使用自然语言处理描述2022年期间堕胎在线社区的使用:Reddit帖子的动态主题建模分析。

IF 2.3 Q1 HEALTH CARE SCIENCES & SERVICES
JMIR infodemiology Pub Date : 2025-07-09 DOI:10.2196/72771
Elizabeth Pleasants, Ndola Prata, Ushma D Upadhyay, Cassondra Marshall, Coye Cheshire
{"title":"使用自然语言处理描述2022年期间堕胎在线社区的使用:Reddit帖子的动态主题建模分析。","authors":"Elizabeth Pleasants, Ndola Prata, Ushma D Upadhyay, Cassondra Marshall, Coye Cheshire","doi":"10.2196/72771","DOIUrl":null,"url":null,"abstract":"<p><strong>Background: </strong>Abortion access in the United States has been in a state of rapid change and increasing restriction since the Dobbs v Jackson Women's Health Organization decision from the US Supreme Court in June 2022. With further constraints on access to abortion since Dobbs, the internet and online communities are playing an increasingly important role in people's abortion trajectories. There is a need for a broader understanding of how online resources are used for abortion and how they may reflect changes in the sociopolitical and legal context of abortion access. Research using online information and leveraging methods to work efficiently with large textual datasets has the potential to accelerate knowledge generation and provide novel insights into changing abortion-related experiences following Dobbs, helping address these knowledge gaps.</p><p><strong>Objective: </strong>This project sought to use natural language processing techniques, specifically topic modeling, to explore the content of posts to 1 online community for abortion (r/abortion) in 2022 and assess how community use changed during that time.</p><p><strong>Methods: </strong>This analysis described and explored posts shared throughout 2022 and for 3 subperiods of interest: before the Dobbs leak (December 24, 2021-May 1, 2022), Dobbs leak to decision (May 2, 2022-June 23, 2022), and after the Dobbs decision (June 24, 2022-December 23, 2022). We used topic modeling to obtain descriptive topics for the year and each subperiod and then classified posts. Topics were then aggregated into conceptual groups based on a combination of quantitative and qualitative assessments. The proportion of posts classified in each conceptual group was used to assess change in community interests across the 3 study subperiods.</p><p><strong>Results: </strong>The 7273 posts shared in r/abortion in 2022 included in our analyses were categorized into 8 conceptual groups: abortion decision-making, navigating abortion access barriers, clinical abortion care, medication abortion processes, postabortion physical experiences, potential pregnancy, and self-managed abortion processes. Posts related to navigating access barriers were most common. The proportion of posts about abortion decision-making and self-management changed significantly across study periods (P=.006 and P<.001, respectively); abortion decision-making posts were more common before the Dobbs leak, whereas those related to self-management increased following the leak and decision.</p><p><strong>Conclusions: </strong>This analysis provides a holistic view of r/abortion posts in 2022, highlighting the important role of online communities as abortion-supportive online resources and changing interests among posters with abortion policy changes. As policies and pathways to abortion access continue to change across the United States, approaches leveraging natural language processing with sufficiently large samples of textual data present opportunities for timely monitoring, with the potential to reflect a broad range of abortion experiences, including those of people who have limited or no interaction with clinical abortion care.</p>","PeriodicalId":73554,"journal":{"name":"JMIR infodemiology","volume":"5 ","pages":"e72771"},"PeriodicalIF":2.3000,"publicationDate":"2025-07-09","publicationTypes":"Journal Article","fieldsOfStudy":null,"isOpenAccess":false,"openAccessPdf":"https://www.ncbi.nlm.nih.gov/pmc/articles/PMC12287674/pdf/","citationCount":"0","resultStr":"{\"title\":\"Using Natural Language Processing to Describe the Use of an Online Community for Abortion During 2022: Dynamic Topic Modeling Analysis of Reddit Posts.\",\"authors\":\"Elizabeth Pleasants, Ndola Prata, Ushma D Upadhyay, Cassondra Marshall, Coye Cheshire\",\"doi\":\"10.2196/72771\",\"DOIUrl\":null,\"url\":null,\"abstract\":\"<p><strong>Background: </strong>Abortion access in the United States has been in a state of rapid change and increasing restriction since the Dobbs v Jackson Women's Health Organization decision from the US Supreme Court in June 2022. With further constraints on access to abortion since Dobbs, the internet and online communities are playing an increasingly important role in people's abortion trajectories. There is a need for a broader understanding of how online resources are used for abortion and how they may reflect changes in the sociopolitical and legal context of abortion access. Research using online information and leveraging methods to work efficiently with large textual datasets has the potential to accelerate knowledge generation and provide novel insights into changing abortion-related experiences following Dobbs, helping address these knowledge gaps.</p><p><strong>Objective: </strong>This project sought to use natural language processing techniques, specifically topic modeling, to explore the content of posts to 1 online community for abortion (r/abortion) in 2022 and assess how community use changed during that time.</p><p><strong>Methods: </strong>This analysis described and explored posts shared throughout 2022 and for 3 subperiods of interest: before the Dobbs leak (December 24, 2021-May 1, 2022), Dobbs leak to decision (May 2, 2022-June 23, 2022), and after the Dobbs decision (June 24, 2022-December 23, 2022). We used topic modeling to obtain descriptive topics for the year and each subperiod and then classified posts. Topics were then aggregated into conceptual groups based on a combination of quantitative and qualitative assessments. The proportion of posts classified in each conceptual group was used to assess change in community interests across the 3 study subperiods.</p><p><strong>Results: </strong>The 7273 posts shared in r/abortion in 2022 included in our analyses were categorized into 8 conceptual groups: abortion decision-making, navigating abortion access barriers, clinical abortion care, medication abortion processes, postabortion physical experiences, potential pregnancy, and self-managed abortion processes. Posts related to navigating access barriers were most common. The proportion of posts about abortion decision-making and self-management changed significantly across study periods (P=.006 and P<.001, respectively); abortion decision-making posts were more common before the Dobbs leak, whereas those related to self-management increased following the leak and decision.</p><p><strong>Conclusions: </strong>This analysis provides a holistic view of r/abortion posts in 2022, highlighting the important role of online communities as abortion-supportive online resources and changing interests among posters with abortion policy changes. As policies and pathways to abortion access continue to change across the United States, approaches leveraging natural language processing with sufficiently large samples of textual data present opportunities for timely monitoring, with the potential to reflect a broad range of abortion experiences, including those of people who have limited or no interaction with clinical abortion care.</p>\",\"PeriodicalId\":73554,\"journal\":{\"name\":\"JMIR infodemiology\",\"volume\":\"5 \",\"pages\":\"e72771\"},\"PeriodicalIF\":2.3000,\"publicationDate\":\"2025-07-09\",\"publicationTypes\":\"Journal Article\",\"fieldsOfStudy\":null,\"isOpenAccess\":false,\"openAccessPdf\":\"https://www.ncbi.nlm.nih.gov/pmc/articles/PMC12287674/pdf/\",\"citationCount\":\"0\",\"resultStr\":null,\"platform\":\"Semanticscholar\",\"paperid\":null,\"PeriodicalName\":\"JMIR infodemiology\",\"FirstCategoryId\":\"1085\",\"ListUrlMain\":\"https://doi.org/10.2196/72771\",\"RegionNum\":0,\"RegionCategory\":null,\"ArticlePicture\":[],\"TitleCN\":null,\"AbstractTextCN\":null,\"PMCID\":null,\"EPubDate\":\"\",\"PubModel\":\"\",\"JCR\":\"Q1\",\"JCRName\":\"HEALTH CARE SCIENCES & SERVICES\",\"Score\":null,\"Total\":0}","platform":"Semanticscholar","paperid":null,"PeriodicalName":"JMIR infodemiology","FirstCategoryId":"1085","ListUrlMain":"https://doi.org/10.2196/72771","RegionNum":0,"RegionCategory":null,"ArticlePicture":[],"TitleCN":null,"AbstractTextCN":null,"PMCID":null,"EPubDate":"","PubModel":"","JCR":"Q1","JCRName":"HEALTH CARE SCIENCES & SERVICES","Score":null,"Total":0}
引用次数: 0

摘要

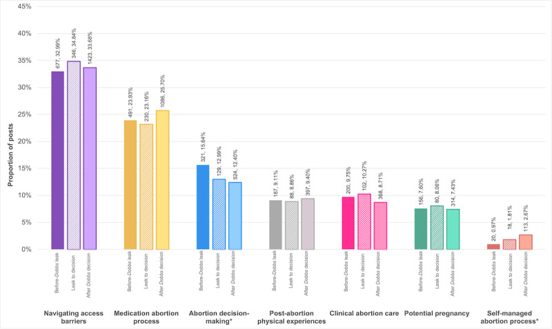
背景:自2022年6月美国最高法院对多布斯诉杰克逊妇女健康组织一案作出裁决以来,美国的堕胎准入一直处于快速变化和越来越多的限制状态。自多布斯事件以来,堕胎受到进一步限制,互联网和在线社区在人们的堕胎轨迹中发挥着越来越重要的作用。有必要更广泛地了解在线资源如何用于堕胎,以及它们如何反映堕胎获取的社会政治和法律背景的变化。利用在线信息和利用方法有效地处理大型文本数据集的研究有可能加速知识的产生,并为Dobbs之后不断变化的堕胎相关经验提供新颖的见解,帮助解决这些知识空白。目的:本项目试图使用自然语言处理技术,特别是主题建模,探索2022年1个在线堕胎社区(r/abortion)的帖子内容,并评估社区使用在此期间的变化。方法:该分析描述和探讨了整个2022年以及三个感兴趣的子时期共享的帖子:多布斯泄密之前(2021年12月24日- 2022年5月1日),多布斯泄密决定之前(2022年5月2日- 2022年6月23日),以及多布斯决定之后(2022年6月24日- 2022年12月23日)。我们使用主题建模获得年度和每个子期间的描述性主题,然后对帖子进行分类。然后,根据数量和质量评估的结合,将主题汇总为概念组。在每个概念组中分类的职位比例用于评估三个研究分阶段中社区利益的变化。结果:将2022年在r/abortion上分享的7273篇帖子分为堕胎决策、流产准入障碍导航、临床流产护理、药物流产过程、流产后身体体验、潜在妊娠和自我管理流产过程8个概念组。与导航通道障碍有关的帖子最为常见。关于堕胎决策和自我管理的帖子比例在研究期间发生了显著变化(P=。结论:该分析提供了2022年r/abortion帖子的整体视图,突出了在线社区作为支持堕胎的在线资源的重要作用,以及随着堕胎政策的变化,发帖者的兴趣发生了变化。随着美国各地堕胎政策和途径的不断变化,利用自然语言处理和足够大的文本数据样本的方法为及时监测提供了机会,有可能反映广泛的堕胎经验,包括那些与临床堕胎护理有限或没有互动的人。
本文章由计算机程序翻译,如有差异,请以英文原文为准。

Using Natural Language Processing to Describe the Use of an Online Community for Abortion During 2022: Dynamic Topic Modeling Analysis of Reddit Posts.

Using Natural Language Processing to Describe the Use of an Online Community for Abortion During 2022: Dynamic Topic Modeling Analysis of Reddit Posts.

Using Natural Language Processing to Describe the Use of an Online Community for Abortion During 2022: Dynamic Topic Modeling Analysis of Reddit Posts.

Using Natural Language Processing to Describe the Use of an Online Community for Abortion During 2022: Dynamic Topic Modeling Analysis of Reddit Posts.

Background: Abortion access in the United States has been in a state of rapid change and increasing restriction since the Dobbs v Jackson Women's Health Organization decision from the US Supreme Court in June 2022. With further constraints on access to abortion since Dobbs, the internet and online communities are playing an increasingly important role in people's abortion trajectories. There is a need for a broader understanding of how online resources are used for abortion and how they may reflect changes in the sociopolitical and legal context of abortion access. Research using online information and leveraging methods to work efficiently with large textual datasets has the potential to accelerate knowledge generation and provide novel insights into changing abortion-related experiences following Dobbs, helping address these knowledge gaps.

Objective: This project sought to use natural language processing techniques, specifically topic modeling, to explore the content of posts to 1 online community for abortion (r/abortion) in 2022 and assess how community use changed during that time.

Methods: This analysis described and explored posts shared throughout 2022 and for 3 subperiods of interest: before the Dobbs leak (December 24, 2021-May 1, 2022), Dobbs leak to decision (May 2, 2022-June 23, 2022), and after the Dobbs decision (June 24, 2022-December 23, 2022). We used topic modeling to obtain descriptive topics for the year and each subperiod and then classified posts. Topics were then aggregated into conceptual groups based on a combination of quantitative and qualitative assessments. The proportion of posts classified in each conceptual group was used to assess change in community interests across the 3 study subperiods.

Results: The 7273 posts shared in r/abortion in 2022 included in our analyses were categorized into 8 conceptual groups: abortion decision-making, navigating abortion access barriers, clinical abortion care, medication abortion processes, postabortion physical experiences, potential pregnancy, and self-managed abortion processes. Posts related to navigating access barriers were most common. The proportion of posts about abortion decision-making and self-management changed significantly across study periods (P=.006 and P<.001, respectively); abortion decision-making posts were more common before the Dobbs leak, whereas those related to self-management increased following the leak and decision.

Conclusions: This analysis provides a holistic view of r/abortion posts in 2022, highlighting the important role of online communities as abortion-supportive online resources and changing interests among posters with abortion policy changes. As policies and pathways to abortion access continue to change across the United States, approaches leveraging natural language processing with sufficiently large samples of textual data present opportunities for timely monitoring, with the potential to reflect a broad range of abortion experiences, including those of people who have limited or no interaction with clinical abortion care.

求助全文
通过发布文献求助,成功后即可免费获取论文全文。 去求助
来源期刊
CiteScore
4.80
自引率
0.00%
发文量
0
×
引用
GB/T 7714-2015
复制
MLA
复制
APA
复制
导出至
BibTeX EndNote RefMan NoteFirst NoteExpress
×
提示
您的信息不完整,为了账户安全,请先补充。
现在去补充
×
提示
您因"违规操作"
具体请查看互助需知
我知道了
×
提示
确定
请完成安全验证×
copy
已复制链接
快去分享给好友吧!
我知道了
右上角分享
点击右上角分享
0
联系我们:info@booksci.cn Book学术提供免费学术资源搜索服务,方便国内外学者检索中英文文献。致力于提供最便捷和优质的服务体验。 Copyright © 2023 布克学术 All rights reserved.
京ICP备2023020795号-1
ghs 京公网安备 11010802042870号
Book学术文献互助
Book学术文献互助群
群 号:604180095
Book学术官方微信