瑞舒伐他汀/依泽替米布2.5/ 10mg固定剂量联合用药与单用制剂在健康人体内的药代动力学比较

IF 1.5 Q4 PHARMACOLOGY & PHARMACY
Translational and Clinical Pharmacology Pub Date : 2025-06-01 Epub Date: 2025-06-17 DOI:10.12793/tcp.2025.33.e6
Dowon Lee, Sejung Hwang, Taewon Lee, Kyung-Sang Yu, SeungHwan Lee
{"title":"瑞舒伐他汀/依泽替米布2.5/ 10mg固定剂量联合用药与单用制剂在健康人体内的药代动力学比较","authors":"Dowon Lee, Sejung Hwang, Taewon Lee, Kyung-Sang Yu, SeungHwan Lee","doi":"10.12793/tcp.2025.33.e6","DOIUrl":null,"url":null,"abstract":"<p><p>The combination therapy of low-dose rosuvastatin and ezetimibe has shown similar efficacy in decreasing low-density lipoprotein cholesterol (LDL-C) compared to high-dose rosuvastatin monotherapy. This study aimed to compare the pharmacokinetics (PKs) between the fixed-dose combination (FDC) of rosuvastatin/ezetimibe 2.5/10 mg and the co-administration of individual formulations. A randomized, open-label, single-dose, 2-sequence, 2-period, crossover study was conducted in healthy volunteers. Subjects were randomized in each sequence and received a single dose of the FDC of rosuvastatin/ezetimibe 2.5/10 mg or the co-administration of individual formulations in each period with a 14-day washout. Serial blood samples for PK analysis were collected up to 48 hours post-dose for rosuvastatin and 72 hours post-dose for ezetimibe. The geometric mean ratios (GMRs) and 90% confidence intervals (CIs) of the FDC to the co-administration for maximum plasma concentration (C<sub>max</sub>) and area under the curve from zero to the last measurable time point (AUC<sub>last</sub>) were calculated. Forty-seven subjects were randomized, and 41 subjects completed the study. The GMRs (90% CIs) of C<sub>max</sub> and AUC<sub>last</sub> for rosuvastatin were 0.9789 (0.9020-1.0622) and 0.9741 (0.9105-1.0422). The corresponding values were 1.0419 (0.9219-1.1776) and 0.9983 (0.9522-1.0465) for total ezetimibe, and 1.0396 (0.9087-1.1893) and 0.9743 (0.8997-1.0550) for free ezetimibe, respectively. All the values were within the conventional bioequivalence criteria of 0.8 to 1.25. In conclusion, the FDC of rosuvastatin/ezetimibe 2.5/10 mg showed comparable PK with the co-administration of individual formulations.</p><p><strong>Trial registration: </strong>Clinical Research Information Service Identifier: KCT0009254.</p>","PeriodicalId":23288,"journal":{"name":"Translational and Clinical Pharmacology","volume":"33 2","pages":"100-110"},"PeriodicalIF":1.5000,"publicationDate":"2025-06-01","publicationTypes":"Journal Article","fieldsOfStudy":null,"isOpenAccess":false,"openAccessPdf":"https://www.ncbi.nlm.nih.gov/pmc/articles/PMC12242394/pdf/","citationCount":"0","resultStr":"{\"title\":\"Pharmacokinetic comparison between the fixed-dose combination of rosuvastatin/ezetimibe 2.5/10 mg and the co-administration of individual formulations in healthy subjects.\",\"authors\":\"Dowon Lee, Sejung Hwang, Taewon Lee, Kyung-Sang Yu, SeungHwan Lee\",\"doi\":\"10.12793/tcp.2025.33.e6\",\"DOIUrl\":null,\"url\":null,\"abstract\":\"<p><p>The combination therapy of low-dose rosuvastatin and ezetimibe has shown similar efficacy in decreasing low-density lipoprotein cholesterol (LDL-C) compared to high-dose rosuvastatin monotherapy. This study aimed to compare the pharmacokinetics (PKs) between the fixed-dose combination (FDC) of rosuvastatin/ezetimibe 2.5/10 mg and the co-administration of individual formulations. A randomized, open-label, single-dose, 2-sequence, 2-period, crossover study was conducted in healthy volunteers. Subjects were randomized in each sequence and received a single dose of the FDC of rosuvastatin/ezetimibe 2.5/10 mg or the co-administration of individual formulations in each period with a 14-day washout. Serial blood samples for PK analysis were collected up to 48 hours post-dose for rosuvastatin and 72 hours post-dose for ezetimibe. The geometric mean ratios (GMRs) and 90% confidence intervals (CIs) of the FDC to the co-administration for maximum plasma concentration (C<sub>max</sub>) and area under the curve from zero to the last measurable time point (AUC<sub>last</sub>) were calculated. Forty-seven subjects were randomized, and 41 subjects completed the study. The GMRs (90% CIs) of C<sub>max</sub> and AUC<sub>last</sub> for rosuvastatin were 0.9789 (0.9020-1.0622) and 0.9741 (0.9105-1.0422). The corresponding values were 1.0419 (0.9219-1.1776) and 0.9983 (0.9522-1.0465) for total ezetimibe, and 1.0396 (0.9087-1.1893) and 0.9743 (0.8997-1.0550) for free ezetimibe, respectively. All the values were within the conventional bioequivalence criteria of 0.8 to 1.25. In conclusion, the FDC of rosuvastatin/ezetimibe 2.5/10 mg showed comparable PK with the co-administration of individual formulations.</p><p><strong>Trial registration: </strong>Clinical Research Information Service Identifier: KCT0009254.</p>\",\"PeriodicalId\":23288,\"journal\":{\"name\":\"Translational and Clinical Pharmacology\",\"volume\":\"33 2\",\"pages\":\"100-110\"},\"PeriodicalIF\":1.5000,\"publicationDate\":\"2025-06-01\",\"publicationTypes\":\"Journal Article\",\"fieldsOfStudy\":null,\"isOpenAccess\":false,\"openAccessPdf\":\"https://www.ncbi.nlm.nih.gov/pmc/articles/PMC12242394/pdf/\",\"citationCount\":\"0\",\"resultStr\":null,\"platform\":\"Semanticscholar\",\"paperid\":null,\"PeriodicalName\":\"Translational and Clinical Pharmacology\",\"FirstCategoryId\":\"1085\",\"ListUrlMain\":\"https://doi.org/10.12793/tcp.2025.33.e6\",\"RegionNum\":0,\"RegionCategory\":null,\"ArticlePicture\":[],\"TitleCN\":null,\"AbstractTextCN\":null,\"PMCID\":null,\"EPubDate\":\"2025/6/17 0:00:00\",\"PubModel\":\"Epub\",\"JCR\":\"Q4\",\"JCRName\":\"PHARMACOLOGY & PHARMACY\",\"Score\":null,\"Total\":0}","platform":"Semanticscholar","paperid":null,"PeriodicalName":"Translational and Clinical Pharmacology","FirstCategoryId":"1085","ListUrlMain":"https://doi.org/10.12793/tcp.2025.33.e6","RegionNum":0,"RegionCategory":null,"ArticlePicture":[],"TitleCN":null,"AbstractTextCN":null,"PMCID":null,"EPubDate":"2025/6/17 0:00:00","PubModel":"Epub","JCR":"Q4","JCRName":"PHARMACOLOGY & PHARMACY","Score":null,"Total":0}
引用次数: 0

摘要

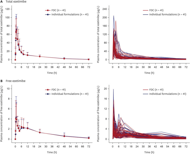
与高剂量瑞舒伐他汀单药治疗相比,低剂量瑞舒伐他汀和依折替米贝联合治疗在降低低密度脂蛋白胆固醇(LDL-C)方面显示出相似的疗效。本研究旨在比较瑞舒伐他汀/依折替米布2.5/ 10mg固定剂量联合给药与单独给药的药代动力学(PKs)。在健康志愿者中进行了一项随机、开放标签、单剂量、2序列、2周期的交叉研究。受试者按每个顺序随机分配,在每个周期接受单剂量瑞舒伐他汀/依折替贝2.5/ 10mg的FDC或单独制剂的联合给药,并有14天的洗脱期。瑞舒伐他汀和依zetimibe分别在给药后48小时和72小时采集连续血液样本进行PK分析。计算最大血浆浓度(Cmax)和从0到最后可测量时间点(AUClast)曲线下面积(FDC)与共给药的几何平均比(GMRs)和90%置信区间(CIs)。47名受试者被随机分配,41名受试者完成了研究。瑞舒伐他汀Cmax和AUClast的gmr (90% ci)分别为0.9789(0.9020 ~ 1.0622)和0.9741(0.9105 ~ 1.0422)。总依zetimibe含量分别为1.0419(0.9219-1.1776)和0.9983(0.9522-1.0465),游离依zetimibe含量分别为1.0396(0.9087-1.1893)和0.9743(0.8997-1.0550)。各项指标均在0.8 ~ 1.25的生物等效性标准范围内。综上所述,瑞舒伐他汀/依折替米比2.5/10 mg的FDC与单独给药的PK相当。试验注册:临床研究信息服务标识:KCT0009254。
本文章由计算机程序翻译,如有差异,请以英文原文为准。

Pharmacokinetic comparison between the fixed-dose combination of rosuvastatin/ezetimibe 2.5/10 mg and the co-administration of individual formulations in healthy subjects.

Pharmacokinetic comparison between the fixed-dose combination of rosuvastatin/ezetimibe 2.5/10 mg and the co-administration of individual formulations in healthy subjects.

Pharmacokinetic comparison between the fixed-dose combination of rosuvastatin/ezetimibe 2.5/10 mg and the co-administration of individual formulations in healthy subjects.

Pharmacokinetic comparison between the fixed-dose combination of rosuvastatin/ezetimibe 2.5/10 mg and the co-administration of individual formulations in healthy subjects.

The combination therapy of low-dose rosuvastatin and ezetimibe has shown similar efficacy in decreasing low-density lipoprotein cholesterol (LDL-C) compared to high-dose rosuvastatin monotherapy. This study aimed to compare the pharmacokinetics (PKs) between the fixed-dose combination (FDC) of rosuvastatin/ezetimibe 2.5/10 mg and the co-administration of individual formulations. A randomized, open-label, single-dose, 2-sequence, 2-period, crossover study was conducted in healthy volunteers. Subjects were randomized in each sequence and received a single dose of the FDC of rosuvastatin/ezetimibe 2.5/10 mg or the co-administration of individual formulations in each period with a 14-day washout. Serial blood samples for PK analysis were collected up to 48 hours post-dose for rosuvastatin and 72 hours post-dose for ezetimibe. The geometric mean ratios (GMRs) and 90% confidence intervals (CIs) of the FDC to the co-administration for maximum plasma concentration (Cmax) and area under the curve from zero to the last measurable time point (AUClast) were calculated. Forty-seven subjects were randomized, and 41 subjects completed the study. The GMRs (90% CIs) of Cmax and AUClast for rosuvastatin were 0.9789 (0.9020-1.0622) and 0.9741 (0.9105-1.0422). The corresponding values were 1.0419 (0.9219-1.1776) and 0.9983 (0.9522-1.0465) for total ezetimibe, and 1.0396 (0.9087-1.1893) and 0.9743 (0.8997-1.0550) for free ezetimibe, respectively. All the values were within the conventional bioequivalence criteria of 0.8 to 1.25. In conclusion, the FDC of rosuvastatin/ezetimibe 2.5/10 mg showed comparable PK with the co-administration of individual formulations.

Trial registration: Clinical Research Information Service Identifier: KCT0009254.

求助全文
通过发布文献求助,成功后即可免费获取论文全文。 去求助
来源期刊
Translational and Clinical Pharmacology
Translational and Clinical Pharmacology Medicine-Pharmacology (medical)
CiteScore
1.60
自引率
11.10%
发文量
17
期刊介绍: Translational and Clinical Pharmacology (Transl Clin Pharmacol, TCP) is the official journal of the Korean Society for Clinical Pharmacology and Therapeutics (KSCPT). TCP is an interdisciplinary journal devoted to the dissemination of knowledge relating to all aspects of translational and clinical pharmacology. The categories for publication include pharmacokinetics (PK) and drug disposition, drug metabolism, pharmacodynamics (PD), clinical trials and design issues, pharmacogenomics and pharmacogenetics, pharmacometrics, pharmacoepidemiology, pharmacovigilence, and human pharmacology. Studies involving animal models, pharmacological characterization, and clinical trials are appropriate for consideration.
×
引用
GB/T 7714-2015
复制
MLA
复制
APA
复制
导出至
BibTeX EndNote RefMan NoteFirst NoteExpress
×
提示
您的信息不完整,为了账户安全,请先补充。
现在去补充
×
提示
您因"违规操作"
具体请查看互助需知
我知道了
×
提示
确定
请完成安全验证×
copy
已复制链接
快去分享给好友吧!
我知道了
右上角分享
点击右上角分享
0
联系我们:info@booksci.cn Book学术提供免费学术资源搜索服务,方便国内外学者检索中英文文献。致力于提供最便捷和优质的服务体验。 Copyright © 2023 布克学术 All rights reserved.
京ICP备2023020795号-1
ghs 京公网安备 11010802042870号
Book学术文献互助
Book学术文献互助群
群 号:604180095
Book学术官方微信