2000年至2023年意大利儿科疫苗接种覆盖率趋势。

IF 3.9 3区 医学 Q1 PUBLIC, ENVIRONMENTAL & OCCUPATIONAL HEALTH
Leonardo Villani, Francesco Andrea Causio, Cosimo Savoia, Roberta Pastorino, Walter Ricciardi, Stefania Boccia, Chiara de Waure
{"title":"2000年至2023年意大利儿科疫苗接种覆盖率趋势。","authors":"Leonardo Villani, Francesco Andrea Causio, Cosimo Savoia, Roberta Pastorino, Walter Ricciardi, Stefania Boccia, Chiara de Waure","doi":"10.1093/eurpub/ckaf107","DOIUrl":null,"url":null,"abstract":"<p><p>Vaccination represents one of the most effective public health interventions. However, a decrease in pediatric vaccination coverage has been observed in Italy, with an increase in vaccine-preventable infectious diseases. To counter this phenomenon, the Italian government approved a compulsory vaccination law in 2017, increasing the number of mandatory vaccinations from four to 10. This study analyzes the trends of vaccination coverages in Italy from 2000 to 2023, with a focus on the impact of the law. Vaccination coverage data were obtained from the Italian Ministry of Health, sorted by antigen. A linear regression and joinpoint regression analysis was performed for each antigen to identify a significant or non-significant change (increase or decrease) in the trend. Vaccination coverages declined steadily until 2015, but with the introduction of the law 119/2017, there was an increase for all antigens, ranging from 1.05% for tetanus to 5.30% for rubella. During the years of the COVID-19 pandemic, a decline in coverage was observed for all antigens, with values ranging from -0.24% for varicella to -2.39% for rubella. Implementing vaccine mandates seem to be useful for increasing vaccination coverages. Likewise, this study showed the negative impact of the COVID-19 pandemic on primary healthcare services, such as vaccination, contributing to a decline in coverage. Health systems should measure vaccination coverages and monitor changes and variations to be resilient toward external stressors and be proactive in tackling crises.</p>","PeriodicalId":12059,"journal":{"name":"European Journal of Public Health","volume":" ","pages":"781-787"},"PeriodicalIF":3.9000,"publicationDate":"2025-08-01","publicationTypes":"Journal Article","fieldsOfStudy":null,"isOpenAccess":false,"openAccessPdf":"https://www.ncbi.nlm.nih.gov/pmc/articles/PMC12311356/pdf/","citationCount":"0","resultStr":"{\"title\":\"Trends in pediatric vaccination coverage in Italy from 2000 to 2023.\",\"authors\":\"Leonardo Villani, Francesco Andrea Causio, Cosimo Savoia, Roberta Pastorino, Walter Ricciardi, Stefania Boccia, Chiara de Waure\",\"doi\":\"10.1093/eurpub/ckaf107\",\"DOIUrl\":null,\"url\":null,\"abstract\":\"<p><p>Vaccination represents one of the most effective public health interventions. However, a decrease in pediatric vaccination coverage has been observed in Italy, with an increase in vaccine-preventable infectious diseases. To counter this phenomenon, the Italian government approved a compulsory vaccination law in 2017, increasing the number of mandatory vaccinations from four to 10. This study analyzes the trends of vaccination coverages in Italy from 2000 to 2023, with a focus on the impact of the law. Vaccination coverage data were obtained from the Italian Ministry of Health, sorted by antigen. A linear regression and joinpoint regression analysis was performed for each antigen to identify a significant or non-significant change (increase or decrease) in the trend. Vaccination coverages declined steadily until 2015, but with the introduction of the law 119/2017, there was an increase for all antigens, ranging from 1.05% for tetanus to 5.30% for rubella. During the years of the COVID-19 pandemic, a decline in coverage was observed for all antigens, with values ranging from -0.24% for varicella to -2.39% for rubella. Implementing vaccine mandates seem to be useful for increasing vaccination coverages. Likewise, this study showed the negative impact of the COVID-19 pandemic on primary healthcare services, such as vaccination, contributing to a decline in coverage. Health systems should measure vaccination coverages and monitor changes and variations to be resilient toward external stressors and be proactive in tackling crises.</p>\",\"PeriodicalId\":12059,\"journal\":{\"name\":\"European Journal of Public Health\",\"volume\":\" \",\"pages\":\"781-787\"},\"PeriodicalIF\":3.9000,\"publicationDate\":\"2025-08-01\",\"publicationTypes\":\"Journal Article\",\"fieldsOfStudy\":null,\"isOpenAccess\":false,\"openAccessPdf\":\"https://www.ncbi.nlm.nih.gov/pmc/articles/PMC12311356/pdf/\",\"citationCount\":\"0\",\"resultStr\":null,\"platform\":\"Semanticscholar\",\"paperid\":null,\"PeriodicalName\":\"European Journal of Public Health\",\"FirstCategoryId\":\"3\",\"ListUrlMain\":\"https://doi.org/10.1093/eurpub/ckaf107\",\"RegionNum\":3,\"RegionCategory\":\"医学\",\"ArticlePicture\":[],\"TitleCN\":null,\"AbstractTextCN\":null,\"PMCID\":null,\"EPubDate\":\"\",\"PubModel\":\"\",\"JCR\":\"Q1\",\"JCRName\":\"PUBLIC, ENVIRONMENTAL & OCCUPATIONAL HEALTH\",\"Score\":null,\"Total\":0}","platform":"Semanticscholar","paperid":null,"PeriodicalName":"European Journal of Public Health","FirstCategoryId":"3","ListUrlMain":"https://doi.org/10.1093/eurpub/ckaf107","RegionNum":3,"RegionCategory":"医学","ArticlePicture":[],"TitleCN":null,"AbstractTextCN":null,"PMCID":null,"EPubDate":"","PubModel":"","JCR":"Q1","JCRName":"PUBLIC, ENVIRONMENTAL & OCCUPATIONAL HEALTH","Score":null,"Total":0}
引用次数: 0

摘要

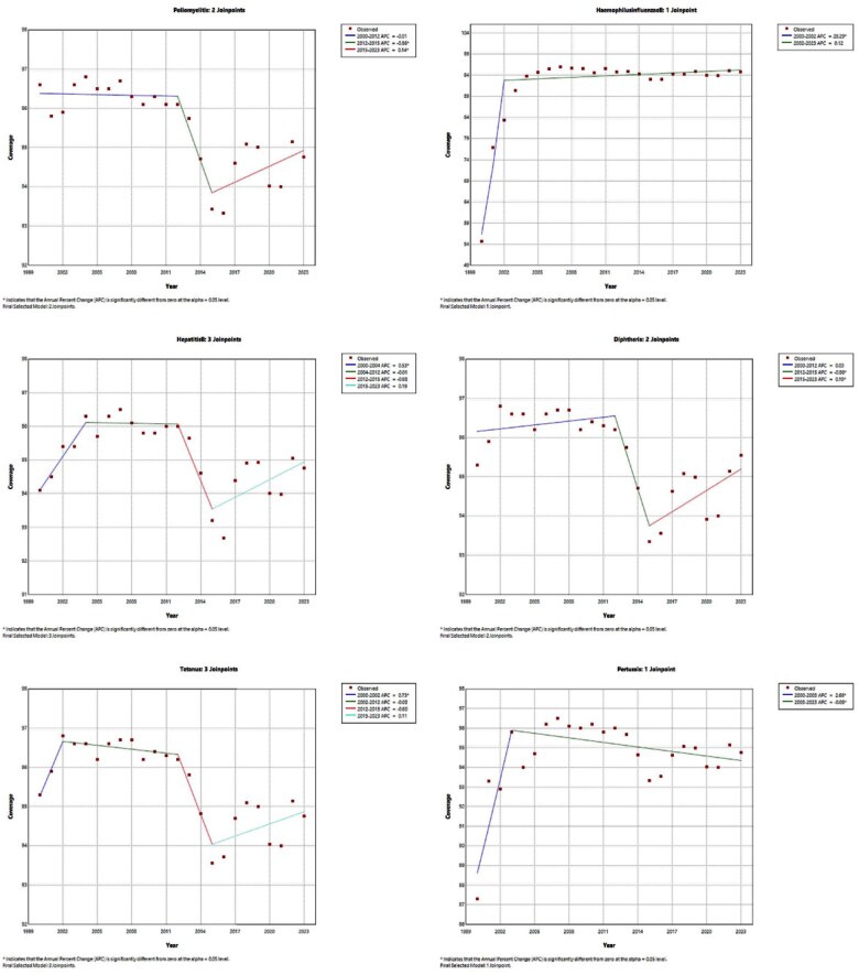
疫苗接种是最有效的公共卫生干预措施之一。然而,意大利的儿科疫苗接种覆盖率有所下降,疫苗可预防的传染病有所增加。为了应对这一现象,意大利政府于2017年通过了一项强制性疫苗接种法,将强制性疫苗接种次数从4次增加到10次。本研究分析了2000年至2023年意大利疫苗接种覆盖率的趋势,重点关注法律的影响。疫苗接种覆盖率数据来自意大利卫生部,按抗原分类。对每种抗原进行线性回归和连接点回归分析,以确定趋势中的显著或非显著变化(增加或减少)。直到2015年,疫苗接种覆盖率稳步下降,但随着第119/2017号法律的实施,所有抗原的疫苗接种覆盖率都有所增加,从破伤风的1.05%到风疹的5.30%不等。在2019冠状病毒病大流行期间,观察到所有抗原的覆盖率都有所下降,水痘的覆盖率为-0.24%,风疹的覆盖率为-2.39%。执行疫苗授权似乎有助于提高疫苗接种覆盖率。同样,这项研究表明,COVID-19大流行对疫苗接种等初级卫生保健服务产生了负面影响,导致覆盖率下降。卫生系统应衡量疫苗接种覆盖率并监测变化和变异,以适应外部压力因素并积极应对危机。
本文章由计算机程序翻译,如有差异,请以英文原文为准。

Trends in pediatric vaccination coverage in Italy from 2000 to 2023.

Trends in pediatric vaccination coverage in Italy from 2000 to 2023.

Trends in pediatric vaccination coverage in Italy from 2000 to 2023.

Vaccination represents one of the most effective public health interventions. However, a decrease in pediatric vaccination coverage has been observed in Italy, with an increase in vaccine-preventable infectious diseases. To counter this phenomenon, the Italian government approved a compulsory vaccination law in 2017, increasing the number of mandatory vaccinations from four to 10. This study analyzes the trends of vaccination coverages in Italy from 2000 to 2023, with a focus on the impact of the law. Vaccination coverage data were obtained from the Italian Ministry of Health, sorted by antigen. A linear regression and joinpoint regression analysis was performed for each antigen to identify a significant or non-significant change (increase or decrease) in the trend. Vaccination coverages declined steadily until 2015, but with the introduction of the law 119/2017, there was an increase for all antigens, ranging from 1.05% for tetanus to 5.30% for rubella. During the years of the COVID-19 pandemic, a decline in coverage was observed for all antigens, with values ranging from -0.24% for varicella to -2.39% for rubella. Implementing vaccine mandates seem to be useful for increasing vaccination coverages. Likewise, this study showed the negative impact of the COVID-19 pandemic on primary healthcare services, such as vaccination, contributing to a decline in coverage. Health systems should measure vaccination coverages and monitor changes and variations to be resilient toward external stressors and be proactive in tackling crises.

求助全文
通过发布文献求助,成功后即可免费获取论文全文。 去求助
来源期刊
European Journal of Public Health
European Journal of Public Health 医学-公共卫生、环境卫生与职业卫生
CiteScore
5.60
自引率
2.30%
发文量
2039
审稿时长
3-8 weeks
期刊介绍: The European Journal of Public Health (EJPH) is a multidisciplinary journal aimed at attracting contributions from epidemiology, health services research, health economics, social sciences, management sciences, ethics and law, environmental health sciences, and other disciplines of relevance to public health. The journal provides a forum for discussion and debate of current international public health issues, with a focus on the European Region. Bi-monthly issues contain peer-reviewed original articles, editorials, commentaries, book reviews, news, letters to the editor, announcements of events, and various other features.
×
引用
GB/T 7714-2015
复制
MLA
复制
APA
复制
导出至
BibTeX EndNote RefMan NoteFirst NoteExpress
×
提示
您的信息不完整,为了账户安全,请先补充。
现在去补充
×
提示
您因"违规操作"
具体请查看互助需知
我知道了
×
提示
确定
请完成安全验证×
copy
已复制链接
快去分享给好友吧!
我知道了
右上角分享
点击右上角分享
0
联系我们:info@booksci.cn Book学术提供免费学术资源搜索服务,方便国内外学者检索中英文文献。致力于提供最便捷和优质的服务体验。 Copyright © 2023 布克学术 All rights reserved.
京ICP备2023020795号-1
ghs 京公网安备 11010802042870号
Book学术文献互助
Book学术文献互助群
群 号:604180095
Book学术官方微信