脊髓小脑性共济失调1型的性别差异:临床表现和进展。

IF 2.4 3区 医学 Q3 NEUROSCIENCES
Fabiana Colucci, Sara Stefanelli, Elena Contaldi, Andrea Gozzi, Maura Pugliatti, Pietro Antenucci, Jay Guido Capone, Daniela Gragnaniello, Mariachiara Sensi
{"title":"脊髓小脑性共济失调1型的性别差异:临床表现和进展。","authors":"Fabiana Colucci, Sara Stefanelli, Elena Contaldi, Andrea Gozzi, Maura Pugliatti, Pietro Antenucci, Jay Guido Capone, Daniela Gragnaniello, Mariachiara Sensi","doi":"10.1007/s12311-025-01881-4","DOIUrl":null,"url":null,"abstract":"<p><strong>Background: </strong>Spinocerebellar ataxia type 1 (SCA1) is characterised by motor and cognitive symptoms. Sex-specific differences in disease presentation and progression remain poorly understood. This study investigates the role of sex in clinical-demographic and motor/cognitive outcomes in SCA1.</p><p><strong>Methods: </strong>This single-centre, longitudinal observational cohort study was conducted at the University Hospital of Ferrara between 2021 and 2024. Consecutively, genetically confirmed SCA1 patients were evaluated at baseline and after 24±6 months. Assessments included comprehensive neuropsychological testing and auditory event-related potentials (aERPs). Motor function was evaluated using the Scale for Assessment and Rating of Ataxia (SARA).</p><p><strong>Results: </strong>Sixteen SCA1 patients (9 males, seven females) were evaluated at baseline, with 10 patients (5 males, five females) completing follow-up. Even if most cognitive functions were preserved in both sexes at baseline, males showed worse performance in emotion attribution tasks than females (42.8 ± 8.5 vs. 53.1 ± 5.7, r = 0.63). Over time, both sexes showed slightly worsening cognitive performance, although not statistically significant, with males demonstrating deficits in verbal fluency (p = 0.036) and emotion attribution (p = 0.048). In the same group, motor impairment worsened at follow-up, though not significantly. aERPs revealed no differences between sexes at follow-up.</p><p><strong>Conclusion: </strong>Sex may influence cognitive outcomes in SCA1, with male patients showing greater vulnerability to cognitive decline. aERPs did not show significant modifications. These findings highlight the importance of considering sex-specific approaches in the clinical management of SCA1 patients and the higher values of a comprehensive neuropsychological assessment compared to the neurophysiological approach with aERPs to reach these slight changes over time.</p><p><strong>Clinical trial number: </strong>Not applicable.</p>","PeriodicalId":50706,"journal":{"name":"Cerebellum","volume":"24 5","pages":"127"},"PeriodicalIF":2.4000,"publicationDate":"2025-07-10","publicationTypes":"Journal Article","fieldsOfStudy":null,"isOpenAccess":false,"openAccessPdf":"https://www.ncbi.nlm.nih.gov/pmc/articles/PMC12405387/pdf/","citationCount":"0","resultStr":"{\"title\":\"Sex Differences in Spinocerebellar Ataxia Type 1: Clinical Presentation and Progression.\",\"authors\":\"Fabiana Colucci, Sara Stefanelli, Elena Contaldi, Andrea Gozzi, Maura Pugliatti, Pietro Antenucci, Jay Guido Capone, Daniela Gragnaniello, Mariachiara Sensi\",\"doi\":\"10.1007/s12311-025-01881-4\",\"DOIUrl\":null,\"url\":null,\"abstract\":\"<p><strong>Background: </strong>Spinocerebellar ataxia type 1 (SCA1) is characterised by motor and cognitive symptoms. Sex-specific differences in disease presentation and progression remain poorly understood. This study investigates the role of sex in clinical-demographic and motor/cognitive outcomes in SCA1.</p><p><strong>Methods: </strong>This single-centre, longitudinal observational cohort study was conducted at the University Hospital of Ferrara between 2021 and 2024. Consecutively, genetically confirmed SCA1 patients were evaluated at baseline and after 24±6 months. Assessments included comprehensive neuropsychological testing and auditory event-related potentials (aERPs). Motor function was evaluated using the Scale for Assessment and Rating of Ataxia (SARA).</p><p><strong>Results: </strong>Sixteen SCA1 patients (9 males, seven females) were evaluated at baseline, with 10 patients (5 males, five females) completing follow-up. Even if most cognitive functions were preserved in both sexes at baseline, males showed worse performance in emotion attribution tasks than females (42.8 ± 8.5 vs. 53.1 ± 5.7, r = 0.63). Over time, both sexes showed slightly worsening cognitive performance, although not statistically significant, with males demonstrating deficits in verbal fluency (p = 0.036) and emotion attribution (p = 0.048). In the same group, motor impairment worsened at follow-up, though not significantly. aERPs revealed no differences between sexes at follow-up.</p><p><strong>Conclusion: </strong>Sex may influence cognitive outcomes in SCA1, with male patients showing greater vulnerability to cognitive decline. aERPs did not show significant modifications. These findings highlight the importance of considering sex-specific approaches in the clinical management of SCA1 patients and the higher values of a comprehensive neuropsychological assessment compared to the neurophysiological approach with aERPs to reach these slight changes over time.</p><p><strong>Clinical trial number: </strong>Not applicable.</p>\",\"PeriodicalId\":50706,\"journal\":{\"name\":\"Cerebellum\",\"volume\":\"24 5\",\"pages\":\"127\"},\"PeriodicalIF\":2.4000,\"publicationDate\":\"2025-07-10\",\"publicationTypes\":\"Journal Article\",\"fieldsOfStudy\":null,\"isOpenAccess\":false,\"openAccessPdf\":\"https://www.ncbi.nlm.nih.gov/pmc/articles/PMC12405387/pdf/\",\"citationCount\":\"0\",\"resultStr\":null,\"platform\":\"Semanticscholar\",\"paperid\":null,\"PeriodicalName\":\"Cerebellum\",\"FirstCategoryId\":\"3\",\"ListUrlMain\":\"https://doi.org/10.1007/s12311-025-01881-4\",\"RegionNum\":3,\"RegionCategory\":\"医学\",\"ArticlePicture\":[],\"TitleCN\":null,\"AbstractTextCN\":null,\"PMCID\":null,\"EPubDate\":\"\",\"PubModel\":\"\",\"JCR\":\"Q3\",\"JCRName\":\"NEUROSCIENCES\",\"Score\":null,\"Total\":0}","platform":"Semanticscholar","paperid":null,"PeriodicalName":"Cerebellum","FirstCategoryId":"3","ListUrlMain":"https://doi.org/10.1007/s12311-025-01881-4","RegionNum":3,"RegionCategory":"医学","ArticlePicture":[],"TitleCN":null,"AbstractTextCN":null,"PMCID":null,"EPubDate":"","PubModel":"","JCR":"Q3","JCRName":"NEUROSCIENCES","Score":null,"Total":0}
引用次数: 0

摘要

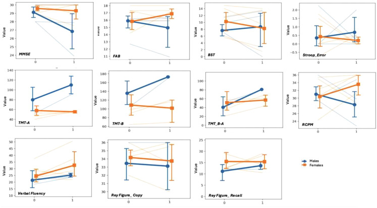
背景:脊髓小脑性共济失调1型(SCA1)以运动和认知症状为特征。疾病表现和进展的性别特异性差异仍然知之甚少。本研究探讨了性别在SCA1的临床人口学和运动/认知结果中的作用。方法:这项单中心、纵向观察队列研究于2021年至2024年在费拉拉大学医院进行。连续,在基线和24±6个月后对基因证实的SCA1患者进行评估。评估包括综合神经心理测试和听觉事件相关电位(aerp)。运动功能采用共济失调评定量表(SARA)进行评定。结果:16例SCA1患者(9名男性,7名女性)在基线时进行评估,10例患者(5名男性,5名女性)完成随访。即使大多数认知功能在基线时两性都被保留,男性在情绪归因任务中的表现也比女性差(42.8±8.5比53.1±5.7,r = 0.63)。随着时间的推移,两性的认知能力都略有下降,尽管在统计上并不显著,男性表现出语言流畅性(p = 0.036)和情绪归因(p = 0.048)的缺陷。在同一组中,运动障碍在随访中恶化,但并不明显。在随访中,aerp显示性别之间没有差异。结论:性别可能影响SCA1患者的认知结局,男性患者更容易出现认知能力下降。aerp无明显变化。这些发现强调了在SCA1患者的临床管理中考虑性别特异性方法的重要性,以及与使用aerp的神经生理学方法相比,综合神经心理学评估的价值更高,以达到这些细微的变化。临床试验号:不适用。
本文章由计算机程序翻译,如有差异,请以英文原文为准。

Sex Differences in Spinocerebellar Ataxia Type 1: Clinical Presentation and Progression.

Sex Differences in Spinocerebellar Ataxia Type 1: Clinical Presentation and Progression.

Sex Differences in Spinocerebellar Ataxia Type 1: Clinical Presentation and Progression.

Sex Differences in Spinocerebellar Ataxia Type 1: Clinical Presentation and Progression.

Background: Spinocerebellar ataxia type 1 (SCA1) is characterised by motor and cognitive symptoms. Sex-specific differences in disease presentation and progression remain poorly understood. This study investigates the role of sex in clinical-demographic and motor/cognitive outcomes in SCA1.

Methods: This single-centre, longitudinal observational cohort study was conducted at the University Hospital of Ferrara between 2021 and 2024. Consecutively, genetically confirmed SCA1 patients were evaluated at baseline and after 24±6 months. Assessments included comprehensive neuropsychological testing and auditory event-related potentials (aERPs). Motor function was evaluated using the Scale for Assessment and Rating of Ataxia (SARA).

Results: Sixteen SCA1 patients (9 males, seven females) were evaluated at baseline, with 10 patients (5 males, five females) completing follow-up. Even if most cognitive functions were preserved in both sexes at baseline, males showed worse performance in emotion attribution tasks than females (42.8 ± 8.5 vs. 53.1 ± 5.7, r = 0.63). Over time, both sexes showed slightly worsening cognitive performance, although not statistically significant, with males demonstrating deficits in verbal fluency (p = 0.036) and emotion attribution (p = 0.048). In the same group, motor impairment worsened at follow-up, though not significantly. aERPs revealed no differences between sexes at follow-up.

Conclusion: Sex may influence cognitive outcomes in SCA1, with male patients showing greater vulnerability to cognitive decline. aERPs did not show significant modifications. These findings highlight the importance of considering sex-specific approaches in the clinical management of SCA1 patients and the higher values of a comprehensive neuropsychological assessment compared to the neurophysiological approach with aERPs to reach these slight changes over time.

Clinical trial number: Not applicable.

求助全文
通过发布文献求助,成功后即可免费获取论文全文。 去求助
来源期刊
Cerebellum
Cerebellum 医学-神经科学
CiteScore
6.40
自引率
14.30%
发文量
150
审稿时长
4-8 weeks
期刊介绍: Official publication of the Society for Research on the Cerebellum devoted to genetics of cerebellar ataxias, role of cerebellum in motor control and cognitive function, and amid an ageing population, diseases associated with cerebellar dysfunction. The Cerebellum is a central source for the latest developments in fundamental neurosciences including molecular and cellular biology; behavioural neurosciences and neurochemistry; genetics; fundamental and clinical neurophysiology; neurology and neuropathology; cognition and neuroimaging. The Cerebellum benefits neuroscientists in molecular and cellular biology; neurophysiologists; researchers in neurotransmission; neurologists; radiologists; paediatricians; neuropsychologists; students of neurology and psychiatry and others.
×
引用
GB/T 7714-2015
复制
MLA
复制
APA
复制
导出至
BibTeX EndNote RefMan NoteFirst NoteExpress
×
提示
您的信息不完整,为了账户安全,请先补充。
现在去补充
×
提示
您因"违规操作"
具体请查看互助需知
我知道了
×
提示
确定
请完成安全验证×
copy
已复制链接
快去分享给好友吧!
我知道了
右上角分享
点击右上角分享
0
联系我们:info@booksci.cn Book学术提供免费学术资源搜索服务,方便国内外学者检索中英文文献。致力于提供最便捷和优质的服务体验。 Copyright © 2023 布克学术 All rights reserved.
京ICP备2023020795号-1
ghs 京公网安备 11010802042870号
Book学术文献互助
Book学术文献互助群
群 号:604180095
Book学术官方微信