部分聚类试验的样本量计算。

IF 1.8 4区 医学 Q3 MATHEMATICAL & COMPUTATIONAL BIOLOGY
Kylie M Lange, Jessica Kasza, Thomas R Sullivan, Lisa N Yelland
{"title":"部分聚类试验的样本量计算。","authors":"Kylie M Lange, Jessica Kasza, Thomas R Sullivan, Lisa N Yelland","doi":"10.1002/sim.70172","DOIUrl":null,"url":null,"abstract":"<p><p>Partially clustered trials are defined as trials where some observations belong to a cluster and others are independent. For example, neonatal trials may include infants from a single, twin, or triplet birth. The clustering of observations in partially clustered trials should be accounted for when determining the target sample size to avoid being over or underpowered. However, sample size methods have only been developed for limited partially clustered trial designs (e.g., designs with maximum cluster sizes of 2). In this article, we present new design effects that can be used to determine the sample size for two-arm, parallel, partially clustered trials where clusters exist pre-randomization. Design effects are derived algebraically for continuous and binary outcomes, assuming a generalized estimating equations-based approach to estimation with either an independence or exchangeable working correlation structure. Both cluster and individual randomization are considered for the clustered observations. The design effects are shown to depend on the intracluster correlation coefficient, proportion of observations that belong to clusters of each size, method of randomization, type of outcome, and working correlation structure. The design effects are validated through a simulation study. Example sample size calculations are presented to illustrate how the design effects can be used to determine the target sample size for different partially clustered trial designs. The design effects depend on parameters that can be feasibly estimated when planning a trial and can be used to ensure that partially clustered trials are appropriately powered in the future.</p>","PeriodicalId":21879,"journal":{"name":"Statistics in Medicine","volume":"44 15-17","pages":"e70172"},"PeriodicalIF":1.8000,"publicationDate":"2025-07-01","publicationTypes":"Journal Article","fieldsOfStudy":null,"isOpenAccess":false,"openAccessPdf":"https://www.ncbi.nlm.nih.gov/pmc/articles/PMC12261973/pdf/","citationCount":"0","resultStr":"{\"title\":\"Sample Size Calculations for Partially Clustered Trials.\",\"authors\":\"Kylie M Lange, Jessica Kasza, Thomas R Sullivan, Lisa N Yelland\",\"doi\":\"10.1002/sim.70172\",\"DOIUrl\":null,\"url\":null,\"abstract\":\"<p><p>Partially clustered trials are defined as trials where some observations belong to a cluster and others are independent. For example, neonatal trials may include infants from a single, twin, or triplet birth. The clustering of observations in partially clustered trials should be accounted for when determining the target sample size to avoid being over or underpowered. However, sample size methods have only been developed for limited partially clustered trial designs (e.g., designs with maximum cluster sizes of 2). In this article, we present new design effects that can be used to determine the sample size for two-arm, parallel, partially clustered trials where clusters exist pre-randomization. Design effects are derived algebraically for continuous and binary outcomes, assuming a generalized estimating equations-based approach to estimation with either an independence or exchangeable working correlation structure. Both cluster and individual randomization are considered for the clustered observations. The design effects are shown to depend on the intracluster correlation coefficient, proportion of observations that belong to clusters of each size, method of randomization, type of outcome, and working correlation structure. The design effects are validated through a simulation study. Example sample size calculations are presented to illustrate how the design effects can be used to determine the target sample size for different partially clustered trial designs. The design effects depend on parameters that can be feasibly estimated when planning a trial and can be used to ensure that partially clustered trials are appropriately powered in the future.</p>\",\"PeriodicalId\":21879,\"journal\":{\"name\":\"Statistics in Medicine\",\"volume\":\"44 15-17\",\"pages\":\"e70172\"},\"PeriodicalIF\":1.8000,\"publicationDate\":\"2025-07-01\",\"publicationTypes\":\"Journal Article\",\"fieldsOfStudy\":null,\"isOpenAccess\":false,\"openAccessPdf\":\"https://www.ncbi.nlm.nih.gov/pmc/articles/PMC12261973/pdf/\",\"citationCount\":\"0\",\"resultStr\":null,\"platform\":\"Semanticscholar\",\"paperid\":null,\"PeriodicalName\":\"Statistics in Medicine\",\"FirstCategoryId\":\"3\",\"ListUrlMain\":\"https://doi.org/10.1002/sim.70172\",\"RegionNum\":4,\"RegionCategory\":\"医学\",\"ArticlePicture\":[],\"TitleCN\":null,\"AbstractTextCN\":null,\"PMCID\":null,\"EPubDate\":\"\",\"PubModel\":\"\",\"JCR\":\"Q3\",\"JCRName\":\"MATHEMATICAL & COMPUTATIONAL BIOLOGY\",\"Score\":null,\"Total\":0}","platform":"Semanticscholar","paperid":null,"PeriodicalName":"Statistics in Medicine","FirstCategoryId":"3","ListUrlMain":"https://doi.org/10.1002/sim.70172","RegionNum":4,"RegionCategory":"医学","ArticlePicture":[],"TitleCN":null,"AbstractTextCN":null,"PMCID":null,"EPubDate":"","PubModel":"","JCR":"Q3","JCRName":"MATHEMATICAL & COMPUTATIONAL BIOLOGY","Score":null,"Total":0}
引用次数: 0

摘要

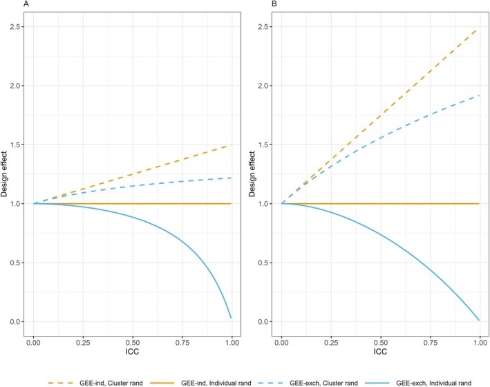
部分聚类试验被定义为一些观测值属于一个群集而其他观测值独立的试验。例如,新生儿试验可能包括单胎、双胞胎或三胞胎出生的婴儿。在确定目标样本量时,应考虑部分聚类试验中观察结果的聚类,以避免功率过大或不足。然而,样本量方法仅用于有限的部分聚类试验设计(例如,最大聚类大小为2的设计)。在本文中,我们提出了新的设计效应,可用于确定双臂、平行、部分聚类试验的样本量,其中聚类存在预随机化。设计效果是对连续和二元结果的代数推导,假设基于广义估计方程的估计方法具有独立或可交换的工作相关结构。对于聚类观测,同时考虑了聚类随机化和个体随机化。设计效果取决于簇内相关系数、属于每种大小的簇的观测值的比例、随机化方法、结果类型和工作相关结构。通过仿真研究验证了设计效果。示例样本量计算,以说明如何设计效果可以用来确定不同的部分聚类试验设计的目标样本量。设计效果取决于在计划试验时可以可行地估计的参数,并可用于确保部分聚类试验在未来得到适当的支持。
本文章由计算机程序翻译,如有差异,请以英文原文为准。

Sample Size Calculations for Partially Clustered Trials.

Sample Size Calculations for Partially Clustered Trials.

Sample Size Calculations for Partially Clustered Trials.

Sample Size Calculations for Partially Clustered Trials.

Partially clustered trials are defined as trials where some observations belong to a cluster and others are independent. For example, neonatal trials may include infants from a single, twin, or triplet birth. The clustering of observations in partially clustered trials should be accounted for when determining the target sample size to avoid being over or underpowered. However, sample size methods have only been developed for limited partially clustered trial designs (e.g., designs with maximum cluster sizes of 2). In this article, we present new design effects that can be used to determine the sample size for two-arm, parallel, partially clustered trials where clusters exist pre-randomization. Design effects are derived algebraically for continuous and binary outcomes, assuming a generalized estimating equations-based approach to estimation with either an independence or exchangeable working correlation structure. Both cluster and individual randomization are considered for the clustered observations. The design effects are shown to depend on the intracluster correlation coefficient, proportion of observations that belong to clusters of each size, method of randomization, type of outcome, and working correlation structure. The design effects are validated through a simulation study. Example sample size calculations are presented to illustrate how the design effects can be used to determine the target sample size for different partially clustered trial designs. The design effects depend on parameters that can be feasibly estimated when planning a trial and can be used to ensure that partially clustered trials are appropriately powered in the future.

求助全文
通过发布文献求助,成功后即可免费获取论文全文。 去求助
来源期刊
Statistics in Medicine
Statistics in Medicine 医学-公共卫生、环境卫生与职业卫生
CiteScore
3.40
自引率
10.00%
发文量
334
审稿时长
2-4 weeks
期刊介绍: The journal aims to influence practice in medicine and its associated sciences through the publication of papers on statistical and other quantitative methods. Papers will explain new methods and demonstrate their application, preferably through a substantive, real, motivating example or a comprehensive evaluation based on an illustrative example. Alternatively, papers will report on case-studies where creative use or technical generalizations of established methodology is directed towards a substantive application. Reviews of, and tutorials on, general topics relevant to the application of statistics to medicine will also be published. The main criteria for publication are appropriateness of the statistical methods to a particular medical problem and clarity of exposition. Papers with primarily mathematical content will be excluded. The journal aims to enhance communication between statisticians, clinicians and medical researchers.
×
引用
GB/T 7714-2015
复制
MLA
复制
APA
复制
导出至
BibTeX EndNote RefMan NoteFirst NoteExpress
×
提示
您的信息不完整,为了账户安全,请先补充。
现在去补充
×
提示
您因"违规操作"
具体请查看互助需知
我知道了
×
提示
确定
请完成安全验证×
copy
已复制链接
快去分享给好友吧!
我知道了
右上角分享
点击右上角分享
0
联系我们:info@booksci.cn Book学术提供免费学术资源搜索服务,方便国内外学者检索中英文文献。致力于提供最便捷和优质的服务体验。 Copyright © 2023 布克学术 All rights reserved.
京ICP备2023020795号-1
ghs 京公网安备 11010802042870号
Book学术文献互助
Book学术文献互助群
群 号:604180095
Book学术官方微信