基于经胸超声心动图的年龄和性别对左心室功能的影响。

IF 1.3 4区 医学 Q3 CARDIAC & CARDIOVASCULAR SYSTEMS
Reviews in cardiovascular medicine Pub Date : 2025-06-27 eCollection Date: 2025-06-01 DOI:10.31083/RCM38779
Lu Tang, Rui Wu, Chen Cheng, Zheng Li, Yang Hua, Jin-Yu Sun, Yan-Juan Zhang, Wei Sun, Xiang-Qing Kong
{"title":"基于经胸超声心动图的年龄和性别对左心室功能的影响。","authors":"Lu Tang, Rui Wu, Chen Cheng, Zheng Li, Yang Hua, Jin-Yu Sun, Yan-Juan Zhang, Wei Sun, Xiang-Qing Kong","doi":"10.31083/RCM38779","DOIUrl":null,"url":null,"abstract":"<p><strong>Background: </strong>This study aimed to reveal the age- and gender-related differences in left ventricular function among patients with normal cardiac structure.</p><p><strong>Methods: </strong>A retrospective analysis was performed on 10,853 individuals with normal cardiac structures undergoing transthoracic echocardiography (2017-2020). We performed distribution analysis using kernel density estimation with Gaussian kernels and created smooth trajectories based on generalized additive models. Moreover, correlation analysis and multivariable regression were applied to evaluate the impact of age and gender on ventricular function.</p><p><strong>Results: </strong>A weak but statistically significant correlation was found between age and ejection fraction (B-coefficient = -0.077, <i>p</i> < 0.001). Females presented with a higher early diastolic mitral inflow velocity (E)/ early diastolic mitral annular tissue velocity (e') ratio than males across all age decades (<i>p</i> < 0.001). However, age demonstrated stronger associations with functional parameters in individuals below 51.4 years (both genders, <i>p</i> < 0.001). Multivariable regression analysis indicated that age and the male gender were independent predictors of reduced septal and lateral e' velocities (both <i>p</i> < 0.001), with males showing lower values (septal B-coefficient = -0.290; lateral B-coefficient = -0.463).</p><p><strong>Conclusion: </strong>This study provided the distribution of left ventricular systolic/diastolic function across age decades in males and females and highlighted the clinical importance of monitoring ventricular function even for patients with normal cardiac structure.</p>","PeriodicalId":20989,"journal":{"name":"Reviews in cardiovascular medicine","volume":"26 6","pages":"38779"},"PeriodicalIF":1.3000,"publicationDate":"2025-06-27","publicationTypes":"Journal Article","fieldsOfStudy":null,"isOpenAccess":false,"openAccessPdf":"https://www.ncbi.nlm.nih.gov/pmc/articles/PMC12230827/pdf/","citationCount":"0","resultStr":"{\"title\":\"The Impact of Age and Sex on Left Ventricular Function Based on Transthoracic Echocardiograms.\",\"authors\":\"Lu Tang, Rui Wu, Chen Cheng, Zheng Li, Yang Hua, Jin-Yu Sun, Yan-Juan Zhang, Wei Sun, Xiang-Qing Kong\",\"doi\":\"10.31083/RCM38779\",\"DOIUrl\":null,\"url\":null,\"abstract\":\"<p><strong>Background: </strong>This study aimed to reveal the age- and gender-related differences in left ventricular function among patients with normal cardiac structure.</p><p><strong>Methods: </strong>A retrospective analysis was performed on 10,853 individuals with normal cardiac structures undergoing transthoracic echocardiography (2017-2020). We performed distribution analysis using kernel density estimation with Gaussian kernels and created smooth trajectories based on generalized additive models. Moreover, correlation analysis and multivariable regression were applied to evaluate the impact of age and gender on ventricular function.</p><p><strong>Results: </strong>A weak but statistically significant correlation was found between age and ejection fraction (B-coefficient = -0.077, <i>p</i> < 0.001). Females presented with a higher early diastolic mitral inflow velocity (E)/ early diastolic mitral annular tissue velocity (e') ratio than males across all age decades (<i>p</i> < 0.001). However, age demonstrated stronger associations with functional parameters in individuals below 51.4 years (both genders, <i>p</i> < 0.001). Multivariable regression analysis indicated that age and the male gender were independent predictors of reduced septal and lateral e' velocities (both <i>p</i> < 0.001), with males showing lower values (septal B-coefficient = -0.290; lateral B-coefficient = -0.463).</p><p><strong>Conclusion: </strong>This study provided the distribution of left ventricular systolic/diastolic function across age decades in males and females and highlighted the clinical importance of monitoring ventricular function even for patients with normal cardiac structure.</p>\",\"PeriodicalId\":20989,\"journal\":{\"name\":\"Reviews in cardiovascular medicine\",\"volume\":\"26 6\",\"pages\":\"38779\"},\"PeriodicalIF\":1.3000,\"publicationDate\":\"2025-06-27\",\"publicationTypes\":\"Journal Article\",\"fieldsOfStudy\":null,\"isOpenAccess\":false,\"openAccessPdf\":\"https://www.ncbi.nlm.nih.gov/pmc/articles/PMC12230827/pdf/\",\"citationCount\":\"0\",\"resultStr\":null,\"platform\":\"Semanticscholar\",\"paperid\":null,\"PeriodicalName\":\"Reviews in cardiovascular medicine\",\"FirstCategoryId\":\"3\",\"ListUrlMain\":\"https://doi.org/10.31083/RCM38779\",\"RegionNum\":4,\"RegionCategory\":\"医学\",\"ArticlePicture\":[],\"TitleCN\":null,\"AbstractTextCN\":null,\"PMCID\":null,\"EPubDate\":\"2025/6/1 0:00:00\",\"PubModel\":\"eCollection\",\"JCR\":\"Q3\",\"JCRName\":\"CARDIAC & CARDIOVASCULAR SYSTEMS\",\"Score\":null,\"Total\":0}","platform":"Semanticscholar","paperid":null,"PeriodicalName":"Reviews in cardiovascular medicine","FirstCategoryId":"3","ListUrlMain":"https://doi.org/10.31083/RCM38779","RegionNum":4,"RegionCategory":"医学","ArticlePicture":[],"TitleCN":null,"AbstractTextCN":null,"PMCID":null,"EPubDate":"2025/6/1 0:00:00","PubModel":"eCollection","JCR":"Q3","JCRName":"CARDIAC & CARDIOVASCULAR SYSTEMS","Score":null,"Total":0}
引用次数: 0

摘要

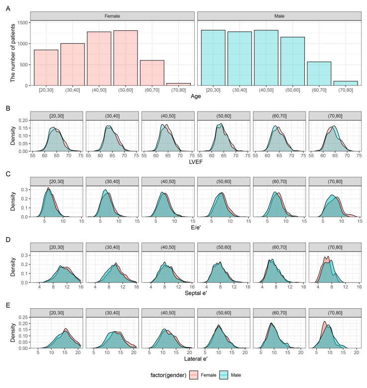
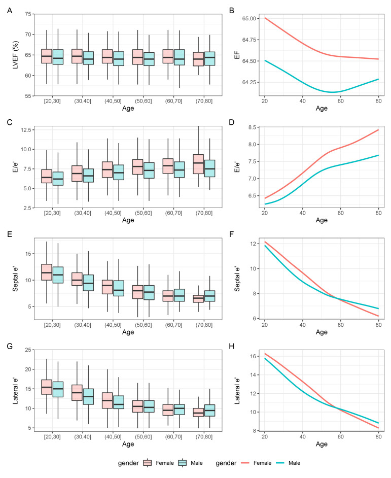
背景:本研究旨在揭示心脏结构正常患者左心室功能的年龄和性别差异。方法:回顾性分析2017-2020年经胸超声心动图检查的10853例心脏结构正常患者。我们使用高斯核的核密度估计进行分布分析,并基于广义加性模型创建光滑轨迹。此外,应用相关分析和多变量回归评估年龄和性别对心室功能的影响。结果:年龄与射血分数之间存在微弱但有统计学意义的相关性(b系数= -0.077,p < 0.001)。在所有年龄组中,女性的舒张早期二尖瓣流入速度(E)/舒张早期二尖瓣环状组织速度(E’)比男性高(p < 0.001)。然而,年龄与51.4岁以下个体的功能参数有更强的相关性(男女均p < 0.001)。多变量回归分析显示,年龄和男性性别是室间隔降低和外侧e速度的独立预测因子(p < 0.001),男性较低(室间隔b系数= -0.290;侧b系数= -0.463)。结论:本研究提供了男性和女性左心室收缩/舒张功能在不同年龄的分布,强调了监测心室功能的临床重要性,即使对心脏结构正常的患者也是如此。
本文章由计算机程序翻译,如有差异,请以英文原文为准。

The Impact of Age and Sex on Left Ventricular Function Based on Transthoracic Echocardiograms.

The Impact of Age and Sex on Left Ventricular Function Based on Transthoracic Echocardiograms.

The Impact of Age and Sex on Left Ventricular Function Based on Transthoracic Echocardiograms.

The Impact of Age and Sex on Left Ventricular Function Based on Transthoracic Echocardiograms.

Background: This study aimed to reveal the age- and gender-related differences in left ventricular function among patients with normal cardiac structure.

Methods: A retrospective analysis was performed on 10,853 individuals with normal cardiac structures undergoing transthoracic echocardiography (2017-2020). We performed distribution analysis using kernel density estimation with Gaussian kernels and created smooth trajectories based on generalized additive models. Moreover, correlation analysis and multivariable regression were applied to evaluate the impact of age and gender on ventricular function.

Results: A weak but statistically significant correlation was found between age and ejection fraction (B-coefficient = -0.077, p < 0.001). Females presented with a higher early diastolic mitral inflow velocity (E)/ early diastolic mitral annular tissue velocity (e') ratio than males across all age decades (p < 0.001). However, age demonstrated stronger associations with functional parameters in individuals below 51.4 years (both genders, p < 0.001). Multivariable regression analysis indicated that age and the male gender were independent predictors of reduced septal and lateral e' velocities (both p < 0.001), with males showing lower values (septal B-coefficient = -0.290; lateral B-coefficient = -0.463).

Conclusion: This study provided the distribution of left ventricular systolic/diastolic function across age decades in males and females and highlighted the clinical importance of monitoring ventricular function even for patients with normal cardiac structure.

求助全文
通过发布文献求助,成功后即可免费获取论文全文。 去求助
来源期刊
Reviews in cardiovascular medicine
Reviews in cardiovascular medicine 医学-心血管系统
CiteScore
2.70
自引率
3.70%
发文量
377
审稿时长
1 months
期刊介绍: RCM is an international, peer-reviewed, open access journal. RCM publishes research articles, review papers and short communications on cardiovascular medicine as well as research on cardiovascular disease. We aim to provide a forum for publishing papers which explore the pathogenesis and promote the progression of cardiac and vascular diseases. We also seek to establish an interdisciplinary platform, focusing on translational issues, to facilitate the advancement of research, clinical treatment and diagnostic procedures. Heart surgery, cardiovascular imaging, risk factors and various clinical cardiac & vascular research will be considered.
×
引用
GB/T 7714-2015
复制
MLA
复制
APA
复制
导出至
BibTeX EndNote RefMan NoteFirst NoteExpress
×
提示
您的信息不完整,为了账户安全,请先补充。
现在去补充
×
提示
您因"违规操作"
具体请查看互助需知
我知道了
×
提示
确定
请完成安全验证×
copy
已复制链接
快去分享给好友吧!
我知道了
右上角分享
点击右上角分享
0
联系我们:info@booksci.cn Book学术提供免费学术资源搜索服务,方便国内外学者检索中英文文献。致力于提供最便捷和优质的服务体验。 Copyright © 2023 布克学术 All rights reserved.
京ICP备2023020795号-1
ghs 京公网安备 11010802042870号
Book学术文献互助
Book学术文献互助群
群 号:604180095
Book学术官方微信