乳腺癌放疗患者的抑郁和焦虑:一项纵向研究。

IF 4.2 2区 医学 Q2 ONCOLOGY
Therapeutic Advances in Medical Oncology Pub Date : 2025-07-08 eCollection Date: 2025-01-01 DOI:10.1177/17588359251345930
Shi-Jia Wang, Xin Feng, Wei Zhang, Guang-Yi Sun, Hui Fang, Hao Jing, Yu Tang, Tao Li, Shu-Nan Qi, Yong-Wen Song, Wen-Wen Zhang, Ning-Ning Lu, Yuan Tang, Yue-Ping Liu, Bo Chen, Xin Liu, Ye-Xiong Li, Yi-Rui Zhai, Shu-Lian Wang
{"title":"乳腺癌放疗患者的抑郁和焦虑:一项纵向研究。","authors":"Shi-Jia Wang, Xin Feng, Wei Zhang, Guang-Yi Sun, Hui Fang, Hao Jing, Yu Tang, Tao Li, Shu-Nan Qi, Yong-Wen Song, Wen-Wen Zhang, Ning-Ning Lu, Yuan Tang, Yue-Ping Liu, Bo Chen, Xin Liu, Ye-Xiong Li, Yi-Rui Zhai, Shu-Lian Wang","doi":"10.1177/17588359251345930","DOIUrl":null,"url":null,"abstract":"<p><strong>Background: </strong>Depression and anxiety are common among patients with breast cancer, but prospective studies of depression and anxiety after radiotherapy (RT) among these patients remain scarce.</p><p><strong>Objective: </strong>To evaluate the prevalence of and changes in depression and anxiety among patients with breast cancer from the first day of RT (T0) to 6 months post-RT, and to identify risk factors associated with depression and anxiety and higher levels of them over time.</p><p><strong>Design: </strong>This observational study used a prospective, longitudinal design.</p><p><strong>Methods: </strong>This study was conducted in China between August 2022 and August 2023. Depression and anxiety were measured, respectively, by Patient Health Questionnaire and the Generalized Anxiety Disorder Scale, from T0 to 6 months post-RT. Univariate and multivariate logistic regressions were performed to explore risk factors for baseline depression and anxiety. Generalized Estimating Equations were performed to evaluate changes in depression and anxiety and risk factors for higher levels of them over time.</p><p><strong>Results: </strong>A total of 504 patients completed baseline questionnaires (response rate: 90.9%). The prevalence of depression and anxiety decreased significantly over time, from 37.3% and 26.0% at T0, to 28.4% and 20.3% at 6 months post-RT, respectively. Having a family history of cancer and receiving anti-HER2-targeted therapy were independently associated with depression at T0, and premenopausal status, poor family income, and self-reported menopausal symptoms were independently associated with both depression and anxiety at T0. Receiving anti-HER2-targeted therapy, having a lower personal income, and living in rural areas were associated with higher depression levels over time, whereas poor family income and self-reported menopausal symptoms were associated with higher anxiety levels over time.</p><p><strong>Conclusion: </strong>Depression and anxiety levels were high among patients with breast cancer receiving RT and decreased over time from pre-RT to 6 months post-RT. Routine screening is necessary, especially for high-risk patients.</p>","PeriodicalId":23053,"journal":{"name":"Therapeutic Advances in Medical Oncology","volume":"17 ","pages":"17588359251345930"},"PeriodicalIF":4.2000,"publicationDate":"2025-07-08","publicationTypes":"Journal Article","fieldsOfStudy":null,"isOpenAccess":false,"openAccessPdf":"https://www.ncbi.nlm.nih.gov/pmc/articles/PMC12246527/pdf/","citationCount":"0","resultStr":"{\"title\":\"Depression and anxiety in patients with breast cancer receiving radiotherapy: a longitudinal study.\",\"authors\":\"Shi-Jia Wang, Xin Feng, Wei Zhang, Guang-Yi Sun, Hui Fang, Hao Jing, Yu Tang, Tao Li, Shu-Nan Qi, Yong-Wen Song, Wen-Wen Zhang, Ning-Ning Lu, Yuan Tang, Yue-Ping Liu, Bo Chen, Xin Liu, Ye-Xiong Li, Yi-Rui Zhai, Shu-Lian Wang\",\"doi\":\"10.1177/17588359251345930\",\"DOIUrl\":null,\"url\":null,\"abstract\":\"<p><strong>Background: </strong>Depression and anxiety are common among patients with breast cancer, but prospective studies of depression and anxiety after radiotherapy (RT) among these patients remain scarce.</p><p><strong>Objective: </strong>To evaluate the prevalence of and changes in depression and anxiety among patients with breast cancer from the first day of RT (T0) to 6 months post-RT, and to identify risk factors associated with depression and anxiety and higher levels of them over time.</p><p><strong>Design: </strong>This observational study used a prospective, longitudinal design.</p><p><strong>Methods: </strong>This study was conducted in China between August 2022 and August 2023. Depression and anxiety were measured, respectively, by Patient Health Questionnaire and the Generalized Anxiety Disorder Scale, from T0 to 6 months post-RT. Univariate and multivariate logistic regressions were performed to explore risk factors for baseline depression and anxiety. Generalized Estimating Equations were performed to evaluate changes in depression and anxiety and risk factors for higher levels of them over time.</p><p><strong>Results: </strong>A total of 504 patients completed baseline questionnaires (response rate: 90.9%). The prevalence of depression and anxiety decreased significantly over time, from 37.3% and 26.0% at T0, to 28.4% and 20.3% at 6 months post-RT, respectively. Having a family history of cancer and receiving anti-HER2-targeted therapy were independently associated with depression at T0, and premenopausal status, poor family income, and self-reported menopausal symptoms were independently associated with both depression and anxiety at T0. Receiving anti-HER2-targeted therapy, having a lower personal income, and living in rural areas were associated with higher depression levels over time, whereas poor family income and self-reported menopausal symptoms were associated with higher anxiety levels over time.</p><p><strong>Conclusion: </strong>Depression and anxiety levels were high among patients with breast cancer receiving RT and decreased over time from pre-RT to 6 months post-RT. Routine screening is necessary, especially for high-risk patients.</p>\",\"PeriodicalId\":23053,\"journal\":{\"name\":\"Therapeutic Advances in Medical Oncology\",\"volume\":\"17 \",\"pages\":\"17588359251345930\"},\"PeriodicalIF\":4.2000,\"publicationDate\":\"2025-07-08\",\"publicationTypes\":\"Journal Article\",\"fieldsOfStudy\":null,\"isOpenAccess\":false,\"openAccessPdf\":\"https://www.ncbi.nlm.nih.gov/pmc/articles/PMC12246527/pdf/\",\"citationCount\":\"0\",\"resultStr\":null,\"platform\":\"Semanticscholar\",\"paperid\":null,\"PeriodicalName\":\"Therapeutic Advances in Medical Oncology\",\"FirstCategoryId\":\"3\",\"ListUrlMain\":\"https://doi.org/10.1177/17588359251345930\",\"RegionNum\":2,\"RegionCategory\":\"医学\",\"ArticlePicture\":[],\"TitleCN\":null,\"AbstractTextCN\":null,\"PMCID\":null,\"EPubDate\":\"2025/1/1 0:00:00\",\"PubModel\":\"eCollection\",\"JCR\":\"Q2\",\"JCRName\":\"ONCOLOGY\",\"Score\":null,\"Total\":0}","platform":"Semanticscholar","paperid":null,"PeriodicalName":"Therapeutic Advances in Medical Oncology","FirstCategoryId":"3","ListUrlMain":"https://doi.org/10.1177/17588359251345930","RegionNum":2,"RegionCategory":"医学","ArticlePicture":[],"TitleCN":null,"AbstractTextCN":null,"PMCID":null,"EPubDate":"2025/1/1 0:00:00","PubModel":"eCollection","JCR":"Q2","JCRName":"ONCOLOGY","Score":null,"Total":0}
引用次数: 0

摘要

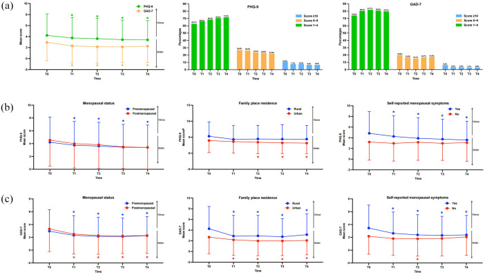
背景:抑郁和焦虑在乳腺癌患者中很常见,但对这些患者放疗后抑郁和焦虑的前瞻性研究仍然很少。目的:评估乳腺癌患者从放疗第一天(T0)到放疗后6个月抑郁和焦虑的患病率及变化,并确定与抑郁和焦虑相关的危险因素及其随时间升高的危险因素。设计:本观察性研究采用前瞻性、纵向设计。方法:本研究于2022年8月至2023年8月在中国进行。治疗后第0 ~ 6个月,分别用患者健康问卷和广泛性焦虑障碍量表测量抑郁和焦虑。采用单因素和多因素logistic回归探讨基线抑郁和焦虑的危险因素。使用广义估计方程来评估抑郁和焦虑的变化及其随时间升高的风险因素。结果:共有504例患者完成了基线问卷调查,有效率为90.9%。随着时间的推移,抑郁和焦虑的患病率显著下降,分别从T0时的37.3%和26.0%降至rt后6个月时的28.4%和20.3%。有癌症家族史和接受抗her2靶向治疗与T0时抑郁独立相关,绝经前状态、家庭收入差和自我报告的更年期症状与T0时抑郁和焦虑独立相关。随着时间的推移,接受抗her2靶向治疗、个人收入较低以及生活在农村地区与较高的抑郁水平相关,而家庭收入较低和自我报告的更年期症状与较高的焦虑水平相关。结论:接受放疗的乳腺癌患者抑郁和焦虑水平较高,并且随着时间的推移从放疗前到放疗后6个月下降。常规筛查是必要的,特别是对高危患者。
本文章由计算机程序翻译,如有差异,请以英文原文为准。

Depression and anxiety in patients with breast cancer receiving radiotherapy: a longitudinal study.

Depression and anxiety in patients with breast cancer receiving radiotherapy: a longitudinal study.

Depression and anxiety in patients with breast cancer receiving radiotherapy: a longitudinal study.

Depression and anxiety in patients with breast cancer receiving radiotherapy: a longitudinal study.

Background: Depression and anxiety are common among patients with breast cancer, but prospective studies of depression and anxiety after radiotherapy (RT) among these patients remain scarce.

Objective: To evaluate the prevalence of and changes in depression and anxiety among patients with breast cancer from the first day of RT (T0) to 6 months post-RT, and to identify risk factors associated with depression and anxiety and higher levels of them over time.

Design: This observational study used a prospective, longitudinal design.

Methods: This study was conducted in China between August 2022 and August 2023. Depression and anxiety were measured, respectively, by Patient Health Questionnaire and the Generalized Anxiety Disorder Scale, from T0 to 6 months post-RT. Univariate and multivariate logistic regressions were performed to explore risk factors for baseline depression and anxiety. Generalized Estimating Equations were performed to evaluate changes in depression and anxiety and risk factors for higher levels of them over time.

Results: A total of 504 patients completed baseline questionnaires (response rate: 90.9%). The prevalence of depression and anxiety decreased significantly over time, from 37.3% and 26.0% at T0, to 28.4% and 20.3% at 6 months post-RT, respectively. Having a family history of cancer and receiving anti-HER2-targeted therapy were independently associated with depression at T0, and premenopausal status, poor family income, and self-reported menopausal symptoms were independently associated with both depression and anxiety at T0. Receiving anti-HER2-targeted therapy, having a lower personal income, and living in rural areas were associated with higher depression levels over time, whereas poor family income and self-reported menopausal symptoms were associated with higher anxiety levels over time.

Conclusion: Depression and anxiety levels were high among patients with breast cancer receiving RT and decreased over time from pre-RT to 6 months post-RT. Routine screening is necessary, especially for high-risk patients.

求助全文
通过发布文献求助,成功后即可免费获取论文全文。 去求助
来源期刊
CiteScore
8.20
自引率
2.00%
发文量
160
审稿时长
15 weeks
期刊介绍: Therapeutic Advances in Medical Oncology is an open access, peer-reviewed journal delivering the highest quality articles, reviews, and scholarly comment on pioneering efforts and innovative studies in the medical treatment of cancer. The journal has a strong clinical and pharmacological focus and is aimed at clinicians and researchers in medical oncology, providing a forum in print and online for publishing the highest quality articles in this area. This journal is a member of the Committee on Publication Ethics (COPE).
×
引用
GB/T 7714-2015
复制
MLA
复制
APA
复制
导出至
BibTeX EndNote RefMan NoteFirst NoteExpress
×
提示
您的信息不完整,为了账户安全,请先补充。
现在去补充
×
提示
您因"违规操作"
具体请查看互助需知
我知道了
×
提示
确定
请完成安全验证×
copy
已复制链接
快去分享给好友吧!
我知道了
右上角分享
点击右上角分享
0
联系我们:info@booksci.cn Book学术提供免费学术资源搜索服务,方便国内外学者检索中英文文献。致力于提供最便捷和优质的服务体验。 Copyright © 2023 布克学术 All rights reserved.
京ICP备2023020795号-1
ghs 京公网安备 11010802042870号
Book学术文献互助
Book学术文献互助群
群 号:604180095
Book学术官方微信