年龄加速有效预测死亡风险:一项回顾性队列研究。

IF 3.2 3区 生物学 Q3 BIOCHEMISTRY & MOLECULAR BIOLOGY
Epigenetics Pub Date : 2025-12-01 Epub Date: 2025-07-14 DOI:10.1080/15592294.2025.2530618
Tieshi Zhu, Yong He, Yixi Wang, Le Zhao
{"title":"年龄加速有效预测死亡风险:一项回顾性队列研究。","authors":"Tieshi Zhu, Yong He, Yixi Wang, Le Zhao","doi":"10.1080/15592294.2025.2530618","DOIUrl":null,"url":null,"abstract":"<p><p>Epigenetic clocks have been widely applied to assess biological ageing, with Age Acceleration (AA) serving as a key metric linked to adverse health outcomes, including mortality. However, the comparative predictive value of AAs derived from different epigenetic clocks for mortality risk has not been systematically evaluated. In this retrospective cohort study based on 1,942 NHANES participants (median age 65 years; 944 women), we examined the associations between AAs from multiple epigenetic clocks and the risks of all-cause, cancer-specific, and cardiac mortality. Restricted cubic spline models were used to assess the shape of these associations, and Cox proportional hazards regression was employed to quantify risk estimates. Model performance was compared using the Akaike Information Criterion (AIC) and concordance index (C-index). Our findings revealed that only GrimAge AA and GrimAge2 AA demonstrated approximately linear and positive associations with all three mortality outcomes. Both were significantly associated with increased risks of death, and these associations were consistent across most subgroups. GrimAge and GrimAge2 AAs showed very similar performance in predicting all-cause, cancer and cardiac mortality, with only small differences in AIC values and C-index scores. These findings suggest that both GrimAge and GrimAge2 are effective epigenetic biomarkers for mortality risk prediction and may be valuable tools in future ageing-related research.</p>","PeriodicalId":11767,"journal":{"name":"Epigenetics","volume":"20 1","pages":"2530618"},"PeriodicalIF":3.2000,"publicationDate":"2025-12-01","publicationTypes":"Journal Article","fieldsOfStudy":null,"isOpenAccess":false,"openAccessPdf":"https://www.ncbi.nlm.nih.gov/pmc/articles/PMC12269703/pdf/","citationCount":"0","resultStr":"{\"title\":\"GrimAge and GrimAge2 Age Acceleration effectively predict mortality risk: a retrospective cohort study.\",\"authors\":\"Tieshi Zhu, Yong He, Yixi Wang, Le Zhao\",\"doi\":\"10.1080/15592294.2025.2530618\",\"DOIUrl\":null,\"url\":null,\"abstract\":\"<p><p>Epigenetic clocks have been widely applied to assess biological ageing, with Age Acceleration (AA) serving as a key metric linked to adverse health outcomes, including mortality. However, the comparative predictive value of AAs derived from different epigenetic clocks for mortality risk has not been systematically evaluated. In this retrospective cohort study based on 1,942 NHANES participants (median age 65 years; 944 women), we examined the associations between AAs from multiple epigenetic clocks and the risks of all-cause, cancer-specific, and cardiac mortality. Restricted cubic spline models were used to assess the shape of these associations, and Cox proportional hazards regression was employed to quantify risk estimates. Model performance was compared using the Akaike Information Criterion (AIC) and concordance index (C-index). Our findings revealed that only GrimAge AA and GrimAge2 AA demonstrated approximately linear and positive associations with all three mortality outcomes. Both were significantly associated with increased risks of death, and these associations were consistent across most subgroups. GrimAge and GrimAge2 AAs showed very similar performance in predicting all-cause, cancer and cardiac mortality, with only small differences in AIC values and C-index scores. These findings suggest that both GrimAge and GrimAge2 are effective epigenetic biomarkers for mortality risk prediction and may be valuable tools in future ageing-related research.</p>\",\"PeriodicalId\":11767,\"journal\":{\"name\":\"Epigenetics\",\"volume\":\"20 1\",\"pages\":\"2530618\"},\"PeriodicalIF\":3.2000,\"publicationDate\":\"2025-12-01\",\"publicationTypes\":\"Journal Article\",\"fieldsOfStudy\":null,\"isOpenAccess\":false,\"openAccessPdf\":\"https://www.ncbi.nlm.nih.gov/pmc/articles/PMC12269703/pdf/\",\"citationCount\":\"0\",\"resultStr\":null,\"platform\":\"Semanticscholar\",\"paperid\":null,\"PeriodicalName\":\"Epigenetics\",\"FirstCategoryId\":\"99\",\"ListUrlMain\":\"https://doi.org/10.1080/15592294.2025.2530618\",\"RegionNum\":3,\"RegionCategory\":\"生物学\",\"ArticlePicture\":[],\"TitleCN\":null,\"AbstractTextCN\":null,\"PMCID\":null,\"EPubDate\":\"2025/7/14 0:00:00\",\"PubModel\":\"Epub\",\"JCR\":\"Q3\",\"JCRName\":\"BIOCHEMISTRY & MOLECULAR BIOLOGY\",\"Score\":null,\"Total\":0}","platform":"Semanticscholar","paperid":null,"PeriodicalName":"Epigenetics","FirstCategoryId":"99","ListUrlMain":"https://doi.org/10.1080/15592294.2025.2530618","RegionNum":3,"RegionCategory":"生物学","ArticlePicture":[],"TitleCN":null,"AbstractTextCN":null,"PMCID":null,"EPubDate":"2025/7/14 0:00:00","PubModel":"Epub","JCR":"Q3","JCRName":"BIOCHEMISTRY & MOLECULAR BIOLOGY","Score":null,"Total":0}
引用次数: 0

摘要

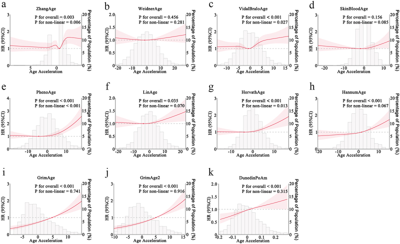
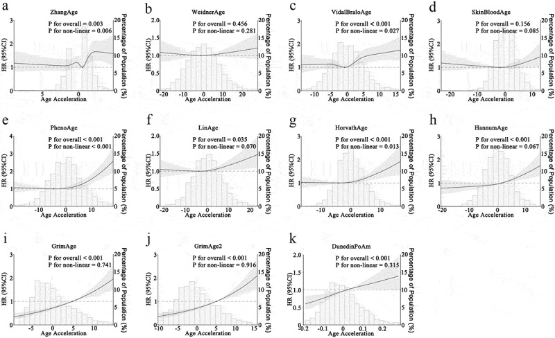
表观遗传时钟已被广泛应用于评估生物衰老,年龄加速(AA)是与不良健康结果(包括死亡率)相关的关键指标。然而,来自不同表观遗传时钟的AAs对死亡风险的比较预测价值尚未得到系统的评估。在这项基于1942名NHANES参与者(中位年龄65岁;944名女性),我们研究了来自多个表观遗传时钟的AAs与全因、癌症特异性和心脏死亡风险之间的关系。使用限制三次样条模型来评估这些关联的形状,并使用Cox比例风险回归来量化风险估计。采用赤池信息准则(Akaike Information Criterion, AIC)和一致性指数(consistency index, C-index)对模型性能进行比较。我们的研究结果显示,只有GrimAge AA和GrimAge2 AA与所有三种死亡率结果表现出近似线性和正相关。两者都与死亡风险增加显著相关,并且这些关联在大多数亚组中是一致的。GrimAge和GrimAge2 aa在预测全因死亡率、癌症死亡率和心脏死亡率方面表现非常相似,AIC值和c指数评分只有很小的差异。这些发现表明GrimAge和grimag2都是预测死亡风险的有效表观遗传生物标志物,可能是未来衰老相关研究的有价值的工具。
本文章由计算机程序翻译,如有差异,请以英文原文为准。

GrimAge and GrimAge2 Age Acceleration effectively predict mortality risk: a retrospective cohort study.

GrimAge and GrimAge2 Age Acceleration effectively predict mortality risk: a retrospective cohort study.

GrimAge and GrimAge2 Age Acceleration effectively predict mortality risk: a retrospective cohort study.

GrimAge and GrimAge2 Age Acceleration effectively predict mortality risk: a retrospective cohort study.

Epigenetic clocks have been widely applied to assess biological ageing, with Age Acceleration (AA) serving as a key metric linked to adverse health outcomes, including mortality. However, the comparative predictive value of AAs derived from different epigenetic clocks for mortality risk has not been systematically evaluated. In this retrospective cohort study based on 1,942 NHANES participants (median age 65 years; 944 women), we examined the associations between AAs from multiple epigenetic clocks and the risks of all-cause, cancer-specific, and cardiac mortality. Restricted cubic spline models were used to assess the shape of these associations, and Cox proportional hazards regression was employed to quantify risk estimates. Model performance was compared using the Akaike Information Criterion (AIC) and concordance index (C-index). Our findings revealed that only GrimAge AA and GrimAge2 AA demonstrated approximately linear and positive associations with all three mortality outcomes. Both were significantly associated with increased risks of death, and these associations were consistent across most subgroups. GrimAge and GrimAge2 AAs showed very similar performance in predicting all-cause, cancer and cardiac mortality, with only small differences in AIC values and C-index scores. These findings suggest that both GrimAge and GrimAge2 are effective epigenetic biomarkers for mortality risk prediction and may be valuable tools in future ageing-related research.

求助全文
通过发布文献求助,成功后即可免费获取论文全文。 去求助
来源期刊
Epigenetics
Epigenetics 生物-生化与分子生物学
CiteScore
6.80
自引率
2.70%
发文量
82
审稿时长
3-8 weeks
期刊介绍: Epigenetics publishes peer-reviewed original research and review articles that provide an unprecedented forum where epigenetic mechanisms and their role in diverse biological processes can be revealed, shared, and discussed. Epigenetics research studies heritable changes in gene expression caused by mechanisms others than the modification of the DNA sequence. Epigenetics therefore plays critical roles in a variety of biological systems, diseases, and disciplines. Topics of interest include (but are not limited to): DNA methylation Nucleosome positioning and modification Gene silencing Imprinting Nuclear reprogramming Chromatin remodeling Non-coding RNA Non-histone chromosomal elements Dosage compensation Nuclear organization Epigenetic therapy and diagnostics Nutrition and environmental epigenetics Cancer epigenetics Neuroepigenetics
×
引用
GB/T 7714-2015
复制
MLA
复制
APA
复制
导出至
BibTeX EndNote RefMan NoteFirst NoteExpress
×
提示
您的信息不完整,为了账户安全,请先补充。
现在去补充
×
提示
您因"违规操作"
具体请查看互助需知
我知道了
×
提示
确定
请完成安全验证×
copy
已复制链接
快去分享给好友吧!
我知道了
右上角分享
点击右上角分享
0
联系我们:info@booksci.cn Book学术提供免费学术资源搜索服务,方便国内外学者检索中英文文献。致力于提供最便捷和优质的服务体验。 Copyright © 2023 布克学术 All rights reserved.
京ICP备2023020795号-1
ghs 京公网安备 11010802042870号
Book学术文献互助
Book学术文献互助群
群 号:604180095
Book学术官方微信