平均血小板体积作为房颤患者左心房附件血栓抵抗溶解的预测指标:12个月随访结果

IF 1.3 4区 医学 Q3 CARDIAC & CARDIOVASCULAR SYSTEMS
Reviews in cardiovascular medicine Pub Date : 2025-06-27 eCollection Date: 2025-06-01 DOI:10.31083/RCM38943
Tatiana P Gizatulina, Alfira V Belokurova, Aleksandra V Mamarina, Natalia Yu Khorkova, Elena A Gorbatenko
{"title":"平均血小板体积作为房颤患者左心房附件血栓抵抗溶解的预测指标:12个月随访结果","authors":"Tatiana P Gizatulina, Alfira V Belokurova, Aleksandra V Mamarina, Natalia Yu Khorkova, Elena A Gorbatenko","doi":"10.31083/RCM38943","DOIUrl":null,"url":null,"abstract":"<p><strong>Background: </strong>Left atrial appendage thrombosis (LAAT), a contraindication to catheter ablation (CA), is a major problem in patients with non-valvular atrial fibrillation (AF). This study aimed to investigate the dynamics of LAAT and identify the factors associated with resistance to LAAT resolution over a 12-month period.</p><p><strong>Methods: </strong>A total of 83 of the 2766 patients with AF who underwent transesophageal echocardiography (TEE) before CA (median age, 62 years; 49 men) participated in follow-up studies. All patients received oral anticoagulants (OACs) and underwent a general clinical examination, which included a complete blood count, biochemical tests, and transthoracic echocardiography. In total, 39 patients (47%) had paroxysmal AF, and 44 patients (53%) had persistent AF.</p><p><strong>Results: </strong>Patients were divided into two groups based on dynamic TEE monitoring: Group 1 (n = 45), comprising patients whose LAAT resolved within 12 months, and Group 2 (n = 38), consisting of patients whose LAAT persisted until the end of the follow-up study. No significant differences were observed in age, sex, and incidence of cardiovascular disease between the groups. However, Group 2 patients were more likely to administer beta-blockers, diuretics, and rivaroxaban at the start of the study. The OACs were altered in 65 patients due to the repeated detection of LAAT. Comparative analysis revealed that Group 2 patients had higher right atrial volume index, N-terminal pro-brain natriuretic peptide (NT-proBNP) levels, mean platelet volume (MPV), platelet distribution width, and platelet-large cell ratio. Multivariate logistic regression analysis was used to derive a prediction model for LAAT resistance, which included three independent predictors: diuretics intake (odds ratio (OR) 3.800, 95% confidence interval (CI) 1.281-11.275; <i>p</i> = 0.016), NT-proBNP level (OR 1.001, 95% CI 1.000-1.001; <i>p</i> = 0.015), and MPV (OR 1.892, 95% CI 1.056-3.387; <i>p</i> = 0.032). The receiver operating characteristic (ROC) analysis confirmed the good quality of the model: Area under the ROC curve (AUC) 0.789, specificity 72.7%, and sensitivity 73.3%.</p><p><strong>Conclusions: </strong>This study confirmed that approximately 47% LAAT remains resistant to lysis 1 year after initial detection in patients with AF, regardless of the use of OACs. To our knowledge, this is the first time that platelet morphofunctional parameters, particularly MPV, have been identified as predictors of LAAT lysis resistance, and further research in this direction is needed.</p>","PeriodicalId":20989,"journal":{"name":"Reviews in cardiovascular medicine","volume":"26 6","pages":"38943"},"PeriodicalIF":1.3000,"publicationDate":"2025-06-27","publicationTypes":"Journal Article","fieldsOfStudy":null,"isOpenAccess":false,"openAccessPdf":"https://www.ncbi.nlm.nih.gov/pmc/articles/PMC12230819/pdf/","citationCount":"0","resultStr":"{\"title\":\"Mean Platelet Volume as a Predictor of Left Atrial Appendage Thrombus Resistance to Lysis in Patients With Atrial Fibrillation: Results of a 12-Month Follow-Up.\",\"authors\":\"Tatiana P Gizatulina, Alfira V Belokurova, Aleksandra V Mamarina, Natalia Yu Khorkova, Elena A Gorbatenko\",\"doi\":\"10.31083/RCM38943\",\"DOIUrl\":null,\"url\":null,\"abstract\":\"<p><strong>Background: </strong>Left atrial appendage thrombosis (LAAT), a contraindication to catheter ablation (CA), is a major problem in patients with non-valvular atrial fibrillation (AF). This study aimed to investigate the dynamics of LAAT and identify the factors associated with resistance to LAAT resolution over a 12-month period.</p><p><strong>Methods: </strong>A total of 83 of the 2766 patients with AF who underwent transesophageal echocardiography (TEE) before CA (median age, 62 years; 49 men) participated in follow-up studies. All patients received oral anticoagulants (OACs) and underwent a general clinical examination, which included a complete blood count, biochemical tests, and transthoracic echocardiography. In total, 39 patients (47%) had paroxysmal AF, and 44 patients (53%) had persistent AF.</p><p><strong>Results: </strong>Patients were divided into two groups based on dynamic TEE monitoring: Group 1 (n = 45), comprising patients whose LAAT resolved within 12 months, and Group 2 (n = 38), consisting of patients whose LAAT persisted until the end of the follow-up study. No significant differences were observed in age, sex, and incidence of cardiovascular disease between the groups. However, Group 2 patients were more likely to administer beta-blockers, diuretics, and rivaroxaban at the start of the study. The OACs were altered in 65 patients due to the repeated detection of LAAT. Comparative analysis revealed that Group 2 patients had higher right atrial volume index, N-terminal pro-brain natriuretic peptide (NT-proBNP) levels, mean platelet volume (MPV), platelet distribution width, and platelet-large cell ratio. Multivariate logistic regression analysis was used to derive a prediction model for LAAT resistance, which included three independent predictors: diuretics intake (odds ratio (OR) 3.800, 95% confidence interval (CI) 1.281-11.275; <i>p</i> = 0.016), NT-proBNP level (OR 1.001, 95% CI 1.000-1.001; <i>p</i> = 0.015), and MPV (OR 1.892, 95% CI 1.056-3.387; <i>p</i> = 0.032). The receiver operating characteristic (ROC) analysis confirmed the good quality of the model: Area under the ROC curve (AUC) 0.789, specificity 72.7%, and sensitivity 73.3%.</p><p><strong>Conclusions: </strong>This study confirmed that approximately 47% LAAT remains resistant to lysis 1 year after initial detection in patients with AF, regardless of the use of OACs. To our knowledge, this is the first time that platelet morphofunctional parameters, particularly MPV, have been identified as predictors of LAAT lysis resistance, and further research in this direction is needed.</p>\",\"PeriodicalId\":20989,\"journal\":{\"name\":\"Reviews in cardiovascular medicine\",\"volume\":\"26 6\",\"pages\":\"38943\"},\"PeriodicalIF\":1.3000,\"publicationDate\":\"2025-06-27\",\"publicationTypes\":\"Journal Article\",\"fieldsOfStudy\":null,\"isOpenAccess\":false,\"openAccessPdf\":\"https://www.ncbi.nlm.nih.gov/pmc/articles/PMC12230819/pdf/\",\"citationCount\":\"0\",\"resultStr\":null,\"platform\":\"Semanticscholar\",\"paperid\":null,\"PeriodicalName\":\"Reviews in cardiovascular medicine\",\"FirstCategoryId\":\"3\",\"ListUrlMain\":\"https://doi.org/10.31083/RCM38943\",\"RegionNum\":4,\"RegionCategory\":\"医学\",\"ArticlePicture\":[],\"TitleCN\":null,\"AbstractTextCN\":null,\"PMCID\":null,\"EPubDate\":\"2025/6/1 0:00:00\",\"PubModel\":\"eCollection\",\"JCR\":\"Q3\",\"JCRName\":\"CARDIAC & CARDIOVASCULAR SYSTEMS\",\"Score\":null,\"Total\":0}","platform":"Semanticscholar","paperid":null,"PeriodicalName":"Reviews in cardiovascular medicine","FirstCategoryId":"3","ListUrlMain":"https://doi.org/10.31083/RCM38943","RegionNum":4,"RegionCategory":"医学","ArticlePicture":[],"TitleCN":null,"AbstractTextCN":null,"PMCID":null,"EPubDate":"2025/6/1 0:00:00","PubModel":"eCollection","JCR":"Q3","JCRName":"CARDIAC & CARDIOVASCULAR SYSTEMS","Score":null,"Total":0}
引用次数: 0

摘要

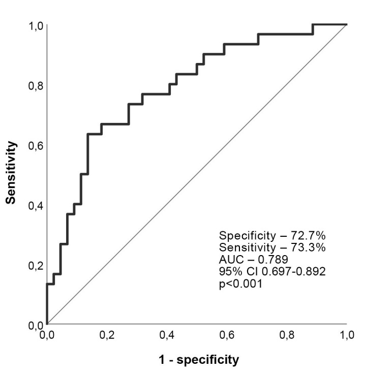
背景:左心房附件血栓形成(LAAT)是导管消融(CA)的禁忌症,是非瓣膜性心房颤动(AF)患者的主要问题。本研究旨在调查LAAT的动态,并确定在12个月期间抵抗LAAT解决的相关因素。方法:2766例房颤患者中,共有83例在CA前接受了经食管超声心动图(TEE)检查(中位年龄62岁;49名男性)参加了后续研究。所有患者均接受口服抗凝剂(OACs)治疗,并接受常规临床检查,包括全血细胞计数、生化检查和经胸超声心动图检查。结果:根据TEE动态监测将患者分为两组:1组(n = 45), LAAT在12个月内消退;2组(n = 38), LAAT持续至随访研究结束。两组在年龄、性别和心血管疾病发生率方面没有显著差异。然而,在研究开始时,2组患者更有可能使用受体阻滞剂、利尿剂和利伐沙班。由于反复检测LAAT, 65例患者的oac发生改变。对比分析发现,2组患者右心房容积指数、n端脑利钠肽前体(NT-proBNP)水平、平均血小板体积(MPV)、血小板分布宽度、血小板-大细胞比均较高。多因素logistic回归分析建立了LAAT耐药预测模型,该模型包括3个独立预测因子:利尿剂摄入(优势比(OR) 3.800, 95%可信区间(CI) 1.281 ~ 11.275;p = 0.016), NT-proBNP水平(OR 1.001, 95% CI 1.000-1.001;p = 0.015), MPV (OR 1.892, 95% CI 1.056-3.387;P = 0.032)。受试者工作特征(ROC)分析证实了该模型的良好质量:ROC曲线下面积(AUC) 0.789,特异性72.7%,敏感性73.3%。结论:该研究证实,在AF患者中,无论是否使用OACs,大约47%的LAAT在首次检测1年后仍对溶解具有耐药性。据我们所知,这是血小板形态功能参数,特别是MPV,首次被确定为LAAT裂解抗性的预测因子,需要在这个方向上进一步研究。
本文章由计算机程序翻译,如有差异,请以英文原文为准。

Mean Platelet Volume as a Predictor of Left Atrial Appendage Thrombus Resistance to Lysis in Patients With Atrial Fibrillation: Results of a 12-Month Follow-Up.

Mean Platelet Volume as a Predictor of Left Atrial Appendage Thrombus Resistance to Lysis in Patients With Atrial Fibrillation: Results of a 12-Month Follow-Up.

Mean Platelet Volume as a Predictor of Left Atrial Appendage Thrombus Resistance to Lysis in Patients With Atrial Fibrillation: Results of a 12-Month Follow-Up.

Background: Left atrial appendage thrombosis (LAAT), a contraindication to catheter ablation (CA), is a major problem in patients with non-valvular atrial fibrillation (AF). This study aimed to investigate the dynamics of LAAT and identify the factors associated with resistance to LAAT resolution over a 12-month period.

Methods: A total of 83 of the 2766 patients with AF who underwent transesophageal echocardiography (TEE) before CA (median age, 62 years; 49 men) participated in follow-up studies. All patients received oral anticoagulants (OACs) and underwent a general clinical examination, which included a complete blood count, biochemical tests, and transthoracic echocardiography. In total, 39 patients (47%) had paroxysmal AF, and 44 patients (53%) had persistent AF.

Results: Patients were divided into two groups based on dynamic TEE monitoring: Group 1 (n = 45), comprising patients whose LAAT resolved within 12 months, and Group 2 (n = 38), consisting of patients whose LAAT persisted until the end of the follow-up study. No significant differences were observed in age, sex, and incidence of cardiovascular disease between the groups. However, Group 2 patients were more likely to administer beta-blockers, diuretics, and rivaroxaban at the start of the study. The OACs were altered in 65 patients due to the repeated detection of LAAT. Comparative analysis revealed that Group 2 patients had higher right atrial volume index, N-terminal pro-brain natriuretic peptide (NT-proBNP) levels, mean platelet volume (MPV), platelet distribution width, and platelet-large cell ratio. Multivariate logistic regression analysis was used to derive a prediction model for LAAT resistance, which included three independent predictors: diuretics intake (odds ratio (OR) 3.800, 95% confidence interval (CI) 1.281-11.275; p = 0.016), NT-proBNP level (OR 1.001, 95% CI 1.000-1.001; p = 0.015), and MPV (OR 1.892, 95% CI 1.056-3.387; p = 0.032). The receiver operating characteristic (ROC) analysis confirmed the good quality of the model: Area under the ROC curve (AUC) 0.789, specificity 72.7%, and sensitivity 73.3%.

Conclusions: This study confirmed that approximately 47% LAAT remains resistant to lysis 1 year after initial detection in patients with AF, regardless of the use of OACs. To our knowledge, this is the first time that platelet morphofunctional parameters, particularly MPV, have been identified as predictors of LAAT lysis resistance, and further research in this direction is needed.

求助全文
通过发布文献求助,成功后即可免费获取论文全文。 去求助
来源期刊
Reviews in cardiovascular medicine
Reviews in cardiovascular medicine 医学-心血管系统
CiteScore
2.70
自引率
3.70%
发文量
377
审稿时长
1 months
期刊介绍: RCM is an international, peer-reviewed, open access journal. RCM publishes research articles, review papers and short communications on cardiovascular medicine as well as research on cardiovascular disease. We aim to provide a forum for publishing papers which explore the pathogenesis and promote the progression of cardiac and vascular diseases. We also seek to establish an interdisciplinary platform, focusing on translational issues, to facilitate the advancement of research, clinical treatment and diagnostic procedures. Heart surgery, cardiovascular imaging, risk factors and various clinical cardiac & vascular research will be considered.
×
引用
GB/T 7714-2015
复制
MLA
复制
APA
复制
导出至
BibTeX EndNote RefMan NoteFirst NoteExpress
×
提示
您的信息不完整,为了账户安全,请先补充。
现在去补充
×
提示
您因"违规操作"
具体请查看互助需知
我知道了
×
提示
确定
请完成安全验证×
copy
已复制链接
快去分享给好友吧!
我知道了
右上角分享
点击右上角分享
0
联系我们:info@booksci.cn Book学术提供免费学术资源搜索服务,方便国内外学者检索中英文文献。致力于提供最便捷和优质的服务体验。 Copyright © 2023 布克学术 All rights reserved.
京ICP备2023020795号-1
ghs 京公网安备 11010802042870号
Book学术文献互助
Book学术文献互助群
群 号:604180095
Book学术官方微信