心脏手术患者的胸腔积液轨迹和临床结果。

IF 1.3 4区 医学 Q3 CARDIAC & CARDIOVASCULAR SYSTEMS
Reviews in cardiovascular medicine Pub Date : 2025-06-26 eCollection Date: 2025-06-01 DOI:10.31083/RCM37210
Jun Zhong, Jing-Chao Luo, Jin-Ling Lin, Ming-Hao Luo, Jian Gao, Kai Liu, Guo-Wei Tu, Yan Xue
{"title":"心脏手术患者的胸腔积液轨迹和临床结果。","authors":"Jun Zhong, Jing-Chao Luo, Jin-Ling Lin, Ming-Hao Luo, Jian Gao, Kai Liu, Guo-Wei Tu, Yan Xue","doi":"10.31083/RCM37210","DOIUrl":null,"url":null,"abstract":"<p><strong>Background: </strong>Pleural effusion (PE) commonly occurs in cardiac surgery patients, often requiring tube drainage. This study aimed to investigate associations between PE drainage trajectories and clinical outcomes in patients undergoing cardiac surgery.</p><p><strong>Methods: </strong>Patients who underwent cardiac surgery and subsequent tube drainage during hospitalization in the intensive care unit, due to substantial PE, were enrolled. PE drainage volumes were recorded daily. The relationships between PE drainage and poor outcome or mortality risks were examined using logistic regression analysis. Latent class growth analysis (LCGA) was used to classify PE trajectories, and the characteristics of each latent class were compared.</p><p><strong>Results: </strong>In total, 386 patients were enrolled over 3 years, of whom 113 (29.3%) developed poor outcomes. These patients had significantly higher average PE drainage volumes on days 2-4 (1.7 <i>vs</i>. 1.2 mL/kg/day; <i>p</i> = 0.002) and days 5-7 (0.9 <i>vs</i>. 0 mL/kg/day; <i>p</i> < 0.001). Average PE drainage volumes during the first 2-4 and 5-7 days were associated with poor outcomes (odds ratio (OR) = 1.10 (95% confidence interval (CI): 1.02-1.20); <i>p</i> = 0.014 and 1.19 (95% CI: 1.08-1.32); <i>p</i> < 0.001, respectively). LCGA identified three distinct PE drainage trajectory classes: persistently high (Class 1, n = 39), gradually declining from high to low (Class 2, n = 128), and persistently low (Class 3, n = 219). Among these, Class 1 had the highest mortality and poor outcome risks.</p><p><strong>Conclusions: </strong>A trend in PE formation demonstrated a strong correlation with mortality and poor outcomes in patients who underwent cardiac surgery. Patients with persistently high PE drainage volumes required close monitoring and attention.</p>","PeriodicalId":20989,"journal":{"name":"Reviews in cardiovascular medicine","volume":"26 6","pages":"37210"},"PeriodicalIF":1.3000,"publicationDate":"2025-06-26","publicationTypes":"Journal Article","fieldsOfStudy":null,"isOpenAccess":false,"openAccessPdf":"https://www.ncbi.nlm.nih.gov/pmc/articles/PMC12230843/pdf/","citationCount":"0","resultStr":"{\"title\":\"Pleural Effusion Trajectories and Clinical Outcomes in Cardiac Surgery Patients.\",\"authors\":\"Jun Zhong, Jing-Chao Luo, Jin-Ling Lin, Ming-Hao Luo, Jian Gao, Kai Liu, Guo-Wei Tu, Yan Xue\",\"doi\":\"10.31083/RCM37210\",\"DOIUrl\":null,\"url\":null,\"abstract\":\"<p><strong>Background: </strong>Pleural effusion (PE) commonly occurs in cardiac surgery patients, often requiring tube drainage. This study aimed to investigate associations between PE drainage trajectories and clinical outcomes in patients undergoing cardiac surgery.</p><p><strong>Methods: </strong>Patients who underwent cardiac surgery and subsequent tube drainage during hospitalization in the intensive care unit, due to substantial PE, were enrolled. PE drainage volumes were recorded daily. The relationships between PE drainage and poor outcome or mortality risks were examined using logistic regression analysis. Latent class growth analysis (LCGA) was used to classify PE trajectories, and the characteristics of each latent class were compared.</p><p><strong>Results: </strong>In total, 386 patients were enrolled over 3 years, of whom 113 (29.3%) developed poor outcomes. These patients had significantly higher average PE drainage volumes on days 2-4 (1.7 <i>vs</i>. 1.2 mL/kg/day; <i>p</i> = 0.002) and days 5-7 (0.9 <i>vs</i>. 0 mL/kg/day; <i>p</i> < 0.001). Average PE drainage volumes during the first 2-4 and 5-7 days were associated with poor outcomes (odds ratio (OR) = 1.10 (95% confidence interval (CI): 1.02-1.20); <i>p</i> = 0.014 and 1.19 (95% CI: 1.08-1.32); <i>p</i> < 0.001, respectively). LCGA identified three distinct PE drainage trajectory classes: persistently high (Class 1, n = 39), gradually declining from high to low (Class 2, n = 128), and persistently low (Class 3, n = 219). Among these, Class 1 had the highest mortality and poor outcome risks.</p><p><strong>Conclusions: </strong>A trend in PE formation demonstrated a strong correlation with mortality and poor outcomes in patients who underwent cardiac surgery. Patients with persistently high PE drainage volumes required close monitoring and attention.</p>\",\"PeriodicalId\":20989,\"journal\":{\"name\":\"Reviews in cardiovascular medicine\",\"volume\":\"26 6\",\"pages\":\"37210\"},\"PeriodicalIF\":1.3000,\"publicationDate\":\"2025-06-26\",\"publicationTypes\":\"Journal Article\",\"fieldsOfStudy\":null,\"isOpenAccess\":false,\"openAccessPdf\":\"https://www.ncbi.nlm.nih.gov/pmc/articles/PMC12230843/pdf/\",\"citationCount\":\"0\",\"resultStr\":null,\"platform\":\"Semanticscholar\",\"paperid\":null,\"PeriodicalName\":\"Reviews in cardiovascular medicine\",\"FirstCategoryId\":\"3\",\"ListUrlMain\":\"https://doi.org/10.31083/RCM37210\",\"RegionNum\":4,\"RegionCategory\":\"医学\",\"ArticlePicture\":[],\"TitleCN\":null,\"AbstractTextCN\":null,\"PMCID\":null,\"EPubDate\":\"2025/6/1 0:00:00\",\"PubModel\":\"eCollection\",\"JCR\":\"Q3\",\"JCRName\":\"CARDIAC & CARDIOVASCULAR SYSTEMS\",\"Score\":null,\"Total\":0}","platform":"Semanticscholar","paperid":null,"PeriodicalName":"Reviews in cardiovascular medicine","FirstCategoryId":"3","ListUrlMain":"https://doi.org/10.31083/RCM37210","RegionNum":4,"RegionCategory":"医学","ArticlePicture":[],"TitleCN":null,"AbstractTextCN":null,"PMCID":null,"EPubDate":"2025/6/1 0:00:00","PubModel":"eCollection","JCR":"Q3","JCRName":"CARDIAC & CARDIOVASCULAR SYSTEMS","Score":null,"Total":0}
引用次数: 0

摘要

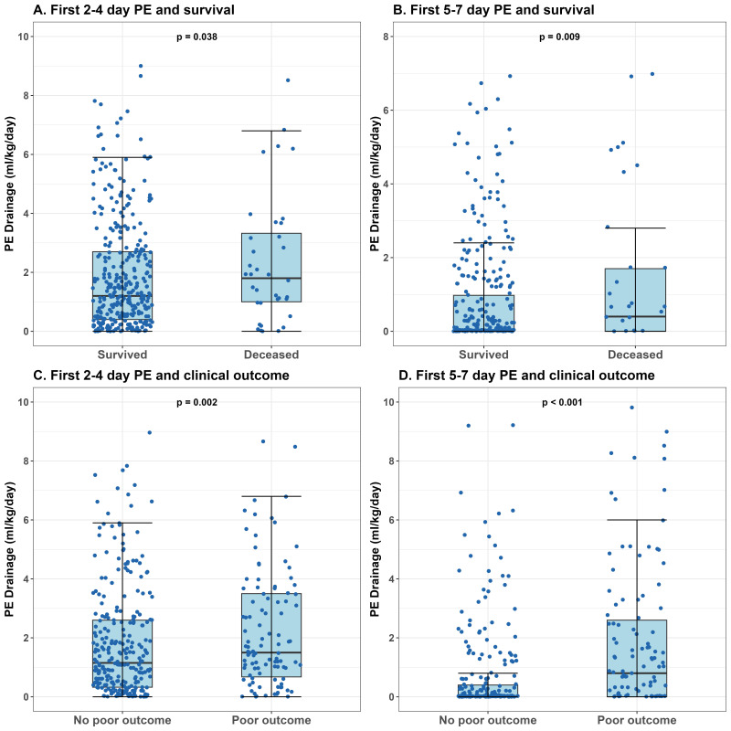
背景:胸腔积液(PE)常见于心脏手术患者,通常需要导管引流。本研究旨在探讨心脏手术患者PE引流轨迹与临床结果之间的关系。方法:纳入在重症监护病房住院期间因大量PE而进行心脏手术并随后进行管引流的患者。每天记录PE引流量。使用logistic回归分析检查肺泡引流与不良预后或死亡风险之间的关系。使用潜在类别增长分析(LCGA)对PE轨迹进行分类,并比较每个潜在类别的特征。结果:在3年的时间里,共纳入386例患者,其中113例(29.3%)预后不良。这些患者在第2-4天的平均肺泡引流量明显更高(1.7 vs 1.2 mL/kg/天;p = 0.002)和第5-7天(0.9 vs. 0 mL/kg/天;P < 0.001)。前2-4天和5-7天的平均PE引流量与不良预后相关(优势比(OR) = 1.10(95%可信区间(CI): 1.02-1.20);p = 0.014和1.19 (95% CI: 1.08-1.32);P < 0.001)。LCGA确定了三种不同的PE排水轨迹:持续高(第1类,n = 39),从高到低逐渐下降(第2类,n = 128),持续低(第3类,n = 219)。其中,1类患者死亡率最高,预后风险较差。结论:在接受心脏手术的患者中,PE形成的趋势与死亡率和不良预后有很强的相关性。PE引流量持续高的患者需要密切监测和关注。
本文章由计算机程序翻译,如有差异,请以英文原文为准。

Pleural Effusion Trajectories and Clinical Outcomes in Cardiac Surgery Patients.

Pleural Effusion Trajectories and Clinical Outcomes in Cardiac Surgery Patients.

Pleural Effusion Trajectories and Clinical Outcomes in Cardiac Surgery Patients.

Pleural Effusion Trajectories and Clinical Outcomes in Cardiac Surgery Patients.

Background: Pleural effusion (PE) commonly occurs in cardiac surgery patients, often requiring tube drainage. This study aimed to investigate associations between PE drainage trajectories and clinical outcomes in patients undergoing cardiac surgery.

Methods: Patients who underwent cardiac surgery and subsequent tube drainage during hospitalization in the intensive care unit, due to substantial PE, were enrolled. PE drainage volumes were recorded daily. The relationships between PE drainage and poor outcome or mortality risks were examined using logistic regression analysis. Latent class growth analysis (LCGA) was used to classify PE trajectories, and the characteristics of each latent class were compared.

Results: In total, 386 patients were enrolled over 3 years, of whom 113 (29.3%) developed poor outcomes. These patients had significantly higher average PE drainage volumes on days 2-4 (1.7 vs. 1.2 mL/kg/day; p = 0.002) and days 5-7 (0.9 vs. 0 mL/kg/day; p < 0.001). Average PE drainage volumes during the first 2-4 and 5-7 days were associated with poor outcomes (odds ratio (OR) = 1.10 (95% confidence interval (CI): 1.02-1.20); p = 0.014 and 1.19 (95% CI: 1.08-1.32); p < 0.001, respectively). LCGA identified three distinct PE drainage trajectory classes: persistently high (Class 1, n = 39), gradually declining from high to low (Class 2, n = 128), and persistently low (Class 3, n = 219). Among these, Class 1 had the highest mortality and poor outcome risks.

Conclusions: A trend in PE formation demonstrated a strong correlation with mortality and poor outcomes in patients who underwent cardiac surgery. Patients with persistently high PE drainage volumes required close monitoring and attention.

求助全文
通过发布文献求助,成功后即可免费获取论文全文。 去求助
来源期刊
Reviews in cardiovascular medicine
Reviews in cardiovascular medicine 医学-心血管系统
CiteScore
2.70
自引率
3.70%
发文量
377
审稿时长
1 months
期刊介绍: RCM is an international, peer-reviewed, open access journal. RCM publishes research articles, review papers and short communications on cardiovascular medicine as well as research on cardiovascular disease. We aim to provide a forum for publishing papers which explore the pathogenesis and promote the progression of cardiac and vascular diseases. We also seek to establish an interdisciplinary platform, focusing on translational issues, to facilitate the advancement of research, clinical treatment and diagnostic procedures. Heart surgery, cardiovascular imaging, risk factors and various clinical cardiac & vascular research will be considered.
×
引用
GB/T 7714-2015
复制
MLA
复制
APA
复制
导出至
BibTeX EndNote RefMan NoteFirst NoteExpress
×
提示
您的信息不完整,为了账户安全,请先补充。
现在去补充
×
提示
您因"违规操作"
具体请查看互助需知
我知道了
×
提示
确定
请完成安全验证×
copy
已复制链接
快去分享给好友吧!
我知道了
右上角分享
点击右上角分享
0
联系我们:info@booksci.cn Book学术提供免费学术资源搜索服务,方便国内外学者检索中英文文献。致力于提供最便捷和优质的服务体验。 Copyright © 2023 布克学术 All rights reserved.
京ICP备2023020795号-1
ghs 京公网安备 11010802042870号
Book学术文献互助
Book学术文献互助群
群 号:604180095
Book学术官方微信