nivolumab联合化疗治疗未治疗的晚期或复发性胃癌的有效性和安全性观察性研究:G-KNIGHT研究。

IF 5.1 1区 医学 Q1 GASTROENTEROLOGY & HEPATOLOGY
Gastric Cancer Pub Date : 2025-09-01 Epub Date: 2025-07-09 DOI:10.1007/s10120-025-01641-7
Shigenori Kadowaki, Tomoyuki Otsuka, Keiko Minashi, Shinichi Nishina, Hiroshi Yabusaki, Chiaki Inagaki, Tomohiro Nishina, Hisateru Yasui, Hiroshi Matsuoka, Nozomu Machida, Masahiro Tsuda, Fumio Nagashima, Hisashi Hosaka, Junichi Matsubara, Hiroyuki Arai, Satoshi Ida, Yuya Kimijima, Yuko Matsuda, Manabu Muto, Kei Muro
{"title":"nivolumab联合化疗治疗未治疗的晚期或复发性胃癌的有效性和安全性观察性研究:G-KNIGHT研究。","authors":"Shigenori Kadowaki, Tomoyuki Otsuka, Keiko Minashi, Shinichi Nishina, Hiroshi Yabusaki, Chiaki Inagaki, Tomohiro Nishina, Hisateru Yasui, Hiroshi Matsuoka, Nozomu Machida, Masahiro Tsuda, Fumio Nagashima, Hisashi Hosaka, Junichi Matsubara, Hiroyuki Arai, Satoshi Ida, Yuya Kimijima, Yuko Matsuda, Manabu Muto, Kei Muro","doi":"10.1007/s10120-025-01641-7","DOIUrl":null,"url":null,"abstract":"<p><strong>Background: </strong>Nivolumab plus chemotherapy has shown efficacy in clinical trials for advanced or recurrent gastric cancer (GC). However, real-world utilization data are limited. In this study, we aimed to assess the effectiveness, safety, and treatment status of first line nivolumab plus chemotherapy in Japanese patients with treatment-naïve advanced or recurrent GC.</p><p><strong>Methods: </strong>Untreated patients with advanced or recurrent GC who initiated nivolumab plus chemotherapy as first line treatment from November 2021 to June 2023 across 23 Japanese sites were enrolled in this observational study (G-KNIGHT). This report focused on the objective response rate (ORR), real-world progression-free survival (rwPFS), and the treatment-related adverse event (TRAE) incidence. Furthermore, subgroup analyses for ORR and rwPFS were conducted for patients stratified by various factors including age and the programmed cell death ligand 1 (PD-L1) combined positive score (CPS).</p><p><strong>Results: </strong>Among 527 patients (median age, 70.3 years; 25.2% aged ≥ 75 years; 65.5% male; 84.3% with advanced GC), the median follow-up period was 10.4 (interquartile range, 6.7-15.2) months. The ORR was 65.6% (95% confidence interval [CI], 59.9-70.9%). The median rwPFS (months, 95% CI) was 6.9 (6.2-7.6); by subgroups: age < 75 years, 6.7 (6.0-7.5); age ≥ 75 years, 7.4 (6.2-8.6); PD-L1 CPS < 1, 7.5 (6.5-9.0); CPS 1-5, 6.2 (5.5-8.0); and CPS ≥ 5, 7.0 (6.2-8.2). TRAEs occurred in 91.3% of patients, with 40.4% experiencing grade ≥ 3 events.</p><p><strong>Conclusions: </strong>This large-scale real-world study supports the effectiveness and safety of nivolumab plus chemotherapy in untreated Japanese patients with advanced or recurrent GC.</p>","PeriodicalId":12684,"journal":{"name":"Gastric Cancer","volume":" ","pages":"955-967"},"PeriodicalIF":5.1000,"publicationDate":"2025-09-01","publicationTypes":"Journal Article","fieldsOfStudy":null,"isOpenAccess":false,"openAccessPdf":"https://www.ncbi.nlm.nih.gov/pmc/articles/PMC12378153/pdf/","citationCount":"0","resultStr":"{\"title\":\"An observational study of the effectiveness and safety of nivolumab plus chemotherapy for untreated advanced or recurrent gastric cancer in Japanese real-world settings: the G-KNIGHT study.\",\"authors\":\"Shigenori Kadowaki, Tomoyuki Otsuka, Keiko Minashi, Shinichi Nishina, Hiroshi Yabusaki, Chiaki Inagaki, Tomohiro Nishina, Hisateru Yasui, Hiroshi Matsuoka, Nozomu Machida, Masahiro Tsuda, Fumio Nagashima, Hisashi Hosaka, Junichi Matsubara, Hiroyuki Arai, Satoshi Ida, Yuya Kimijima, Yuko Matsuda, Manabu Muto, Kei Muro\",\"doi\":\"10.1007/s10120-025-01641-7\",\"DOIUrl\":null,\"url\":null,\"abstract\":\"<p><strong>Background: </strong>Nivolumab plus chemotherapy has shown efficacy in clinical trials for advanced or recurrent gastric cancer (GC). However, real-world utilization data are limited. In this study, we aimed to assess the effectiveness, safety, and treatment status of first line nivolumab plus chemotherapy in Japanese patients with treatment-naïve advanced or recurrent GC.</p><p><strong>Methods: </strong>Untreated patients with advanced or recurrent GC who initiated nivolumab plus chemotherapy as first line treatment from November 2021 to June 2023 across 23 Japanese sites were enrolled in this observational study (G-KNIGHT). This report focused on the objective response rate (ORR), real-world progression-free survival (rwPFS), and the treatment-related adverse event (TRAE) incidence. Furthermore, subgroup analyses for ORR and rwPFS were conducted for patients stratified by various factors including age and the programmed cell death ligand 1 (PD-L1) combined positive score (CPS).</p><p><strong>Results: </strong>Among 527 patients (median age, 70.3 years; 25.2% aged ≥ 75 years; 65.5% male; 84.3% with advanced GC), the median follow-up period was 10.4 (interquartile range, 6.7-15.2) months. The ORR was 65.6% (95% confidence interval [CI], 59.9-70.9%). The median rwPFS (months, 95% CI) was 6.9 (6.2-7.6); by subgroups: age < 75 years, 6.7 (6.0-7.5); age ≥ 75 years, 7.4 (6.2-8.6); PD-L1 CPS < 1, 7.5 (6.5-9.0); CPS 1-5, 6.2 (5.5-8.0); and CPS ≥ 5, 7.0 (6.2-8.2). TRAEs occurred in 91.3% of patients, with 40.4% experiencing grade ≥ 3 events.</p><p><strong>Conclusions: </strong>This large-scale real-world study supports the effectiveness and safety of nivolumab plus chemotherapy in untreated Japanese patients with advanced or recurrent GC.</p>\",\"PeriodicalId\":12684,\"journal\":{\"name\":\"Gastric Cancer\",\"volume\":\" \",\"pages\":\"955-967\"},\"PeriodicalIF\":5.1000,\"publicationDate\":\"2025-09-01\",\"publicationTypes\":\"Journal Article\",\"fieldsOfStudy\":null,\"isOpenAccess\":false,\"openAccessPdf\":\"https://www.ncbi.nlm.nih.gov/pmc/articles/PMC12378153/pdf/\",\"citationCount\":\"0\",\"resultStr\":null,\"platform\":\"Semanticscholar\",\"paperid\":null,\"PeriodicalName\":\"Gastric Cancer\",\"FirstCategoryId\":\"3\",\"ListUrlMain\":\"https://doi.org/10.1007/s10120-025-01641-7\",\"RegionNum\":1,\"RegionCategory\":\"医学\",\"ArticlePicture\":[],\"TitleCN\":null,\"AbstractTextCN\":null,\"PMCID\":null,\"EPubDate\":\"2025/7/9 0:00:00\",\"PubModel\":\"Epub\",\"JCR\":\"Q1\",\"JCRName\":\"GASTROENTEROLOGY & HEPATOLOGY\",\"Score\":null,\"Total\":0}","platform":"Semanticscholar","paperid":null,"PeriodicalName":"Gastric Cancer","FirstCategoryId":"3","ListUrlMain":"https://doi.org/10.1007/s10120-025-01641-7","RegionNum":1,"RegionCategory":"医学","ArticlePicture":[],"TitleCN":null,"AbstractTextCN":null,"PMCID":null,"EPubDate":"2025/7/9 0:00:00","PubModel":"Epub","JCR":"Q1","JCRName":"GASTROENTEROLOGY & HEPATOLOGY","Score":null,"Total":0}
引用次数: 0

摘要

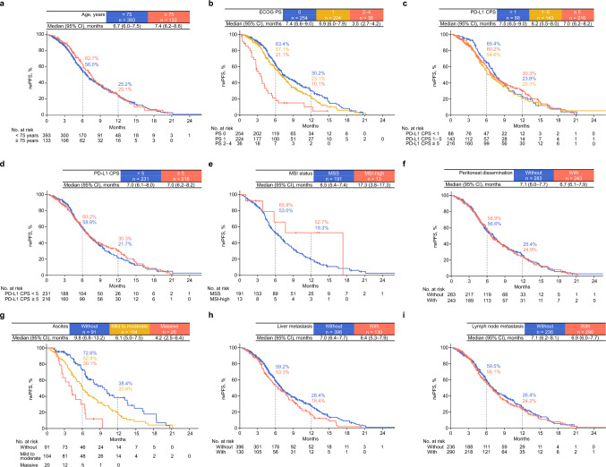
背景:纳武单抗联合化疗在晚期或复发性胃癌(GC)的临床试验中显示出疗效。然而,实际的利用率数据是有限的。在这项研究中,我们旨在评估一线纳武单抗加化疗在日本treatment-naïve晚期或复发性GC患者中的有效性、安全性和治疗状况。方法:从2021年11月至2023年6月,在日本23个地点,未经治疗的晚期或复发性胃癌患者开始了纳武单抗加化疗作为一线治疗,纳入了这项观察性研究(G-KNIGHT)。本报告主要关注客观缓解率(ORR)、真实无进展生存期(rwPFS)和治疗相关不良事件(TRAE)发生率。此外,对按年龄和程序性细胞死亡配体1 (PD-L1)联合阳性评分(CPS)等各种因素分层的患者进行ORR和rwPFS的亚组分析。结果:527例患者中位年龄70.3岁;25.2%年龄≥75岁;男性65.5%;84.3%为晚期GC),中位随访时间为10.4个月(四分位数间距6.7-15.2个月)。ORR为65.6%(95%可信区间[CI], 59.9-70.9%)。中位rwPFS(月,95% CI)为6.9 (6.2-7.6);结论:这项大规模的现实世界研究支持nivolumab联合化疗治疗未经治疗的晚期或复发性胃癌的有效性和安全性。
本文章由计算机程序翻译,如有差异,请以英文原文为准。

An observational study of the effectiveness and safety of nivolumab plus chemotherapy for untreated advanced or recurrent gastric cancer in Japanese real-world settings: the G-KNIGHT study.

An observational study of the effectiveness and safety of nivolumab plus chemotherapy for untreated advanced or recurrent gastric cancer in Japanese real-world settings: the G-KNIGHT study.

An observational study of the effectiveness and safety of nivolumab plus chemotherapy for untreated advanced or recurrent gastric cancer in Japanese real-world settings: the G-KNIGHT study.

An observational study of the effectiveness and safety of nivolumab plus chemotherapy for untreated advanced or recurrent gastric cancer in Japanese real-world settings: the G-KNIGHT study.

Background: Nivolumab plus chemotherapy has shown efficacy in clinical trials for advanced or recurrent gastric cancer (GC). However, real-world utilization data are limited. In this study, we aimed to assess the effectiveness, safety, and treatment status of first line nivolumab plus chemotherapy in Japanese patients with treatment-naïve advanced or recurrent GC.

Methods: Untreated patients with advanced or recurrent GC who initiated nivolumab plus chemotherapy as first line treatment from November 2021 to June 2023 across 23 Japanese sites were enrolled in this observational study (G-KNIGHT). This report focused on the objective response rate (ORR), real-world progression-free survival (rwPFS), and the treatment-related adverse event (TRAE) incidence. Furthermore, subgroup analyses for ORR and rwPFS were conducted for patients stratified by various factors including age and the programmed cell death ligand 1 (PD-L1) combined positive score (CPS).

Results: Among 527 patients (median age, 70.3 years; 25.2% aged ≥ 75 years; 65.5% male; 84.3% with advanced GC), the median follow-up period was 10.4 (interquartile range, 6.7-15.2) months. The ORR was 65.6% (95% confidence interval [CI], 59.9-70.9%). The median rwPFS (months, 95% CI) was 6.9 (6.2-7.6); by subgroups: age < 75 years, 6.7 (6.0-7.5); age ≥ 75 years, 7.4 (6.2-8.6); PD-L1 CPS < 1, 7.5 (6.5-9.0); CPS 1-5, 6.2 (5.5-8.0); and CPS ≥ 5, 7.0 (6.2-8.2). TRAEs occurred in 91.3% of patients, with 40.4% experiencing grade ≥ 3 events.

Conclusions: This large-scale real-world study supports the effectiveness and safety of nivolumab plus chemotherapy in untreated Japanese patients with advanced or recurrent GC.

求助全文
通过发布文献求助,成功后即可免费获取论文全文。 去求助
来源期刊
Gastric Cancer
Gastric Cancer 医学-胃肠肝病学
CiteScore
14.70
自引率
2.70%
发文量
80
审稿时长
6-12 weeks
期刊介绍: Gastric Cancer is an esteemed global forum that focuses on various aspects of gastric cancer research, treatment, and biology worldwide. The journal promotes a diverse range of content, including original articles, case reports, short communications, and technical notes. It also welcomes Letters to the Editor discussing published articles or sharing viewpoints on gastric cancer topics. Review articles are predominantly sought after by the Editor, ensuring comprehensive coverage of the field. With a dedicated and knowledgeable editorial team, the journal is committed to providing exceptional support and ensuring high levels of author satisfaction. In fact, over 90% of published authors have expressed their intent to publish again in our esteemed journal.
×
引用
GB/T 7714-2015
复制
MLA
复制
APA
复制
导出至
BibTeX EndNote RefMan NoteFirst NoteExpress
×
提示
您的信息不完整,为了账户安全,请先补充。
现在去补充
×
提示
您因"违规操作"
具体请查看互助需知
我知道了
×
提示
确定
请完成安全验证×
copy
已复制链接
快去分享给好友吧!
我知道了
右上角分享
点击右上角分享
0
联系我们:info@booksci.cn Book学术提供免费学术资源搜索服务,方便国内外学者检索中英文文献。致力于提供最便捷和优质的服务体验。 Copyright © 2023 布克学术 All rights reserved.
京ICP备2023020795号-1
ghs 京公网安备 11010802042870号
Book学术文献互助
Book学术文献互助群
群 号:604180095
Book学术官方微信