红细胞中甲氨蝶呤多谷氨酸的定量测定及其在克罗恩病患者中的应用。

IF 1.5 Q4 PHARMACOLOGY & PHARMACY
Translational and Clinical Pharmacology Pub Date : 2025-06-01 Epub Date: 2025-06-23 DOI:10.12793/tcp.2025.33.e7
Hakmin Kim, Kyeong-Seog Kim, Sihyun Kim, Jihyun Kang, Hyun Chul Kim, Sejung Hwang, Jae-Yong Chung, Hyuk Yoon, Joo-Youn Cho
{"title":"红细胞中甲氨蝶呤多谷氨酸的定量测定及其在克罗恩病患者中的应用。","authors":"Hakmin Kim, Kyeong-Seog Kim, Sihyun Kim, Jihyun Kang, Hyun Chul Kim, Sejung Hwang, Jae-Yong Chung, Hyuk Yoon, Joo-Youn Cho","doi":"10.12793/tcp.2025.33.e7","DOIUrl":null,"url":null,"abstract":"<p><p>Methotrexate (MTX), a folate antagonist, is commonly administered at low doses for the treatment of Crohn's disease (CD). Anti-inflammatory effects of MTX are facilitated by its intracellular conversion to MTX polyglutamates (MTX-PGs). Because plasma-based monitoring of therapeutic response does not accurately reflect the therapeutic efficacy of MTX, quantifying intracellular MTX-PGs, potential biomarkers of the MTX response, is crucial. However, it is challenging to routinely monitor intracellular MTX metabolites in patients with CD due to the low concentrations of MTX-PGs. Therefore, quantitating MTX-PGs in clinical samples with a high-sensitivity method is necessary. We established a high-sensitivity method to quantify three MTX-PGs using perchloric acid deproteinization followed by high-performance liquid chromatography-tandem mass spectrometry. Calibration curves were generated using human red blood cells as biological matrix. This method was applied to analyze MTX-PGs in red blood cells (RBCs) from patients with CD undergoing MTX therapy. The method achieved a lower limit of quantification of 1 ng/mL for individual MTX-PGs. A nine-point calibration curve covering 1-400 ng/mL showed excellent linearity. Precision (relative standard deviation < 15%) and accuracy (93.41-109.37%) were satisfactory in both intra- and inter-day assays. Plasma MTX levels were not significantly correlated with any individual RBC MTX-PG level (<i>p</i> = 0.998, 0.640, and 0.587, respectively). The lack of correlation supports our conclusion that plasma MTX levels may not reliably represent intracellular accumulation. The developed quantitative method provides a useful tool to improve our understanding of MTX metabolism and may facilitate therapeutic drug monitoring in MTX therapy.</p>","PeriodicalId":23288,"journal":{"name":"Translational and Clinical Pharmacology","volume":"33 2","pages":"66-79"},"PeriodicalIF":1.5000,"publicationDate":"2025-06-01","publicationTypes":"Journal Article","fieldsOfStudy":null,"isOpenAccess":false,"openAccessPdf":"https://www.ncbi.nlm.nih.gov/pmc/articles/PMC12242393/pdf/","citationCount":"0","resultStr":"{\"title\":\"Quantitation of methotrexate polyglutamates in red blood cells and application in patients with Crohn's disease.\",\"authors\":\"Hakmin Kim, Kyeong-Seog Kim, Sihyun Kim, Jihyun Kang, Hyun Chul Kim, Sejung Hwang, Jae-Yong Chung, Hyuk Yoon, Joo-Youn Cho\",\"doi\":\"10.12793/tcp.2025.33.e7\",\"DOIUrl\":null,\"url\":null,\"abstract\":\"<p><p>Methotrexate (MTX), a folate antagonist, is commonly administered at low doses for the treatment of Crohn's disease (CD). Anti-inflammatory effects of MTX are facilitated by its intracellular conversion to MTX polyglutamates (MTX-PGs). Because plasma-based monitoring of therapeutic response does not accurately reflect the therapeutic efficacy of MTX, quantifying intracellular MTX-PGs, potential biomarkers of the MTX response, is crucial. However, it is challenging to routinely monitor intracellular MTX metabolites in patients with CD due to the low concentrations of MTX-PGs. Therefore, quantitating MTX-PGs in clinical samples with a high-sensitivity method is necessary. We established a high-sensitivity method to quantify three MTX-PGs using perchloric acid deproteinization followed by high-performance liquid chromatography-tandem mass spectrometry. Calibration curves were generated using human red blood cells as biological matrix. This method was applied to analyze MTX-PGs in red blood cells (RBCs) from patients with CD undergoing MTX therapy. The method achieved a lower limit of quantification of 1 ng/mL for individual MTX-PGs. A nine-point calibration curve covering 1-400 ng/mL showed excellent linearity. Precision (relative standard deviation < 15%) and accuracy (93.41-109.37%) were satisfactory in both intra- and inter-day assays. Plasma MTX levels were not significantly correlated with any individual RBC MTX-PG level (<i>p</i> = 0.998, 0.640, and 0.587, respectively). The lack of correlation supports our conclusion that plasma MTX levels may not reliably represent intracellular accumulation. The developed quantitative method provides a useful tool to improve our understanding of MTX metabolism and may facilitate therapeutic drug monitoring in MTX therapy.</p>\",\"PeriodicalId\":23288,\"journal\":{\"name\":\"Translational and Clinical Pharmacology\",\"volume\":\"33 2\",\"pages\":\"66-79\"},\"PeriodicalIF\":1.5000,\"publicationDate\":\"2025-06-01\",\"publicationTypes\":\"Journal Article\",\"fieldsOfStudy\":null,\"isOpenAccess\":false,\"openAccessPdf\":\"https://www.ncbi.nlm.nih.gov/pmc/articles/PMC12242393/pdf/\",\"citationCount\":\"0\",\"resultStr\":null,\"platform\":\"Semanticscholar\",\"paperid\":null,\"PeriodicalName\":\"Translational and Clinical Pharmacology\",\"FirstCategoryId\":\"1085\",\"ListUrlMain\":\"https://doi.org/10.12793/tcp.2025.33.e7\",\"RegionNum\":0,\"RegionCategory\":null,\"ArticlePicture\":[],\"TitleCN\":null,\"AbstractTextCN\":null,\"PMCID\":null,\"EPubDate\":\"2025/6/23 0:00:00\",\"PubModel\":\"Epub\",\"JCR\":\"Q4\",\"JCRName\":\"PHARMACOLOGY & PHARMACY\",\"Score\":null,\"Total\":0}","platform":"Semanticscholar","paperid":null,"PeriodicalName":"Translational and Clinical Pharmacology","FirstCategoryId":"1085","ListUrlMain":"https://doi.org/10.12793/tcp.2025.33.e7","RegionNum":0,"RegionCategory":null,"ArticlePicture":[],"TitleCN":null,"AbstractTextCN":null,"PMCID":null,"EPubDate":"2025/6/23 0:00:00","PubModel":"Epub","JCR":"Q4","JCRName":"PHARMACOLOGY & PHARMACY","Score":null,"Total":0}
引用次数: 0

摘要

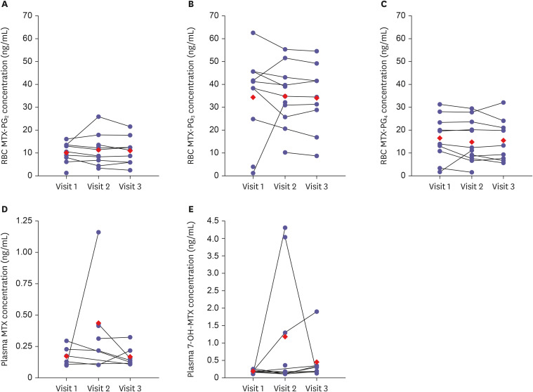
甲氨蝶呤(MTX)是一种叶酸拮抗剂,通常以低剂量治疗克罗恩病(CD)。MTX的抗炎作用是通过其在细胞内转化为MTX多谷氨酸(MTX- pg)而促进的。由于基于血浆的治疗反应监测不能准确反映MTX的治疗效果,因此定量细胞内MTX- pg (MTX反应的潜在生物标志物)至关重要。然而,由于MTX- pg浓度低,常规监测CD患者细胞内MTX代谢物具有挑战性。因此,有必要采用高灵敏度的方法定量测定临床样品中的mtx - pg。建立了高氯酸脱蛋白-高效液相色谱-串联质谱法定量测定3种MTX-PGs的高灵敏度方法。以人红细胞为生物基质,生成标定曲线。该方法用于分析接受MTX治疗的CD患者红细胞(rbc)中的MTX- pg。该方法对单个mtx - pg的定量下限为1 ng/mL。1 ~ 400 ng/mL范围内的9点校准曲线具有良好的线性关系。精密度(相对标准偏差< 15%)和准确度(93.41 ~ 109.37%)均令人满意。血浆MTX水平与任何个体红细胞MTX- pg水平无显著相关(p分别= 0.998、0.640和0.587)。缺乏相关性支持了我们的结论,即血浆MTX水平可能不能可靠地代表细胞内积累。所建立的定量方法为提高我们对MTX代谢的认识提供了有用的工具,并可为MTX治疗中的治疗药物监测提供便利。
本文章由计算机程序翻译,如有差异,请以英文原文为准。

Quantitation of methotrexate polyglutamates in red blood cells and application in patients with Crohn's disease.

Quantitation of methotrexate polyglutamates in red blood cells and application in patients with Crohn's disease.

Quantitation of methotrexate polyglutamates in red blood cells and application in patients with Crohn's disease.

Quantitation of methotrexate polyglutamates in red blood cells and application in patients with Crohn's disease.

Methotrexate (MTX), a folate antagonist, is commonly administered at low doses for the treatment of Crohn's disease (CD). Anti-inflammatory effects of MTX are facilitated by its intracellular conversion to MTX polyglutamates (MTX-PGs). Because plasma-based monitoring of therapeutic response does not accurately reflect the therapeutic efficacy of MTX, quantifying intracellular MTX-PGs, potential biomarkers of the MTX response, is crucial. However, it is challenging to routinely monitor intracellular MTX metabolites in patients with CD due to the low concentrations of MTX-PGs. Therefore, quantitating MTX-PGs in clinical samples with a high-sensitivity method is necessary. We established a high-sensitivity method to quantify three MTX-PGs using perchloric acid deproteinization followed by high-performance liquid chromatography-tandem mass spectrometry. Calibration curves were generated using human red blood cells as biological matrix. This method was applied to analyze MTX-PGs in red blood cells (RBCs) from patients with CD undergoing MTX therapy. The method achieved a lower limit of quantification of 1 ng/mL for individual MTX-PGs. A nine-point calibration curve covering 1-400 ng/mL showed excellent linearity. Precision (relative standard deviation < 15%) and accuracy (93.41-109.37%) were satisfactory in both intra- and inter-day assays. Plasma MTX levels were not significantly correlated with any individual RBC MTX-PG level (p = 0.998, 0.640, and 0.587, respectively). The lack of correlation supports our conclusion that plasma MTX levels may not reliably represent intracellular accumulation. The developed quantitative method provides a useful tool to improve our understanding of MTX metabolism and may facilitate therapeutic drug monitoring in MTX therapy.

求助全文
通过发布文献求助,成功后即可免费获取论文全文。 去求助
来源期刊
Translational and Clinical Pharmacology
Translational and Clinical Pharmacology Medicine-Pharmacology (medical)
CiteScore
1.60
自引率
11.10%
发文量
17
期刊介绍: Translational and Clinical Pharmacology (Transl Clin Pharmacol, TCP) is the official journal of the Korean Society for Clinical Pharmacology and Therapeutics (KSCPT). TCP is an interdisciplinary journal devoted to the dissemination of knowledge relating to all aspects of translational and clinical pharmacology. The categories for publication include pharmacokinetics (PK) and drug disposition, drug metabolism, pharmacodynamics (PD), clinical trials and design issues, pharmacogenomics and pharmacogenetics, pharmacometrics, pharmacoepidemiology, pharmacovigilence, and human pharmacology. Studies involving animal models, pharmacological characterization, and clinical trials are appropriate for consideration.
×
引用
GB/T 7714-2015
复制
MLA
复制
APA
复制
导出至
BibTeX EndNote RefMan NoteFirst NoteExpress
×
提示
您的信息不完整,为了账户安全,请先补充。
现在去补充
×
提示
您因"违规操作"
具体请查看互助需知
我知道了
×
提示
确定
请完成安全验证×
copy
已复制链接
快去分享给好友吧!
我知道了
右上角分享
点击右上角分享
0
联系我们:info@booksci.cn Book学术提供免费学术资源搜索服务,方便国内外学者检索中英文文献。致力于提供最便捷和优质的服务体验。 Copyright © 2023 布克学术 All rights reserved.
京ICP备2023020795号-1
ghs 京公网安备 11010802042870号
Book学术文献互助
Book学术文献互助群
群 号:604180095
Book学术官方微信