不同热塑性矫正剂材料的体外细胞毒性评价。

IF 1.8 Q3 DENTISTRY, ORAL SURGERY & MEDICINE
Ružica Bandić, Ivna Vuković Kekez, Vedrana Čikeš Čulić, Ivan Galić, Gordana Paić Karega, Danijela Kalibović Govorko
{"title":"不同热塑性矫正剂材料的体外细胞毒性评价。","authors":"Ružica Bandić, Ivna Vuković Kekez, Vedrana Čikeš Čulić, Ivan Galić, Gordana Paić Karega, Danijela Kalibović Govorko","doi":"10.15644/asc59/2/2","DOIUrl":null,"url":null,"abstract":"<p><strong>Objectives: </strong>This study evaluated the cytotoxicity of different thermoplastic materials and the impact of thermoforming on their cytotoxicity.</p><p><strong>Materials and methods: </strong>Four 3D thermoplastic materials were tested before and after thermoforming: Zendura A (Bay Materials), Zendura FLX (Bay Materials), Erkoloc-pro (Erkodent), and CA Pro + (Scheu Dental). The samples were stored in artificial saliva and incubated at 37 °C for 14 days to simulate conditions in the oral cavity during one stage of clear aligner treatment. Then, the saliva was diluted with a complete culture medium at three concentrations: c1=10%, c2=20% and c3=30%. Cytotoxic activities of the materials were evaluated after incubation for 4h, 24h, 48h, and 72h by using the CCK-8 assay on human oral fibroblast cells (Innoprot, REF: P10868).</p><p><strong>Results: </strong>The mean measured values of metabolically active cells below 70% of the control were for c3 of non-thermoformed Zendura A and Erkoloc-pro, and thermoformed Zendura A, after 72-hour incubation. The analysis showed differences between non-thermoformed: Zendura A and Erkoloc-pro and Zendura FLX and CA Pro +, thermoformed: Zendura A and CA Pro +, and Zendura FLX and CA Pro + at certain conditions. Differences between concentrations (c2 vs. c3 and c1 vs. c3) in the non-thermoformed group were found. There were no statistically significant differences in cytotoxicity between non-thermoformed and thermoformed groups.</p><p><strong>Conclusions: </strong>Cytotoxicity was observed in non-thermoformed and thermoformed materials, with significant differences between concentrations of the same material. However, the thermoforming process did not impact the cytotoxicity of clear aligner materials.</p>","PeriodicalId":7154,"journal":{"name":"Acta Stomatologica Croatica","volume":"59 2","pages":"124-132"},"PeriodicalIF":1.8000,"publicationDate":"2025-06-01","publicationTypes":"Journal Article","fieldsOfStudy":null,"isOpenAccess":false,"openAccessPdf":"https://www.ncbi.nlm.nih.gov/pmc/articles/PMC12239645/pdf/","citationCount":"0","resultStr":"{\"title\":\"<i>In Vitro</i> Cytotoxicity Assessment of Different Thermoplastic Aligner Materials.\",\"authors\":\"Ružica Bandić, Ivna Vuković Kekez, Vedrana Čikeš Čulić, Ivan Galić, Gordana Paić Karega, Danijela Kalibović Govorko\",\"doi\":\"10.15644/asc59/2/2\",\"DOIUrl\":null,\"url\":null,\"abstract\":\"<p><strong>Objectives: </strong>This study evaluated the cytotoxicity of different thermoplastic materials and the impact of thermoforming on their cytotoxicity.</p><p><strong>Materials and methods: </strong>Four 3D thermoplastic materials were tested before and after thermoforming: Zendura A (Bay Materials), Zendura FLX (Bay Materials), Erkoloc-pro (Erkodent), and CA Pro + (Scheu Dental). The samples were stored in artificial saliva and incubated at 37 °C for 14 days to simulate conditions in the oral cavity during one stage of clear aligner treatment. Then, the saliva was diluted with a complete culture medium at three concentrations: c1=10%, c2=20% and c3=30%. Cytotoxic activities of the materials were evaluated after incubation for 4h, 24h, 48h, and 72h by using the CCK-8 assay on human oral fibroblast cells (Innoprot, REF: P10868).</p><p><strong>Results: </strong>The mean measured values of metabolically active cells below 70% of the control were for c3 of non-thermoformed Zendura A and Erkoloc-pro, and thermoformed Zendura A, after 72-hour incubation. The analysis showed differences between non-thermoformed: Zendura A and Erkoloc-pro and Zendura FLX and CA Pro +, thermoformed: Zendura A and CA Pro +, and Zendura FLX and CA Pro + at certain conditions. Differences between concentrations (c2 vs. c3 and c1 vs. c3) in the non-thermoformed group were found. There were no statistically significant differences in cytotoxicity between non-thermoformed and thermoformed groups.</p><p><strong>Conclusions: </strong>Cytotoxicity was observed in non-thermoformed and thermoformed materials, with significant differences between concentrations of the same material. However, the thermoforming process did not impact the cytotoxicity of clear aligner materials.</p>\",\"PeriodicalId\":7154,\"journal\":{\"name\":\"Acta Stomatologica Croatica\",\"volume\":\"59 2\",\"pages\":\"124-132\"},\"PeriodicalIF\":1.8000,\"publicationDate\":\"2025-06-01\",\"publicationTypes\":\"Journal Article\",\"fieldsOfStudy\":null,\"isOpenAccess\":false,\"openAccessPdf\":\"https://www.ncbi.nlm.nih.gov/pmc/articles/PMC12239645/pdf/\",\"citationCount\":\"0\",\"resultStr\":null,\"platform\":\"Semanticscholar\",\"paperid\":null,\"PeriodicalName\":\"Acta Stomatologica Croatica\",\"FirstCategoryId\":\"1085\",\"ListUrlMain\":\"https://doi.org/10.15644/asc59/2/2\",\"RegionNum\":0,\"RegionCategory\":null,\"ArticlePicture\":[],\"TitleCN\":null,\"AbstractTextCN\":null,\"PMCID\":null,\"EPubDate\":\"\",\"PubModel\":\"\",\"JCR\":\"Q3\",\"JCRName\":\"DENTISTRY, ORAL SURGERY & MEDICINE\",\"Score\":null,\"Total\":0}","platform":"Semanticscholar","paperid":null,"PeriodicalName":"Acta Stomatologica Croatica","FirstCategoryId":"1085","ListUrlMain":"https://doi.org/10.15644/asc59/2/2","RegionNum":0,"RegionCategory":null,"ArticlePicture":[],"TitleCN":null,"AbstractTextCN":null,"PMCID":null,"EPubDate":"","PubModel":"","JCR":"Q3","JCRName":"DENTISTRY, ORAL SURGERY & MEDICINE","Score":null,"Total":0}
引用次数: 0

摘要

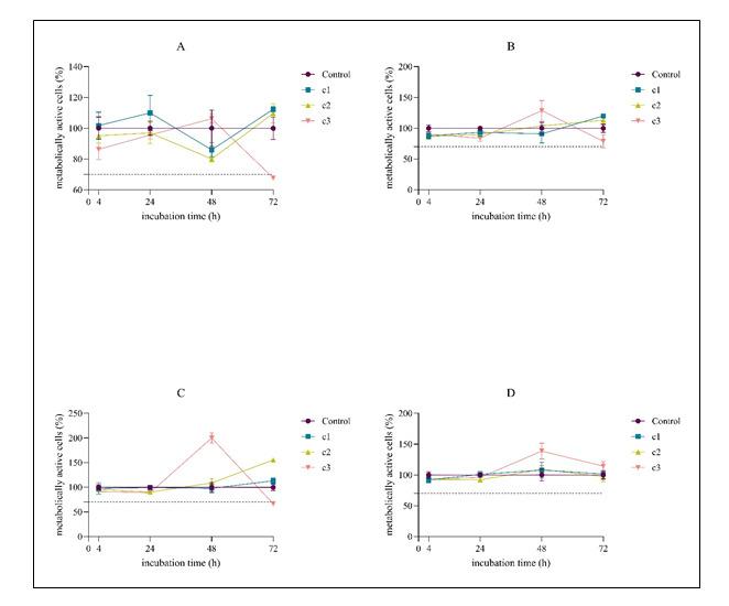
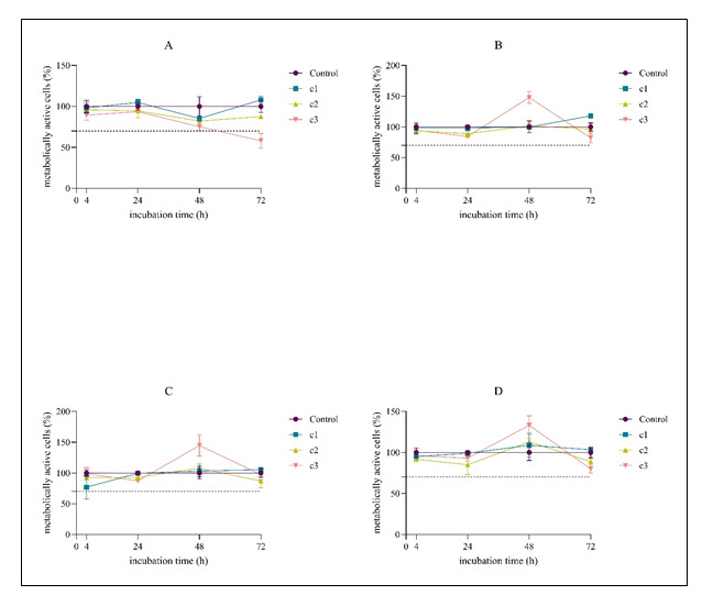
目的:研究不同热塑性材料的细胞毒性及热成型对其细胞毒性的影响。材料和方法:在热成型前后测试了四种3D热塑性材料:Zendura A (Bay Materials)、Zendura FLX (Bay Materials)、Erkoloc-pro (Erkodent)和CA Pro + (Scheu Dental)。将样品保存在人工唾液中,并在37°C下孵育14天,以模拟口腔中一阶段清除对准剂处理的情况。然后用c1=10%, c2=20%和c3=30%三种浓度的完整培养基稀释唾液。采用CCK-8法对人口腔成纤维细胞(Innoprot, REF: P10868)孵育4h、24h、48h和72h后的细胞毒活性进行评价。结果:非热成型Zendura A和Erkoloc-pro的c3和热成型Zendura A孵育72小时后,代谢活性细胞的平均值低于对照的70%。分析表明,在一定条件下,非热成型Zendura A与Erkoloc-pro、Zendura FLX与CA Pro +、热成型Zendura A与CA Pro +、Zendura FLX与CA Pro +存在差异。在非热成型组中发现了浓度(c2 vs. c3和c1 vs. c3)的差异。非热成型组和热成型组的细胞毒性差异无统计学意义。结论:在非热成型材料和热成型材料中观察到细胞毒性,同一材料的浓度存在显著差异。然而,热成型过程没有影响透明对准材料的细胞毒性。
本文章由计算机程序翻译,如有差异,请以英文原文为准。

<i>In Vitro</i> Cytotoxicity Assessment of Different Thermoplastic Aligner Materials.

<i>In Vitro</i> Cytotoxicity Assessment of Different Thermoplastic Aligner Materials.

In Vitro Cytotoxicity Assessment of Different Thermoplastic Aligner Materials.

Objectives: This study evaluated the cytotoxicity of different thermoplastic materials and the impact of thermoforming on their cytotoxicity.

Materials and methods: Four 3D thermoplastic materials were tested before and after thermoforming: Zendura A (Bay Materials), Zendura FLX (Bay Materials), Erkoloc-pro (Erkodent), and CA Pro + (Scheu Dental). The samples were stored in artificial saliva and incubated at 37 °C for 14 days to simulate conditions in the oral cavity during one stage of clear aligner treatment. Then, the saliva was diluted with a complete culture medium at three concentrations: c1=10%, c2=20% and c3=30%. Cytotoxic activities of the materials were evaluated after incubation for 4h, 24h, 48h, and 72h by using the CCK-8 assay on human oral fibroblast cells (Innoprot, REF: P10868).

Results: The mean measured values of metabolically active cells below 70% of the control were for c3 of non-thermoformed Zendura A and Erkoloc-pro, and thermoformed Zendura A, after 72-hour incubation. The analysis showed differences between non-thermoformed: Zendura A and Erkoloc-pro and Zendura FLX and CA Pro +, thermoformed: Zendura A and CA Pro +, and Zendura FLX and CA Pro + at certain conditions. Differences between concentrations (c2 vs. c3 and c1 vs. c3) in the non-thermoformed group were found. There were no statistically significant differences in cytotoxicity between non-thermoformed and thermoformed groups.

Conclusions: Cytotoxicity was observed in non-thermoformed and thermoformed materials, with significant differences between concentrations of the same material. However, the thermoforming process did not impact the cytotoxicity of clear aligner materials.

求助全文
通过发布文献求助,成功后即可免费获取论文全文。 去求助
来源期刊
Acta Stomatologica Croatica
Acta Stomatologica Croatica DENTISTRY, ORAL SURGERY & MEDICINE-
CiteScore
2.40
自引率
28.60%
发文量
32
审稿时长
12 weeks
期刊介绍: The Acta Stomatologica Croatica (ASCRO) is a leading scientific non-profit journal in the field of dental, oral and cranio-facial sciences during the past 44 years in Croatia. ASCRO publishes original scientific and clinical papers, preliminary communications, case reports, book reviews, letters to the editor and news. Review articles are published by invitation from the Editor-in-Chief by acclaimed professionals in distinct fields of dental medicine. All manuscripts are subjected to peer review process.
×
引用
GB/T 7714-2015
复制
MLA
复制
APA
复制
导出至
BibTeX EndNote RefMan NoteFirst NoteExpress
×
提示
您的信息不完整,为了账户安全,请先补充。
现在去补充
×
提示
您因"违规操作"
具体请查看互助需知
我知道了
×
提示
确定
请完成安全验证×
copy
已复制链接
快去分享给好友吧!
我知道了
右上角分享
点击右上角分享
0
联系我们:info@booksci.cn Book学术提供免费学术资源搜索服务,方便国内外学者检索中英文文献。致力于提供最便捷和优质的服务体验。 Copyright © 2023 布克学术 All rights reserved.
京ICP备2023020795号-1
ghs 京公网安备 11010802042870号
Book学术文献互助
Book学术文献互助群
群 号:604180095
Book学术官方微信