不同病原菌新生儿脓毒症的临床特点及血液指标诊断效果分析。

IF 1.5 4区 医学 Q3 HEMATOLOGY
You-Hong Duan, Pu Guo, You-Bao Liang, Yao Chen, Zi-Yu Chang
{"title":"不同病原菌新生儿脓毒症的临床特点及血液指标诊断效果分析。","authors":"You-Hong Duan, Pu Guo, You-Bao Liang, Yao Chen, Zi-Yu Chang","doi":"10.4084/MJHID.2025.048","DOIUrl":null,"url":null,"abstract":"<p><strong>Background: </strong>To investigate the differences in clinical characteristics between Gram-positive and Gram-negative neonatal sepsis (NS).</p><p><strong>Methods: </strong>A retrospective analysis was conducted on a total of 151 neonates admitted between March 2019 and March 2024. The 91 NS patients were divided into the Gram-negative bacteria group (n=31) and the Gram-positive bacteria group (n=60). Sixty (n=60) non-septic neonates served as controls, and general information was collected from all participants. C-reactive protein (CRP), procalcitonin (PCT) and platelets (PLT) were independent factors that influenced the differentiating infections caused by the two pathogens. The onset symptoms, strain distribution, and various biochemical parameters were compared before the treatment among the three groups. The receiver operating characteristic (ROC) curve was used to analyze the diagnostic efficacy.</p><p><strong>Results: </strong>The proportions of patients with amniotic fluid contamination and fever (body temperature ≥ 38.0 °C) were higher in the Gram-negative group than in the Gram-positive group (P=0.023, 0.049). The concentrations for CRP, PCT and PLT were P=0.019, 0.023, 0.030 respectively. ROC curve analysis revealed that the specificity of the combination of CRP, PCT and PLT in diagnosing Gram-negative bacterial infection was 100.00%, and the area under the curve (AUC) was 0.904, which was higher than those of single indicators (P=0.05).</p><p><strong>Conclusion: </strong>There are differences in the expression of CRP, PCT and PLT between Gram-positive and Gram-negative NS. The simultaneous detection of the three has a high diagnostic value in differentiating infections caused by the two pathogens.</p>","PeriodicalId":18498,"journal":{"name":"Mediterranean Journal of Hematology and Infectious Diseases","volume":"17 1","pages":"e2025048"},"PeriodicalIF":1.5000,"publicationDate":"2025-07-01","publicationTypes":"Journal Article","fieldsOfStudy":null,"isOpenAccess":false,"openAccessPdf":"https://www.ncbi.nlm.nih.gov/pmc/articles/PMC12240254/pdf/","citationCount":"0","resultStr":"{\"title\":\"Analysis of Clinical Characteristics and Diagnostic Efficacy of Blood Indicators in Neonatal Sepsis with Different Pathogenic Bacteria.\",\"authors\":\"You-Hong Duan, Pu Guo, You-Bao Liang, Yao Chen, Zi-Yu Chang\",\"doi\":\"10.4084/MJHID.2025.048\",\"DOIUrl\":null,\"url\":null,\"abstract\":\"<p><strong>Background: </strong>To investigate the differences in clinical characteristics between Gram-positive and Gram-negative neonatal sepsis (NS).</p><p><strong>Methods: </strong>A retrospective analysis was conducted on a total of 151 neonates admitted between March 2019 and March 2024. The 91 NS patients were divided into the Gram-negative bacteria group (n=31) and the Gram-positive bacteria group (n=60). Sixty (n=60) non-septic neonates served as controls, and general information was collected from all participants. C-reactive protein (CRP), procalcitonin (PCT) and platelets (PLT) were independent factors that influenced the differentiating infections caused by the two pathogens. The onset symptoms, strain distribution, and various biochemical parameters were compared before the treatment among the three groups. The receiver operating characteristic (ROC) curve was used to analyze the diagnostic efficacy.</p><p><strong>Results: </strong>The proportions of patients with amniotic fluid contamination and fever (body temperature ≥ 38.0 °C) were higher in the Gram-negative group than in the Gram-positive group (P=0.023, 0.049). The concentrations for CRP, PCT and PLT were P=0.019, 0.023, 0.030 respectively. ROC curve analysis revealed that the specificity of the combination of CRP, PCT and PLT in diagnosing Gram-negative bacterial infection was 100.00%, and the area under the curve (AUC) was 0.904, which was higher than those of single indicators (P=0.05).</p><p><strong>Conclusion: </strong>There are differences in the expression of CRP, PCT and PLT between Gram-positive and Gram-negative NS. The simultaneous detection of the three has a high diagnostic value in differentiating infections caused by the two pathogens.</p>\",\"PeriodicalId\":18498,\"journal\":{\"name\":\"Mediterranean Journal of Hematology and Infectious Diseases\",\"volume\":\"17 1\",\"pages\":\"e2025048\"},\"PeriodicalIF\":1.5000,\"publicationDate\":\"2025-07-01\",\"publicationTypes\":\"Journal Article\",\"fieldsOfStudy\":null,\"isOpenAccess\":false,\"openAccessPdf\":\"https://www.ncbi.nlm.nih.gov/pmc/articles/PMC12240254/pdf/\",\"citationCount\":\"0\",\"resultStr\":null,\"platform\":\"Semanticscholar\",\"paperid\":null,\"PeriodicalName\":\"Mediterranean Journal of Hematology and Infectious Diseases\",\"FirstCategoryId\":\"3\",\"ListUrlMain\":\"https://doi.org/10.4084/MJHID.2025.048\",\"RegionNum\":4,\"RegionCategory\":\"医学\",\"ArticlePicture\":[],\"TitleCN\":null,\"AbstractTextCN\":null,\"PMCID\":null,\"EPubDate\":\"2025/1/1 0:00:00\",\"PubModel\":\"eCollection\",\"JCR\":\"Q3\",\"JCRName\":\"HEMATOLOGY\",\"Score\":null,\"Total\":0}","platform":"Semanticscholar","paperid":null,"PeriodicalName":"Mediterranean Journal of Hematology and Infectious Diseases","FirstCategoryId":"3","ListUrlMain":"https://doi.org/10.4084/MJHID.2025.048","RegionNum":4,"RegionCategory":"医学","ArticlePicture":[],"TitleCN":null,"AbstractTextCN":null,"PMCID":null,"EPubDate":"2025/1/1 0:00:00","PubModel":"eCollection","JCR":"Q3","JCRName":"HEMATOLOGY","Score":null,"Total":0}
引用次数: 0

摘要

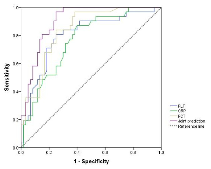
背景:探讨革兰氏阳性与革兰氏阴性新生儿脓毒症(NS)临床特征的差异。方法:对2019年3月至2024年3月收治的151例新生儿进行回顾性分析。91例NS患者分为革兰氏阴性菌组(31例)和革兰氏阳性菌组(60例)。60名(n=60)非脓毒症新生儿作为对照,收集所有参与者的一般信息。c反应蛋白(CRP)、降钙素原(PCT)和血小板(PLT)是影响两种病原菌引起的区分感染的独立因素。比较三组患者治疗前的发病症状、菌种分布及各项生化指标。采用受试者工作特征(ROC)曲线分析诊断效果。结果:革兰氏阴性组羊水污染及发热(体温≥38.0℃)患者比例高于革兰氏阳性组(P=0.023, 0.049)。CRP、PCT、PLT分别为P=0.019、0.023、0.030。ROC曲线分析显示,CRP、PCT、PLT联合诊断革兰氏阴性细菌感染的特异性为100.00%,曲线下面积(AUC)为0.904,高于单一指标诊断的特异性(P=0.05)。结论:革兰氏阳性和革兰氏阴性NS中CRP、PCT和PLT的表达存在差异。三者同时检测对鉴别两种病原菌引起的感染具有较高的诊断价值。
本文章由计算机程序翻译,如有差异,请以英文原文为准。

Analysis of Clinical Characteristics and Diagnostic Efficacy of Blood Indicators in Neonatal Sepsis with Different Pathogenic Bacteria.

Analysis of Clinical Characteristics and Diagnostic Efficacy of Blood Indicators in Neonatal Sepsis with Different Pathogenic Bacteria.

Background: To investigate the differences in clinical characteristics between Gram-positive and Gram-negative neonatal sepsis (NS).

Methods: A retrospective analysis was conducted on a total of 151 neonates admitted between March 2019 and March 2024. The 91 NS patients were divided into the Gram-negative bacteria group (n=31) and the Gram-positive bacteria group (n=60). Sixty (n=60) non-septic neonates served as controls, and general information was collected from all participants. C-reactive protein (CRP), procalcitonin (PCT) and platelets (PLT) were independent factors that influenced the differentiating infections caused by the two pathogens. The onset symptoms, strain distribution, and various biochemical parameters were compared before the treatment among the three groups. The receiver operating characteristic (ROC) curve was used to analyze the diagnostic efficacy.

Results: The proportions of patients with amniotic fluid contamination and fever (body temperature ≥ 38.0 °C) were higher in the Gram-negative group than in the Gram-positive group (P=0.023, 0.049). The concentrations for CRP, PCT and PLT were P=0.019, 0.023, 0.030 respectively. ROC curve analysis revealed that the specificity of the combination of CRP, PCT and PLT in diagnosing Gram-negative bacterial infection was 100.00%, and the area under the curve (AUC) was 0.904, which was higher than those of single indicators (P=0.05).

Conclusion: There are differences in the expression of CRP, PCT and PLT between Gram-positive and Gram-negative NS. The simultaneous detection of the three has a high diagnostic value in differentiating infections caused by the two pathogens.

求助全文
通过发布文献求助,成功后即可免费获取论文全文。 去求助
来源期刊
CiteScore
4.20
自引率
6.20%
发文量
113
审稿时长
12 weeks
期刊介绍: Reciprocal interdependence between infectious and hematologic diseases (malignant and non-malignant) is well known. This relationship is particularly evident in Mediterranean countries. Parasitosis as Malaria, Leishmaniosis, B Hookworms, Teniasis, very common in the southeast Mediterranean area, infect about a billion people and manifest prevalently with anemia so that they are usually diagnosed mostly by experienced hematologist on blood or bone marrow smear. On the other hand, infections are also a significant problem in patients affected by hematological malignancies. The blood is the primary vector of HIV infection, which otherwise manifest with symptoms related to a reduction in T lymphocytes. In turn, infections can favor the insurgency of hematological malignancies. The causative relationship between Epstein-Barr virus infection, Helicobacter pylori, hepatitis C virus, HIV and lymphoproliferative diseases is well known.
×
引用
GB/T 7714-2015
复制
MLA
复制
APA
复制
导出至
BibTeX EndNote RefMan NoteFirst NoteExpress
×
提示
您的信息不完整,为了账户安全,请先补充。
现在去补充
×
提示
您因"违规操作"
具体请查看互助需知
我知道了
×
提示
确定
请完成安全验证×
copy
已复制链接
快去分享给好友吧!
我知道了
右上角分享
点击右上角分享
0
联系我们:info@booksci.cn Book学术提供免费学术资源搜索服务,方便国内外学者检索中英文文献。致力于提供最便捷和优质的服务体验。 Copyright © 2023 布克学术 All rights reserved.
京ICP备2023020795号-1
ghs 京公网安备 11010802042870号
Book学术文献互助
Book学术文献互助群
群 号:604180095
Book学术官方微信