地塞米松、右美托咪定和地塞米松-右美托咪定联合辅助布比卡因治疗锁骨阻滞:一项随机对照研究。

IF 1.3 Q2 ANESTHESIOLOGY
Anesthesiology Research and Practice Pub Date : 2025-06-27 eCollection Date: 2025-01-01 DOI:10.1155/anrp/5683873
Keerthana Kalaimani, Anisha Pauline Paul, Aruna Parameswari, Mahesh Vakamudi, Varun Karuppiah Thiagarajan, Kishore Manivannan
{"title":"地塞米松、右美托咪定和地塞米松-右美托咪定联合辅助布比卡因治疗锁骨阻滞:一项随机对照研究。","authors":"Keerthana Kalaimani, Anisha Pauline Paul, Aruna Parameswari, Mahesh Vakamudi, Varun Karuppiah Thiagarajan, Kishore Manivannan","doi":"10.1155/anrp/5683873","DOIUrl":null,"url":null,"abstract":"<p><p><b>Background:</b> The costoclavicular block is an upcoming approach in blocking the brachial plexus for upper limb surgeries. The addition of dexamethasone and dexmedetomidine to the local anesthetic mixture can prolong the duration of analgesia of brachial plexus block. We compared the addition of three different adjuvants-dexamethasone, dexmedetomidine, and dexamethasone-dexmedetomidine combination with bupivacaine in costoclavicular block. <b>Methods:</b> We randomized 105 patients undergoing elective hand and forearm surgery under ultrasound guided costoclavicular block. Along with the local anesthetics, Group D patients received 4 mg dexamethasone, Group X patients received 1 µg/kg dexmedetomidine, and Group D-X patients received 4 mg dexamethasone and 1 µg/kg dexmedetomidine. The primary outcome analyzed was the analgesic duration. The secondary outcomes studied were the duration of sensory and motor block, time to onset of sensory and motor block, sedation scores, and adverse effects. <b>Results:</b> The duration of analgesia was significantly prolonged in Group D-X when compared to that in Group X and Group D [(19 h; IQR, 18.5-19.0 h) versus (16 h; IQR, 15.5-16.5 h) versus (13 h, IQR, 12-14 h) <i>p</i> value < 0.001]. The duration of sensory block was significantly prolonged in Group D-X compared to that in Group X and Group D [(15 h, IQR, 15-16 h) versus (13 h, IQR, 12-14 h) versus (10 h, IQR, 10-11 h) <i>p</i> value < 0.001]. Similarly, the duration of motor block was prolonged in Group D-X compared to that in Group X and Group D [(16 h; IQR: 16-17.5 h) versus (14 h; IQR; 13-15 h) versus (11 h; IQR: 11-12 h) with significant <i>p</i> value < 0.001. Also, the time to onset of sensory and motor block was earlier in Group D-X. The sedation scores were not significant, and no adverse events were observed. <b>Conclusion:</b> Addition of dexamethasone and dexmedetomidine together to a local anesthetic in ultrasound guided costoclavicular block resulted in faster onset with longer analgesic and sensorimotor block duration. <b>Trial Registration:</b> Clinical Trials Registry-India: CTRI/2024/01/061072.</p>","PeriodicalId":7834,"journal":{"name":"Anesthesiology Research and Practice","volume":"2025 ","pages":"5683873"},"PeriodicalIF":1.3000,"publicationDate":"2025-06-27","publicationTypes":"Journal Article","fieldsOfStudy":null,"isOpenAccess":false,"openAccessPdf":"https://www.ncbi.nlm.nih.gov/pmc/articles/PMC12255490/pdf/","citationCount":"0","resultStr":"{\"title\":\"Dexamethasone, Dexmedetomidine, and Combination of Dexamethasone-Dexmedetomidine as Adjuvants to Bupivacaine for Costoclavicular Block: A Randomized Controlled Study.\",\"authors\":\"Keerthana Kalaimani, Anisha Pauline Paul, Aruna Parameswari, Mahesh Vakamudi, Varun Karuppiah Thiagarajan, Kishore Manivannan\",\"doi\":\"10.1155/anrp/5683873\",\"DOIUrl\":null,\"url\":null,\"abstract\":\"<p><p><b>Background:</b> The costoclavicular block is an upcoming approach in blocking the brachial plexus for upper limb surgeries. The addition of dexamethasone and dexmedetomidine to the local anesthetic mixture can prolong the duration of analgesia of brachial plexus block. We compared the addition of three different adjuvants-dexamethasone, dexmedetomidine, and dexamethasone-dexmedetomidine combination with bupivacaine in costoclavicular block. <b>Methods:</b> We randomized 105 patients undergoing elective hand and forearm surgery under ultrasound guided costoclavicular block. Along with the local anesthetics, Group D patients received 4 mg dexamethasone, Group X patients received 1 µg/kg dexmedetomidine, and Group D-X patients received 4 mg dexamethasone and 1 µg/kg dexmedetomidine. The primary outcome analyzed was the analgesic duration. The secondary outcomes studied were the duration of sensory and motor block, time to onset of sensory and motor block, sedation scores, and adverse effects. <b>Results:</b> The duration of analgesia was significantly prolonged in Group D-X when compared to that in Group X and Group D [(19 h; IQR, 18.5-19.0 h) versus (16 h; IQR, 15.5-16.5 h) versus (13 h, IQR, 12-14 h) <i>p</i> value < 0.001]. The duration of sensory block was significantly prolonged in Group D-X compared to that in Group X and Group D [(15 h, IQR, 15-16 h) versus (13 h, IQR, 12-14 h) versus (10 h, IQR, 10-11 h) <i>p</i> value < 0.001]. Similarly, the duration of motor block was prolonged in Group D-X compared to that in Group X and Group D [(16 h; IQR: 16-17.5 h) versus (14 h; IQR; 13-15 h) versus (11 h; IQR: 11-12 h) with significant <i>p</i> value < 0.001. Also, the time to onset of sensory and motor block was earlier in Group D-X. The sedation scores were not significant, and no adverse events were observed. <b>Conclusion:</b> Addition of dexamethasone and dexmedetomidine together to a local anesthetic in ultrasound guided costoclavicular block resulted in faster onset with longer analgesic and sensorimotor block duration. <b>Trial Registration:</b> Clinical Trials Registry-India: CTRI/2024/01/061072.</p>\",\"PeriodicalId\":7834,\"journal\":{\"name\":\"Anesthesiology Research and Practice\",\"volume\":\"2025 \",\"pages\":\"5683873\"},\"PeriodicalIF\":1.3000,\"publicationDate\":\"2025-06-27\",\"publicationTypes\":\"Journal Article\",\"fieldsOfStudy\":null,\"isOpenAccess\":false,\"openAccessPdf\":\"https://www.ncbi.nlm.nih.gov/pmc/articles/PMC12255490/pdf/\",\"citationCount\":\"0\",\"resultStr\":null,\"platform\":\"Semanticscholar\",\"paperid\":null,\"PeriodicalName\":\"Anesthesiology Research and Practice\",\"FirstCategoryId\":\"1085\",\"ListUrlMain\":\"https://doi.org/10.1155/anrp/5683873\",\"RegionNum\":0,\"RegionCategory\":null,\"ArticlePicture\":[],\"TitleCN\":null,\"AbstractTextCN\":null,\"PMCID\":null,\"EPubDate\":\"2025/1/1 0:00:00\",\"PubModel\":\"eCollection\",\"JCR\":\"Q2\",\"JCRName\":\"ANESTHESIOLOGY\",\"Score\":null,\"Total\":0}","platform":"Semanticscholar","paperid":null,"PeriodicalName":"Anesthesiology Research and Practice","FirstCategoryId":"1085","ListUrlMain":"https://doi.org/10.1155/anrp/5683873","RegionNum":0,"RegionCategory":null,"ArticlePicture":[],"TitleCN":null,"AbstractTextCN":null,"PMCID":null,"EPubDate":"2025/1/1 0:00:00","PubModel":"eCollection","JCR":"Q2","JCRName":"ANESTHESIOLOGY","Score":null,"Total":0}
引用次数: 0

摘要

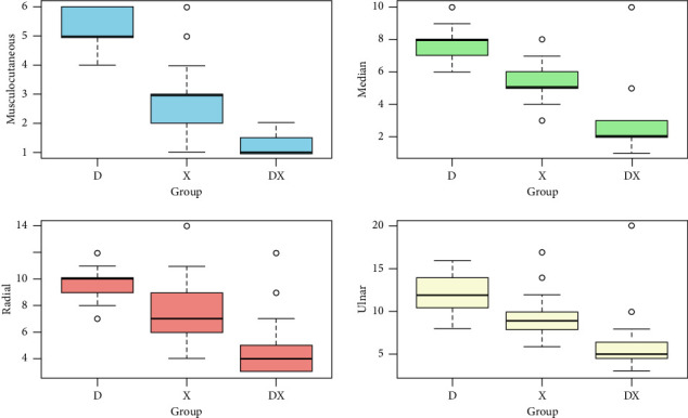
背景:肋锁骨阻滞是上肢手术中臂丛阻滞的一种新方法。局麻混合物中加入地塞米松、右美托咪定可延长臂丛神经阻滞的镇痛时间。我们比较了三种不同佐剂——地塞米松、右美托咪定和地塞米松-右美托咪定联合布比卡因在锁骨阻滞中的应用。方法:随机选取105例在超声引导下行选择性手、前臂手术的患者。在局麻的同时,D组给予地塞米松4 mg, X组给予右美托咪定1µg/kg, D-X组给予地塞米松4 mg和右美托咪定1µg/kg。分析的主要结局是镇痛持续时间。研究的次要结果是感觉和运动阻滞的持续时间,感觉和运动阻滞的发生时间,镇静评分和不良反应。结果:与X组、D组比较,D-X组镇痛时间明显延长[(19 h;IQR, 18.5-19.0 h) vs (16 h;IQR, 15.5-16.5 h) vs (13 h, IQR, 12-14 h) p值< 0.001]。与X组和D组相比,D-X组感觉阻滞持续时间显著延长[(15 h, IQR, 15-16 h) vs (13 h, IQR, 12-14 h) vs (10 h, IQR, 10-11 h) p值< 0.001]。同样,D-X组运动阻滞持续时间较X组和D组延长[(16 h;IQR: 16-17.5 h) vs (14 h;位差;13-15 h对比11 h;IQR: 11-12 h), p值< 0.001。D-X组出现感觉和运动阻滞的时间也更早。镇静评分无显著差异,未观察到不良事件。结论:超声引导肋锁骨阻滞时,局部麻药加用地塞米松和右美托咪定,起效快,镇痛和感觉运动阻滞持续时间长。试验注册:印度临床试验注册中心:CTRI/ 20124/01/061072。
本文章由计算机程序翻译,如有差异,请以英文原文为准。

Dexamethasone, Dexmedetomidine, and Combination of Dexamethasone-Dexmedetomidine as Adjuvants to Bupivacaine for Costoclavicular Block: A Randomized Controlled Study.

Dexamethasone, Dexmedetomidine, and Combination of Dexamethasone-Dexmedetomidine as Adjuvants to Bupivacaine for Costoclavicular Block: A Randomized Controlled Study.

Dexamethasone, Dexmedetomidine, and Combination of Dexamethasone-Dexmedetomidine as Adjuvants to Bupivacaine for Costoclavicular Block: A Randomized Controlled Study.

Dexamethasone, Dexmedetomidine, and Combination of Dexamethasone-Dexmedetomidine as Adjuvants to Bupivacaine for Costoclavicular Block: A Randomized Controlled Study.

Background: The costoclavicular block is an upcoming approach in blocking the brachial plexus for upper limb surgeries. The addition of dexamethasone and dexmedetomidine to the local anesthetic mixture can prolong the duration of analgesia of brachial plexus block. We compared the addition of three different adjuvants-dexamethasone, dexmedetomidine, and dexamethasone-dexmedetomidine combination with bupivacaine in costoclavicular block. Methods: We randomized 105 patients undergoing elective hand and forearm surgery under ultrasound guided costoclavicular block. Along with the local anesthetics, Group D patients received 4 mg dexamethasone, Group X patients received 1 µg/kg dexmedetomidine, and Group D-X patients received 4 mg dexamethasone and 1 µg/kg dexmedetomidine. The primary outcome analyzed was the analgesic duration. The secondary outcomes studied were the duration of sensory and motor block, time to onset of sensory and motor block, sedation scores, and adverse effects. Results: The duration of analgesia was significantly prolonged in Group D-X when compared to that in Group X and Group D [(19 h; IQR, 18.5-19.0 h) versus (16 h; IQR, 15.5-16.5 h) versus (13 h, IQR, 12-14 h) p value < 0.001]. The duration of sensory block was significantly prolonged in Group D-X compared to that in Group X and Group D [(15 h, IQR, 15-16 h) versus (13 h, IQR, 12-14 h) versus (10 h, IQR, 10-11 h) p value < 0.001]. Similarly, the duration of motor block was prolonged in Group D-X compared to that in Group X and Group D [(16 h; IQR: 16-17.5 h) versus (14 h; IQR; 13-15 h) versus (11 h; IQR: 11-12 h) with significant p value < 0.001. Also, the time to onset of sensory and motor block was earlier in Group D-X. The sedation scores were not significant, and no adverse events were observed. Conclusion: Addition of dexamethasone and dexmedetomidine together to a local anesthetic in ultrasound guided costoclavicular block resulted in faster onset with longer analgesic and sensorimotor block duration. Trial Registration: Clinical Trials Registry-India: CTRI/2024/01/061072.

求助全文
通过发布文献求助,成功后即可免费获取论文全文。 去求助
来源期刊
CiteScore
3.10
自引率
0.00%
发文量
29
审稿时长
18 weeks
×
引用
GB/T 7714-2015
复制
MLA
复制
APA
复制
导出至
BibTeX EndNote RefMan NoteFirst NoteExpress
×
提示
您的信息不完整,为了账户安全,请先补充。
现在去补充
×
提示
您因"违规操作"
具体请查看互助需知
我知道了
×
提示
确定
请完成安全验证×
copy
已复制链接
快去分享给好友吧!
我知道了
右上角分享
点击右上角分享
0
联系我们:info@booksci.cn Book学术提供免费学术资源搜索服务,方便国内外学者检索中英文文献。致力于提供最便捷和优质的服务体验。 Copyright © 2023 布克学术 All rights reserved.
京ICP备2023020795号-1
ghs 京公网安备 11010802042870号
Book学术文献互助
Book学术文献互助群
群 号:604180095
Book学术官方微信