肝病、转氨酶和肝胆胰癌风险:一项使用英国生物银行数据的队列和孟德尔随机研究

IF 2.9 Q2 GASTROENTEROLOGY & HEPATOLOGY
Yuan Yuan, Yong Jiang, Chonghui Hu, Daixin Wu, Huimou Chen, Qing Tian, Rihua He, Tingting Li, Tianhao Huang, Honghui Jiang, Wentao Zhong, Yuan Chen, Jiale Jiang, Shangyou Zheng, Rufu Chen
{"title":"肝病、转氨酶和肝胆胰癌风险:一项使用英国生物银行数据的队列和孟德尔随机研究","authors":"Yuan Yuan, Yong Jiang, Chonghui Hu, Daixin Wu, Huimou Chen, Qing Tian, Rihua He, Tingting Li, Tianhao Huang, Honghui Jiang, Wentao Zhong, Yuan Chen, Jiale Jiang, Shangyou Zheng, Rufu Chen","doi":"10.1136/bmjgast-2025-001870","DOIUrl":null,"url":null,"abstract":"<p><strong>Objective: </strong>Liver diseases are established risk factors for hepatobiliary and pancreatic cancers. This study explores the relationship between liver disease and hepatobiliary-pancreatic cancers, focusing on transaminase levels and genetic susceptibility.</p><p><strong>Methods: </strong>We conducted a large cohort study using data from 449 815 participants in the UK Biobank. Logistic regression models assessed cancer risks in liver disease versus control groups. The association between transaminase levels, polygenic risk scores (PRS), and hepatocellular carcinoma (HCC), intrahepatic cholangiocarcinoma (ICC), biliary tract cancer, and pancreatic cancer was examined. Two-sample Mendelian randomisation (MR) investigated the causal relationships between liver diseases and the four cancers.</p><p><strong>Results: </strong>Liver disease and elevated transaminase levels were significantly associated with increased cancer risks (p<0.001). Higher alanine transaminase and aspartate transaminase PRS were linked to increased HCC risk (HR=1.69, 95% CI 1.38 to 2.08; HR=1.79, 95% CI 1.46 to 2.19). MR analysis revealed a causal link between alcohol-associated liver disease (ALD) and both HCC (OR=1.379, 95% CI 1.109 to 1.714) and ICC (OR=1.429, 95% CI 1.130 to 1.807), while metabolic dysfunction-associated steatotic liver disease showed no significant associations.</p><p><strong>Conclusion: </strong>Patients with liver diseases have a significantly higher risk of hepatobiliary and pancreatic cancers, and individuals with elevated transaminase levels also exhibit a genetic predisposition to HCC. ALD demonstrates significant causal relationships with HCC and ICC.</p>","PeriodicalId":9235,"journal":{"name":"BMJ Open Gastroenterology","volume":"12 1","pages":""},"PeriodicalIF":2.9000,"publicationDate":"2025-07-11","publicationTypes":"Journal Article","fieldsOfStudy":null,"isOpenAccess":false,"openAccessPdf":"https://www.ncbi.nlm.nih.gov/pmc/articles/PMC12248208/pdf/","citationCount":"0","resultStr":"{\"title\":\"Liver diseases, transaminases, and hepatobiliary-pancreatic cancer risk: a cohort and Mendelian randomisation study using data from UK Biobank.\",\"authors\":\"Yuan Yuan, Yong Jiang, Chonghui Hu, Daixin Wu, Huimou Chen, Qing Tian, Rihua He, Tingting Li, Tianhao Huang, Honghui Jiang, Wentao Zhong, Yuan Chen, Jiale Jiang, Shangyou Zheng, Rufu Chen\",\"doi\":\"10.1136/bmjgast-2025-001870\",\"DOIUrl\":null,\"url\":null,\"abstract\":\"<p><strong>Objective: </strong>Liver diseases are established risk factors for hepatobiliary and pancreatic cancers. This study explores the relationship between liver disease and hepatobiliary-pancreatic cancers, focusing on transaminase levels and genetic susceptibility.</p><p><strong>Methods: </strong>We conducted a large cohort study using data from 449 815 participants in the UK Biobank. Logistic regression models assessed cancer risks in liver disease versus control groups. The association between transaminase levels, polygenic risk scores (PRS), and hepatocellular carcinoma (HCC), intrahepatic cholangiocarcinoma (ICC), biliary tract cancer, and pancreatic cancer was examined. Two-sample Mendelian randomisation (MR) investigated the causal relationships between liver diseases and the four cancers.</p><p><strong>Results: </strong>Liver disease and elevated transaminase levels were significantly associated with increased cancer risks (p<0.001). Higher alanine transaminase and aspartate transaminase PRS were linked to increased HCC risk (HR=1.69, 95% CI 1.38 to 2.08; HR=1.79, 95% CI 1.46 to 2.19). MR analysis revealed a causal link between alcohol-associated liver disease (ALD) and both HCC (OR=1.379, 95% CI 1.109 to 1.714) and ICC (OR=1.429, 95% CI 1.130 to 1.807), while metabolic dysfunction-associated steatotic liver disease showed no significant associations.</p><p><strong>Conclusion: </strong>Patients with liver diseases have a significantly higher risk of hepatobiliary and pancreatic cancers, and individuals with elevated transaminase levels also exhibit a genetic predisposition to HCC. ALD demonstrates significant causal relationships with HCC and ICC.</p>\",\"PeriodicalId\":9235,\"journal\":{\"name\":\"BMJ Open Gastroenterology\",\"volume\":\"12 1\",\"pages\":\"\"},\"PeriodicalIF\":2.9000,\"publicationDate\":\"2025-07-11\",\"publicationTypes\":\"Journal Article\",\"fieldsOfStudy\":null,\"isOpenAccess\":false,\"openAccessPdf\":\"https://www.ncbi.nlm.nih.gov/pmc/articles/PMC12248208/pdf/\",\"citationCount\":\"0\",\"resultStr\":null,\"platform\":\"Semanticscholar\",\"paperid\":null,\"PeriodicalName\":\"BMJ Open Gastroenterology\",\"FirstCategoryId\":\"1085\",\"ListUrlMain\":\"https://doi.org/10.1136/bmjgast-2025-001870\",\"RegionNum\":0,\"RegionCategory\":null,\"ArticlePicture\":[],\"TitleCN\":null,\"AbstractTextCN\":null,\"PMCID\":null,\"EPubDate\":\"\",\"PubModel\":\"\",\"JCR\":\"Q2\",\"JCRName\":\"GASTROENTEROLOGY & HEPATOLOGY\",\"Score\":null,\"Total\":0}","platform":"Semanticscholar","paperid":null,"PeriodicalName":"BMJ Open Gastroenterology","FirstCategoryId":"1085","ListUrlMain":"https://doi.org/10.1136/bmjgast-2025-001870","RegionNum":0,"RegionCategory":null,"ArticlePicture":[],"TitleCN":null,"AbstractTextCN":null,"PMCID":null,"EPubDate":"","PubModel":"","JCR":"Q2","JCRName":"GASTROENTEROLOGY & HEPATOLOGY","Score":null,"Total":0}
引用次数: 0

摘要

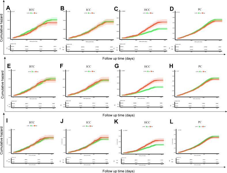
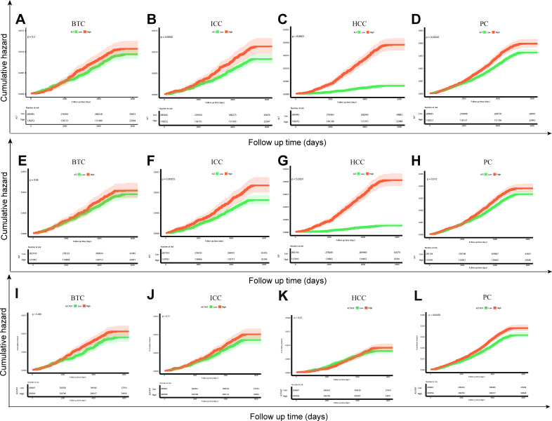
目的:肝脏疾病是公认的肝胆癌和胰腺癌的危险因素。本研究探讨肝脏疾病与肝胆胰癌之间的关系,重点关注转氨酶水平和遗传易感性。方法:我们使用来自英国生物银行449815名参与者的数据进行了一项大型队列研究。Logistic回归模型评估了肝病患者与对照组的癌症风险。研究了转氨酶水平、多基因风险评分(PRS)与肝细胞癌(HCC)、肝内胆管癌(ICC)、胆道癌和胰腺癌之间的关系。双样本孟德尔随机化(MR)研究了肝脏疾病和四种癌症之间的因果关系。结果:肝脏疾病和转氨酶水平升高与癌症风险增加显著相关(结论:肝脏疾病患者发生肝胆癌和胰腺癌的风险显著增加,转氨酶水平升高的个体也表现出HCC的遗传易感性。ALD与HCC和ICC有显著的因果关系。
本文章由计算机程序翻译,如有差异,请以英文原文为准。

Liver diseases, transaminases, and hepatobiliary-pancreatic cancer risk: a cohort and Mendelian randomisation study using data from UK Biobank.

Liver diseases, transaminases, and hepatobiliary-pancreatic cancer risk: a cohort and Mendelian randomisation study using data from UK Biobank.

Liver diseases, transaminases, and hepatobiliary-pancreatic cancer risk: a cohort and Mendelian randomisation study using data from UK Biobank.

Liver diseases, transaminases, and hepatobiliary-pancreatic cancer risk: a cohort and Mendelian randomisation study using data from UK Biobank.

Objective: Liver diseases are established risk factors for hepatobiliary and pancreatic cancers. This study explores the relationship between liver disease and hepatobiliary-pancreatic cancers, focusing on transaminase levels and genetic susceptibility.

Methods: We conducted a large cohort study using data from 449 815 participants in the UK Biobank. Logistic regression models assessed cancer risks in liver disease versus control groups. The association between transaminase levels, polygenic risk scores (PRS), and hepatocellular carcinoma (HCC), intrahepatic cholangiocarcinoma (ICC), biliary tract cancer, and pancreatic cancer was examined. Two-sample Mendelian randomisation (MR) investigated the causal relationships between liver diseases and the four cancers.

Results: Liver disease and elevated transaminase levels were significantly associated with increased cancer risks (p<0.001). Higher alanine transaminase and aspartate transaminase PRS were linked to increased HCC risk (HR=1.69, 95% CI 1.38 to 2.08; HR=1.79, 95% CI 1.46 to 2.19). MR analysis revealed a causal link between alcohol-associated liver disease (ALD) and both HCC (OR=1.379, 95% CI 1.109 to 1.714) and ICC (OR=1.429, 95% CI 1.130 to 1.807), while metabolic dysfunction-associated steatotic liver disease showed no significant associations.

Conclusion: Patients with liver diseases have a significantly higher risk of hepatobiliary and pancreatic cancers, and individuals with elevated transaminase levels also exhibit a genetic predisposition to HCC. ALD demonstrates significant causal relationships with HCC and ICC.

求助全文
通过发布文献求助,成功后即可免费获取论文全文。 去求助
来源期刊
BMJ Open Gastroenterology
BMJ Open Gastroenterology GASTROENTEROLOGY & HEPATOLOGY-
CiteScore
5.90
自引率
3.20%
发文量
68
审稿时长
2 weeks
期刊介绍: BMJ Open Gastroenterology is an online-only, peer-reviewed, open access gastroenterology journal, dedicated to publishing high-quality medical research from all disciplines and therapeutic areas of gastroenterology. It is the open access companion journal of Gut and is co-owned by the British Society of Gastroenterology. The journal publishes all research study types, from study protocols to phase I trials to meta-analyses, including small or specialist studies. Publishing procedures are built around continuous publication, publishing research online as soon as the article is ready.
×
引用
GB/T 7714-2015
复制
MLA
复制
APA
复制
导出至
BibTeX EndNote RefMan NoteFirst NoteExpress
×
提示
您的信息不完整,为了账户安全,请先补充。
现在去补充
×
提示
您因"违规操作"
具体请查看互助需知
我知道了
×
提示
确定
请完成安全验证×
copy
已复制链接
快去分享给好友吧!
我知道了
右上角分享
点击右上角分享
0
联系我们:info@booksci.cn Book学术提供免费学术资源搜索服务,方便国内外学者检索中英文文献。致力于提供最便捷和优质的服务体验。 Copyright © 2023 布克学术 All rights reserved.
京ICP备2023020795号-1
ghs 京公网安备 11010802042870号
Book学术文献互助
Book学术文献互助群
群 号:604180095
Book学术官方微信