂联合替莫唑胺(TMZ)治疗复发性高级别胶质瘤的疗效和安全性,因为目前的治疗缺乏标准化的方案和预测指标。方法:本研究以6个月无进展生存期(PFS-6)为主要终点,对35例患者的顺铂(20mg /m2 IV, 1-3天)和TMZ (125mg /m2口服,1-7天和15-21天)进行评估。生存率采用Kaplan-Meier分析,并对肿瘤分子谱进行回顾性评估。结果:中位随访时间为61.2个月。PFS-6率为45.2%,中位进展时间为5.07个月。4例患者出现部分缓解,16例病情稳定,11例病情进展,主要为I至II级毒性。低CD8+肿瘤浸润淋巴细胞(TILs)与疾病控制改善相关(P = 0.031)。来自CGGA的数据显示,低CD8+ TILs与更好的生存率相关,而高CD8+ TILs表明免疫应答增加和更高的免疫检查点表达,包括程序性死亡1 (PD-1)。结论:顺铂+ TMZ交替治疗复发性高级别胶质瘤是可行且安全的,低CD8+ TILs可能预示着良好的反应。
本文章由计算机程序翻译,如有差异,请以英文原文为准。

Cisplatin and Alternating Temozolomide in Recurrent High-Grade Gliomas: Efficacy and the Role of Tumor-Infiltrating Lymphocytes in a Phase II Clinical Trial.

Cisplatin and Alternating Temozolomide in Recurrent High-Grade Gliomas: Efficacy and the Role of Tumor-Infiltrating Lymphocytes in a Phase II Clinical Trial.

Cisplatin and Alternating Temozolomide in Recurrent High-Grade Gliomas: Efficacy and the Role of Tumor-Infiltrating Lymphocytes in a Phase II Clinical Trial.

Cisplatin and Alternating Temozolomide in Recurrent High-Grade Gliomas: Efficacy and the Role of Tumor-Infiltrating Lymphocytes in a Phase II Clinical Trial.

Background: To evaluate the efficacy and safety of cisplatin combined with alternating temozolomide (TMZ) for recurrent high-grade glioma, as current treatments lack standardized protocols and predictive markers.

Methods: This study evaluated cisplatin (20 mg/m2 IV, days 1-3) and TMZ (125 mg/m2 orally, days 1-7 and 15-21) in 35 patients, using the RANO criteria with 6-month progression-free survival (PFS-6) as the primary endpoint. The Kaplan-Meier analysis was applied for survival, and tumor molecular profiles were retrospectively assessed.

Results: A median follow-up time was 61.2 months. The PFS-6 rate was 45.2%, and the median time to progression was 5.07 months. Four patients showed partial response, 16 had stable disease, and 11 had disease progression, with predominantly grade I to II toxicities. Low CD8+ tumor-infiltrating lymphocytes (TILs) correlated with improved disease control (P = .031). Data from the CGGA showed that low CD8+ TILs were associated with better survival, while high CD8+ TILs indicated increased immune response and higher immune checkpoint expression, including programmed death 1 (PD-1).

Conclusions: The cisplatin plus alternating TMZ regimen is feasible and safe for recurrent high-grade gliomas, with low CD8+ TILs potentially predicting favorable responses.

求助全文
通过发布文献求助,成功后即可免费获取论文全文。 去求助
来源期刊
CiteScore
2.40
自引率
4.50%
发文量
57
审稿时长
8 weeks
期刊介绍: Clinical Medicine Insights: Oncology is an international, peer-reviewed, open access journal that focuses on all aspects of cancer research and treatment, in addition to related genetic, pathophysiological and epidemiological topics. Of particular but not exclusive importance are molecular biology, clinical interventions, controlled trials, therapeutics, pharmacology and drug delivery, and techniques of cancer surgery. The journal welcomes unsolicited article proposals.
×
引用
GB/T 7714-2015
复制
MLA
复制
APA
复制
导出至
BibTeX EndNote RefMan NoteFirst NoteExpress
×
提示
您的信息不完整,为了账户安全,请先补充。
现在去补充
×
提示
您因"违规操作"
具体请查看互助需知
我知道了
×
提示
确定
请完成安全验证×
copy
已复制链接
快去分享给好友吧!
我知道了
右上角分享
点击右上角分享
0
联系我们:info@booksci.cn Book学术提供免费学术资源搜索服务,方便国内外学者检索中英文文献。致力于提供最便捷和优质的服务体验。 Copyright © 2023 布克学术 All rights reserved.
京ICP备2023020795号-1
ghs 京公网安备 11010802042870号
Book学术文献互助
Book学术文献互助群
群 号:604180095
Book学术官方微信