自然启发的元启发式优化剂量发现和计算挑战性临床试验设计。

IF 2.2 3区 医学 Q3 MEDICINE, RESEARCH & EXPERIMENTAL
Clinical Trials Pub Date : 2025-08-01 Epub Date: 2025-07-12 DOI:10.1177/17407745251346396
Weng Kee Wong, Yevgen Ryeznik, Oleksandr Sverdlov, Ping-Yang Chen, Xinying Fang, Ray-Bing Chen, Shouhao Zhou, J Jack Lee
{"title":"自然启发的元启发式优化剂量发现和计算挑战性临床试验设计。","authors":"Weng Kee Wong, Yevgen Ryeznik, Oleksandr Sverdlov, Ping-Yang Chen, Xinying Fang, Ray-Bing Chen, Shouhao Zhou, J Jack Lee","doi":"10.1177/17407745251346396","DOIUrl":null,"url":null,"abstract":"<p><p>Metaheuristics are commonly used in computer science and engineering to solve optimization problems, but their potential applications in clinical trial design have remained largely unexplored. This article provides a brief overview of metaheuristics and reviews their limited use in clinical trial settings. We focus on nature-inspired metaheuristics and apply one of its exemplary algorithms, the particle swarm optimization (PSO) algorithm, to find phase I/II designs that jointly consider toxicity and efficacy. As a specific application, we demonstrate the utility of PSO in designing optimal dose-finding studies to estimate the optimal biological dose (OBD) for a continuation-ratio model with four parameters under multiple constraints. Our design improves existing designs by protecting patients from receiving doses higher than the unknown maximum tolerated dose and ensuring that the OBD is estimated with high accuracy. In addition, we show the effectiveness of metaheuristics in addressing more computationally challenging design problems by extending Simon's phase II designs to more than two stages and finding more flexible Bayesian optimal phase II designs with enhanced power.</p>","PeriodicalId":10685,"journal":{"name":"Clinical Trials","volume":" ","pages":"422-429"},"PeriodicalIF":2.2000,"publicationDate":"2025-08-01","publicationTypes":"Journal Article","fieldsOfStudy":null,"isOpenAccess":false,"openAccessPdf":"https://www.ncbi.nlm.nih.gov/pmc/articles/PMC12318163/pdf/","citationCount":"0","resultStr":"{\"title\":\"Nature-inspired metaheuristics for optimizing dose-finding and computationally challenging clinical trial designs.\",\"authors\":\"Weng Kee Wong, Yevgen Ryeznik, Oleksandr Sverdlov, Ping-Yang Chen, Xinying Fang, Ray-Bing Chen, Shouhao Zhou, J Jack Lee\",\"doi\":\"10.1177/17407745251346396\",\"DOIUrl\":null,\"url\":null,\"abstract\":\"<p><p>Metaheuristics are commonly used in computer science and engineering to solve optimization problems, but their potential applications in clinical trial design have remained largely unexplored. This article provides a brief overview of metaheuristics and reviews their limited use in clinical trial settings. We focus on nature-inspired metaheuristics and apply one of its exemplary algorithms, the particle swarm optimization (PSO) algorithm, to find phase I/II designs that jointly consider toxicity and efficacy. As a specific application, we demonstrate the utility of PSO in designing optimal dose-finding studies to estimate the optimal biological dose (OBD) for a continuation-ratio model with four parameters under multiple constraints. Our design improves existing designs by protecting patients from receiving doses higher than the unknown maximum tolerated dose and ensuring that the OBD is estimated with high accuracy. In addition, we show the effectiveness of metaheuristics in addressing more computationally challenging design problems by extending Simon's phase II designs to more than two stages and finding more flexible Bayesian optimal phase II designs with enhanced power.</p>\",\"PeriodicalId\":10685,\"journal\":{\"name\":\"Clinical Trials\",\"volume\":\" \",\"pages\":\"422-429\"},\"PeriodicalIF\":2.2000,\"publicationDate\":\"2025-08-01\",\"publicationTypes\":\"Journal Article\",\"fieldsOfStudy\":null,\"isOpenAccess\":false,\"openAccessPdf\":\"https://www.ncbi.nlm.nih.gov/pmc/articles/PMC12318163/pdf/\",\"citationCount\":\"0\",\"resultStr\":null,\"platform\":\"Semanticscholar\",\"paperid\":null,\"PeriodicalName\":\"Clinical Trials\",\"FirstCategoryId\":\"3\",\"ListUrlMain\":\"https://doi.org/10.1177/17407745251346396\",\"RegionNum\":3,\"RegionCategory\":\"医学\",\"ArticlePicture\":[],\"TitleCN\":null,\"AbstractTextCN\":null,\"PMCID\":null,\"EPubDate\":\"2025/7/12 0:00:00\",\"PubModel\":\"Epub\",\"JCR\":\"Q3\",\"JCRName\":\"MEDICINE, RESEARCH & EXPERIMENTAL\",\"Score\":null,\"Total\":0}","platform":"Semanticscholar","paperid":null,"PeriodicalName":"Clinical Trials","FirstCategoryId":"3","ListUrlMain":"https://doi.org/10.1177/17407745251346396","RegionNum":3,"RegionCategory":"医学","ArticlePicture":[],"TitleCN":null,"AbstractTextCN":null,"PMCID":null,"EPubDate":"2025/7/12 0:00:00","PubModel":"Epub","JCR":"Q3","JCRName":"MEDICINE, RESEARCH & EXPERIMENTAL","Score":null,"Total":0}
引用次数: 0

摘要

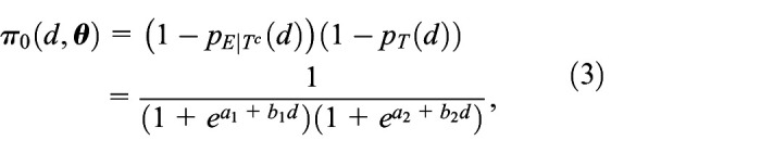
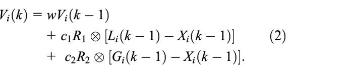
元启发式通常用于计算机科学和工程中解决优化问题,但其在临床试验设计中的潜在应用在很大程度上仍未被探索。本文简要概述了元启发式,并回顾了它们在临床试验中的有限应用。我们专注于自然启发的元启发式算法,并应用其示例算法之一,粒子群优化(PSO)算法,以寻找联合考虑毒性和功效的I/II期设计。作为一个具体的应用,我们展示了PSO在设计最佳剂量发现研究中的效用,以估计在多个约束条件下具有四个参数的连续比模型的最佳生物剂量(OBD)。我们的设计改进了现有的设计,保护患者不接受高于未知最大耐受剂量的剂量,并确保OBD的估计具有很高的准确性。此外,通过将Simon的第二阶段设计扩展到两个以上阶段,并找到更灵活的贝叶斯优化第二阶段设计,我们展示了元启发式在解决更具计算挑战性的设计问题方面的有效性。
本文章由计算机程序翻译,如有差异,请以英文原文为准。

Nature-inspired metaheuristics for optimizing dose-finding and computationally challenging clinical trial designs.

Nature-inspired metaheuristics for optimizing dose-finding and computationally challenging clinical trial designs.

Nature-inspired metaheuristics for optimizing dose-finding and computationally challenging clinical trial designs.

Nature-inspired metaheuristics for optimizing dose-finding and computationally challenging clinical trial designs.

Metaheuristics are commonly used in computer science and engineering to solve optimization problems, but their potential applications in clinical trial design have remained largely unexplored. This article provides a brief overview of metaheuristics and reviews their limited use in clinical trial settings. We focus on nature-inspired metaheuristics and apply one of its exemplary algorithms, the particle swarm optimization (PSO) algorithm, to find phase I/II designs that jointly consider toxicity and efficacy. As a specific application, we demonstrate the utility of PSO in designing optimal dose-finding studies to estimate the optimal biological dose (OBD) for a continuation-ratio model with four parameters under multiple constraints. Our design improves existing designs by protecting patients from receiving doses higher than the unknown maximum tolerated dose and ensuring that the OBD is estimated with high accuracy. In addition, we show the effectiveness of metaheuristics in addressing more computationally challenging design problems by extending Simon's phase II designs to more than two stages and finding more flexible Bayesian optimal phase II designs with enhanced power.

求助全文
通过发布文献求助,成功后即可免费获取论文全文。 去求助
来源期刊
Clinical Trials
Clinical Trials 医学-医学:研究与实验
CiteScore
4.10
自引率
3.70%
发文量
82
审稿时长
6-12 weeks
期刊介绍: Clinical Trials is dedicated to advancing knowledge on the design and conduct of clinical trials related research methodologies. Covering the design, conduct, analysis, synthesis and evaluation of key methodologies, the journal remains on the cusp of the latest topics, including ethics, regulation and policy impact.
×
引用
GB/T 7714-2015
复制
MLA
复制
APA
复制
导出至
BibTeX EndNote RefMan NoteFirst NoteExpress
×
提示
您的信息不完整,为了账户安全,请先补充。
现在去补充
×
提示
您因"违规操作"
具体请查看互助需知
我知道了
×
提示
确定
请完成安全验证×
copy
已复制链接
快去分享给好友吧!
我知道了
右上角分享
点击右上角分享
0
联系我们:info@booksci.cn Book学术提供免费学术资源搜索服务,方便国内外学者检索中英文文献。致力于提供最便捷和优质的服务体验。 Copyright © 2023 布克学术 All rights reserved.
京ICP备2023020795号-1
ghs 京公网安备 11010802042870号
Book学术文献互助
Book学术文献互助群
群 号:604180095
Book学术官方微信