脑血管病与记忆中心痴呆伴路易体和阿尔茨海默病的关系。

IF 7.6 1区 医学 Q1 CLINICAL NEUROLOGY
Giulia Bommarito, Alessandra Griffa, Patrik Michel, Caroline Hall, Chiabotti Paolo Salvioni, Silvia Pistocchi, Yasser Alemán-Gómez, Daniel Damian, Mario Jreige, John O Prior, Vincent Dunet, Olivier Rouaud, Patric Hagmann, Gilles Allali
{"title":"脑血管病与记忆中心痴呆伴路易体和阿尔茨海默病的关系。","authors":"Giulia Bommarito, Alessandra Griffa, Patrik Michel, Caroline Hall, Chiabotti Paolo Salvioni, Silvia Pistocchi, Yasser Alemán-Gómez, Daniel Damian, Mario Jreige, John O Prior, Vincent Dunet, Olivier Rouaud, Patric Hagmann, Gilles Allali","doi":"10.1186/s13195-025-01805-8","DOIUrl":null,"url":null,"abstract":"<p><strong>Introduction: </strong>Cerebral small vessel disease (CSVD) is a common co-pathology in patients with dementia with Lewy bodies (DLB) and Alzheimer's disease (AD). A comprehensive characterization of CSVD load in DLB and AD patients referred to a memory center is lacking.</p><p><strong>Methods: </strong>In this retrospective study, we collected data from patients with a clinical DLB diagnosis or clinico-biological AD diagnosis, evaluated at our memory center. They were assessed for CSVD MRI features, including enlarged perivascular spaces (PVS), presence of cerebral amyloid angiopathy (CAA) and hypertensive arteriopathy (HTNA). Differences in CSVD features between AD and DLB and across clinical stages were investigated. Regression models were used to evaluate the association between (i) cerebrovascular risk factors (CVRF) and HTNA, and (ii) CSVD features and cognition as expressed by Montreal Cognitive Assessment (MoCA).</p><p><strong>Results: </strong>We included 71 DLB (76.8 ± 7.4 years old, 25 females) and 71 age- and sex-matched AD patients (and 75.2 ± 5.3 years old, 27 females). Probable CAA, according to current Boston 2.0 criteria, was observed in 22.5% of DLB and 35.2% of AD patients, while any (probable + possible) CAA rate was higher in the two groups (71.8% and 91.5%, respectively). A moderate/severe HTNA was present in 45% of DLB and 28.2% of AD patients. When comparing the two groups, DLB presented with higher HTNA score (p =.012), while AD patients had higher prevalence of any CAA (p =.002). Patients with DLB had a greater PVS burden in the basal ganglia (p =.011) and centrum semiovale (p =.004) and higher number of deep microbleeds (p =.004). Certain HTNA-related features were more pronounced at dementia stage, with respect to mild cognitive impairment. No association was observed between CVRF and HTNA. Regarding the association between CSVD and cognition, only deep microbleeds count was related to MoCA in DLB patients.</p><p><strong>Discussion: </strong>DLB or AD patients present with high CSVD burden and differ in terms of features and subtype. Patients with DLB present with increased HTNA, PVS load and deep microbleeds, while patients with AD present with a higher any CAA prevalence. CSVD might impact global cognition.</p>","PeriodicalId":7516,"journal":{"name":"Alzheimer's Research & Therapy","volume":"17 1","pages":"154"},"PeriodicalIF":7.6000,"publicationDate":"2025-07-12","publicationTypes":"Journal Article","fieldsOfStudy":null,"isOpenAccess":false,"openAccessPdf":"https://www.ncbi.nlm.nih.gov/pmc/articles/PMC12254957/pdf/","citationCount":"0","resultStr":"{\"title\":\"Cerebral small vessel disease in memory center patients with dementia with lewy bodies and Alzheimer's disease.\",\"authors\":\"Giulia Bommarito, Alessandra Griffa, Patrik Michel, Caroline Hall, Chiabotti Paolo Salvioni, Silvia Pistocchi, Yasser Alemán-Gómez, Daniel Damian, Mario Jreige, John O Prior, Vincent Dunet, Olivier Rouaud, Patric Hagmann, Gilles Allali\",\"doi\":\"10.1186/s13195-025-01805-8\",\"DOIUrl\":null,\"url\":null,\"abstract\":\"<p><strong>Introduction: </strong>Cerebral small vessel disease (CSVD) is a common co-pathology in patients with dementia with Lewy bodies (DLB) and Alzheimer's disease (AD). A comprehensive characterization of CSVD load in DLB and AD patients referred to a memory center is lacking.</p><p><strong>Methods: </strong>In this retrospective study, we collected data from patients with a clinical DLB diagnosis or clinico-biological AD diagnosis, evaluated at our memory center. They were assessed for CSVD MRI features, including enlarged perivascular spaces (PVS), presence of cerebral amyloid angiopathy (CAA) and hypertensive arteriopathy (HTNA). Differences in CSVD features between AD and DLB and across clinical stages were investigated. Regression models were used to evaluate the association between (i) cerebrovascular risk factors (CVRF) and HTNA, and (ii) CSVD features and cognition as expressed by Montreal Cognitive Assessment (MoCA).</p><p><strong>Results: </strong>We included 71 DLB (76.8 ± 7.4 years old, 25 females) and 71 age- and sex-matched AD patients (and 75.2 ± 5.3 years old, 27 females). Probable CAA, according to current Boston 2.0 criteria, was observed in 22.5% of DLB and 35.2% of AD patients, while any (probable + possible) CAA rate was higher in the two groups (71.8% and 91.5%, respectively). A moderate/severe HTNA was present in 45% of DLB and 28.2% of AD patients. When comparing the two groups, DLB presented with higher HTNA score (p =.012), while AD patients had higher prevalence of any CAA (p =.002). Patients with DLB had a greater PVS burden in the basal ganglia (p =.011) and centrum semiovale (p =.004) and higher number of deep microbleeds (p =.004). Certain HTNA-related features were more pronounced at dementia stage, with respect to mild cognitive impairment. No association was observed between CVRF and HTNA. Regarding the association between CSVD and cognition, only deep microbleeds count was related to MoCA in DLB patients.</p><p><strong>Discussion: </strong>DLB or AD patients present with high CSVD burden and differ in terms of features and subtype. Patients with DLB present with increased HTNA, PVS load and deep microbleeds, while patients with AD present with a higher any CAA prevalence. CSVD might impact global cognition.</p>\",\"PeriodicalId\":7516,\"journal\":{\"name\":\"Alzheimer's Research & Therapy\",\"volume\":\"17 1\",\"pages\":\"154\"},\"PeriodicalIF\":7.6000,\"publicationDate\":\"2025-07-12\",\"publicationTypes\":\"Journal Article\",\"fieldsOfStudy\":null,\"isOpenAccess\":false,\"openAccessPdf\":\"https://www.ncbi.nlm.nih.gov/pmc/articles/PMC12254957/pdf/\",\"citationCount\":\"0\",\"resultStr\":null,\"platform\":\"Semanticscholar\",\"paperid\":null,\"PeriodicalName\":\"Alzheimer's Research & Therapy\",\"FirstCategoryId\":\"3\",\"ListUrlMain\":\"https://doi.org/10.1186/s13195-025-01805-8\",\"RegionNum\":1,\"RegionCategory\":\"医学\",\"ArticlePicture\":[],\"TitleCN\":null,\"AbstractTextCN\":null,\"PMCID\":null,\"EPubDate\":\"\",\"PubModel\":\"\",\"JCR\":\"Q1\",\"JCRName\":\"CLINICAL NEUROLOGY\",\"Score\":null,\"Total\":0}","platform":"Semanticscholar","paperid":null,"PeriodicalName":"Alzheimer's Research & Therapy","FirstCategoryId":"3","ListUrlMain":"https://doi.org/10.1186/s13195-025-01805-8","RegionNum":1,"RegionCategory":"医学","ArticlePicture":[],"TitleCN":null,"AbstractTextCN":null,"PMCID":null,"EPubDate":"","PubModel":"","JCR":"Q1","JCRName":"CLINICAL NEUROLOGY","Score":null,"Total":0}
引用次数: 0

摘要

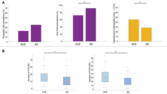
简介:脑血管病(CSVD)是痴呆合并路易体(DLB)和阿尔茨海默病(AD)患者常见的共同病理。目前还缺乏关于DLB和AD患者的记忆中心的CSVD负荷的全面描述。方法:在这项回顾性研究中,我们收集了临床诊断为DLB或临床生物学诊断为AD的患者的数据,并在我们的记忆中心进行了评估。评估他们的CSVD MRI特征,包括血管周围间隙扩大(PVS),脑淀粉样血管病(CAA)和高血压动脉病(HTNA)的存在。研究了AD和DLB之间以及不同临床阶段CSVD特征的差异。采用回归模型评估(i)脑血管危险因素(CVRF)与HTNA的关系,(ii)蒙特利尔认知评估(MoCA)表达的CSVD特征与认知的关系。结果:我们纳入了71例DLB(76.8±7.4岁,25例女性)和71例年龄和性别匹配的AD患者(75.2±5.3岁,27例女性)。根据目前的Boston 2.0标准,在22.5%的DLB和35.2%的AD患者中观察到可能的CAA,而两组中任何(可能+可能)CAA的发生率更高(分别为71.8%和91.5%)。45%的DLB和28.2%的AD患者存在中度/重度HTNA。两组比较,DLB患者HTNA评分较高(p = 0.012), AD患者任何CAA的患病率较高(p = 0.002)。DLB患者基底节区(p = 0.011)和半瓣膜区(p = 0.004)的PVS负担较大,深部微出血较多(p = 0.004)。相对于轻度认知障碍,某些htna相关特征在痴呆期更为明显。CVRF与HTNA无相关性。关于CSVD与认知的关系,DLB患者中只有深微出血计数与MoCA相关。讨论:DLB或AD患者具有较高的CSVD负担,在特征和亚型上有所不同。DLB患者表现为HTNA、PVS负荷和深部微出血增加,而AD患者表现为较高的任何CAA患病率。CSVD可能会影响全球认知。
本文章由计算机程序翻译,如有差异,请以英文原文为准。

Cerebral small vessel disease in memory center patients with dementia with lewy bodies and Alzheimer's disease.

Cerebral small vessel disease in memory center patients with dementia with lewy bodies and Alzheimer's disease.

Introduction: Cerebral small vessel disease (CSVD) is a common co-pathology in patients with dementia with Lewy bodies (DLB) and Alzheimer's disease (AD). A comprehensive characterization of CSVD load in DLB and AD patients referred to a memory center is lacking.

Methods: In this retrospective study, we collected data from patients with a clinical DLB diagnosis or clinico-biological AD diagnosis, evaluated at our memory center. They were assessed for CSVD MRI features, including enlarged perivascular spaces (PVS), presence of cerebral amyloid angiopathy (CAA) and hypertensive arteriopathy (HTNA). Differences in CSVD features between AD and DLB and across clinical stages were investigated. Regression models were used to evaluate the association between (i) cerebrovascular risk factors (CVRF) and HTNA, and (ii) CSVD features and cognition as expressed by Montreal Cognitive Assessment (MoCA).

Results: We included 71 DLB (76.8 ± 7.4 years old, 25 females) and 71 age- and sex-matched AD patients (and 75.2 ± 5.3 years old, 27 females). Probable CAA, according to current Boston 2.0 criteria, was observed in 22.5% of DLB and 35.2% of AD patients, while any (probable + possible) CAA rate was higher in the two groups (71.8% and 91.5%, respectively). A moderate/severe HTNA was present in 45% of DLB and 28.2% of AD patients. When comparing the two groups, DLB presented with higher HTNA score (p =.012), while AD patients had higher prevalence of any CAA (p =.002). Patients with DLB had a greater PVS burden in the basal ganglia (p =.011) and centrum semiovale (p =.004) and higher number of deep microbleeds (p =.004). Certain HTNA-related features were more pronounced at dementia stage, with respect to mild cognitive impairment. No association was observed between CVRF and HTNA. Regarding the association between CSVD and cognition, only deep microbleeds count was related to MoCA in DLB patients.

Discussion: DLB or AD patients present with high CSVD burden and differ in terms of features and subtype. Patients with DLB present with increased HTNA, PVS load and deep microbleeds, while patients with AD present with a higher any CAA prevalence. CSVD might impact global cognition.

求助全文
通过发布文献求助,成功后即可免费获取论文全文。 去求助
来源期刊
Alzheimer's Research & Therapy
Alzheimer's Research & Therapy 医学-神经病学
CiteScore
13.10
自引率
3.30%
发文量
172
审稿时长
>12 weeks
期刊介绍: Alzheimer's Research & Therapy is an international peer-reviewed journal that focuses on translational research into Alzheimer's disease and other neurodegenerative diseases. It publishes open-access basic research, clinical trials, drug discovery and development studies, and epidemiologic studies. The journal also includes reviews, viewpoints, commentaries, debates, and reports. All articles published in Alzheimer's Research & Therapy are included in several reputable databases such as CAS, Current contents, DOAJ, Embase, Journal Citation Reports/Science Edition, MEDLINE, PubMed, PubMed Central, Science Citation Index Expanded (Web of Science) and Scopus.
×
引用
GB/T 7714-2015
复制
MLA
复制
APA
复制
导出至
BibTeX EndNote RefMan NoteFirst NoteExpress
×
提示
您的信息不完整,为了账户安全,请先补充。
现在去补充
×
提示
您因"违规操作"
具体请查看互助需知
我知道了
×
提示
确定
请完成安全验证×
copy
已复制链接
快去分享给好友吧!
我知道了
右上角分享
点击右上角分享
0
联系我们:info@booksci.cn Book学术提供免费学术资源搜索服务,方便国内外学者检索中英文文献。致力于提供最便捷和优质的服务体验。 Copyright © 2023 布克学术 All rights reserved.
京ICP备2023020795号-1
ghs 京公网安备 11010802042870号
Book学术文献互助
Book学术文献互助群
群 号:604180095
Book学术官方微信