儿童囊性纤维化的长期运动能力:现代视角。

IF 4 3区 医学 Q1 RESPIRATORY SYSTEM
ERJ Open Research Pub Date : 2025-07-07 eCollection Date: 2025-07-01 DOI:10.1183/23120541.00971-2024
René Gaupmann, Laura Stöger, Klara Schmidthaler, Bianca Pauger, Brigitte Mersi, Alexandra Graf, Zsolt Szépfalusi, Sabine Renner, Eleonora Dehlink, Saskia Gruber
{"title":"儿童囊性纤维化的长期运动能力:现代视角。","authors":"René Gaupmann, Laura Stöger, Klara Schmidthaler, Bianca Pauger, Brigitte Mersi, Alexandra Graf, Zsolt Szépfalusi, Sabine Renner, Eleonora Dehlink, Saskia Gruber","doi":"10.1183/23120541.00971-2024","DOIUrl":null,"url":null,"abstract":"<p><strong>Background: </strong>Maintaining good cardiopulmonary fitness is crucial for global health in cystic fibrosis (CF), but there is limited knowledge about the longitudinal evolution of fitness measures at young ages, particularly with recent therapeutic advances. We investigated trends in exercise test outcomes in young people with CF and how they are influenced by elexacaftor, tezacaftor and ivacaftor (ETI) and the coronavirus disease 2019 (COVID-19) pandemic.</p><p><strong>Methods: </strong>70 young people with CF (12-20 years old) were included in this retrospective observational single-centre study. We reviewed 177 symptom-limited surveillance cardiopulmonary exercise tests (CPETs) conducted on a cycle ergometer between 2010 and 2024. Longitudinal trends in peak oxygen uptake (<i>V</i>'<sub>O<sub>2</sub></sub> <sub>peak</sub>), maximal workload and ventilation were analysed using linear mixed models, separately for periods before and after the COVID-19 pandemic onset and ETI introduction.</p><p><strong>Results: </strong>In ETI-naive people with CF, <i>V</i>'<sub>O<sub>2</sub></sub> <sub>peak</sub> was lower, and the increase from 12 to 20 years was smaller than predicted by validated reference data (p<0.001). 40 people with CF started ETI during the observational period with 46 of 103 tests performed under ETI (median therapy duration 1.6 years, range 0.4-3.9). After ETI introduction, <i>V</i>'<sub>O<sub>2</sub></sub> <sub>peak</sub> improved significantly, whereas ventilation and maximal workload were not relevantly affected. ETI approval coincided with the COVID-19 pandemic, during which a steeper decline of <i>V</i>'<sub>O<sub>2</sub></sub> <sub>peak</sub> in ETI-naive people with CF was observed. However, this potential confounder did not significantly impact the overall longitudinal improvement in <i>V</i>'<sub>O<sub>2</sub></sub> <sub>peak</sub> trajectory following ETI introduction (p<0.05).</p><p><strong>Conclusion: </strong>The longitudinal trend in <i>V</i>'<sub>O<sub>2</sub></sub> <sub>peak</sub> progression from adolescence to young adulthood is impaired in people with CF, but the initiation of ETI can have a positive impact on this trajectory.</p>","PeriodicalId":11739,"journal":{"name":"ERJ Open Research","volume":"11 4","pages":""},"PeriodicalIF":4.0000,"publicationDate":"2025-07-07","publicationTypes":"Journal Article","fieldsOfStudy":null,"isOpenAccess":false,"openAccessPdf":"https://www.ncbi.nlm.nih.gov/pmc/articles/PMC12230750/pdf/","citationCount":"0","resultStr":"{\"title\":\"Long-term exercise capacity in paediatric cystic fibrosis: a modern era perspective.\",\"authors\":\"René Gaupmann, Laura Stöger, Klara Schmidthaler, Bianca Pauger, Brigitte Mersi, Alexandra Graf, Zsolt Szépfalusi, Sabine Renner, Eleonora Dehlink, Saskia Gruber\",\"doi\":\"10.1183/23120541.00971-2024\",\"DOIUrl\":null,\"url\":null,\"abstract\":\"<p><strong>Background: </strong>Maintaining good cardiopulmonary fitness is crucial for global health in cystic fibrosis (CF), but there is limited knowledge about the longitudinal evolution of fitness measures at young ages, particularly with recent therapeutic advances. We investigated trends in exercise test outcomes in young people with CF and how they are influenced by elexacaftor, tezacaftor and ivacaftor (ETI) and the coronavirus disease 2019 (COVID-19) pandemic.</p><p><strong>Methods: </strong>70 young people with CF (12-20 years old) were included in this retrospective observational single-centre study. We reviewed 177 symptom-limited surveillance cardiopulmonary exercise tests (CPETs) conducted on a cycle ergometer between 2010 and 2024. Longitudinal trends in peak oxygen uptake (<i>V</i>'<sub>O<sub>2</sub></sub> <sub>peak</sub>), maximal workload and ventilation were analysed using linear mixed models, separately for periods before and after the COVID-19 pandemic onset and ETI introduction.</p><p><strong>Results: </strong>In ETI-naive people with CF, <i>V</i>'<sub>O<sub>2</sub></sub> <sub>peak</sub> was lower, and the increase from 12 to 20 years was smaller than predicted by validated reference data (p<0.001). 40 people with CF started ETI during the observational period with 46 of 103 tests performed under ETI (median therapy duration 1.6 years, range 0.4-3.9). After ETI introduction, <i>V</i>'<sub>O<sub>2</sub></sub> <sub>peak</sub> improved significantly, whereas ventilation and maximal workload were not relevantly affected. ETI approval coincided with the COVID-19 pandemic, during which a steeper decline of <i>V</i>'<sub>O<sub>2</sub></sub> <sub>peak</sub> in ETI-naive people with CF was observed. However, this potential confounder did not significantly impact the overall longitudinal improvement in <i>V</i>'<sub>O<sub>2</sub></sub> <sub>peak</sub> trajectory following ETI introduction (p<0.05).</p><p><strong>Conclusion: </strong>The longitudinal trend in <i>V</i>'<sub>O<sub>2</sub></sub> <sub>peak</sub> progression from adolescence to young adulthood is impaired in people with CF, but the initiation of ETI can have a positive impact on this trajectory.</p>\",\"PeriodicalId\":11739,\"journal\":{\"name\":\"ERJ Open Research\",\"volume\":\"11 4\",\"pages\":\"\"},\"PeriodicalIF\":4.0000,\"publicationDate\":\"2025-07-07\",\"publicationTypes\":\"Journal Article\",\"fieldsOfStudy\":null,\"isOpenAccess\":false,\"openAccessPdf\":\"https://www.ncbi.nlm.nih.gov/pmc/articles/PMC12230750/pdf/\",\"citationCount\":\"0\",\"resultStr\":null,\"platform\":\"Semanticscholar\",\"paperid\":null,\"PeriodicalName\":\"ERJ Open Research\",\"FirstCategoryId\":\"3\",\"ListUrlMain\":\"https://doi.org/10.1183/23120541.00971-2024\",\"RegionNum\":3,\"RegionCategory\":\"医学\",\"ArticlePicture\":[],\"TitleCN\":null,\"AbstractTextCN\":null,\"PMCID\":null,\"EPubDate\":\"2025/7/1 0:00:00\",\"PubModel\":\"eCollection\",\"JCR\":\"Q1\",\"JCRName\":\"RESPIRATORY SYSTEM\",\"Score\":null,\"Total\":0}","platform":"Semanticscholar","paperid":null,"PeriodicalName":"ERJ Open Research","FirstCategoryId":"3","ListUrlMain":"https://doi.org/10.1183/23120541.00971-2024","RegionNum":3,"RegionCategory":"医学","ArticlePicture":[],"TitleCN":null,"AbstractTextCN":null,"PMCID":null,"EPubDate":"2025/7/1 0:00:00","PubModel":"eCollection","JCR":"Q1","JCRName":"RESPIRATORY SYSTEM","Score":null,"Total":0}
引用次数: 0

摘要

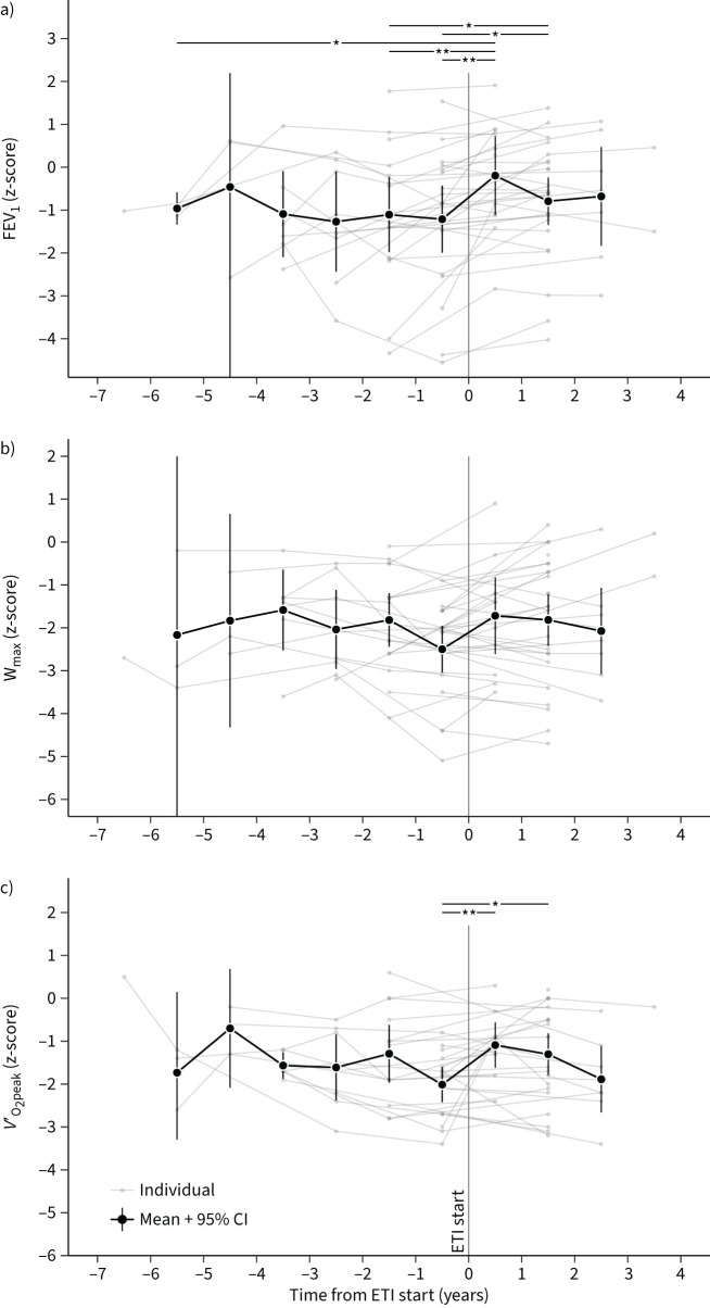
背景:保持良好的心肺适能对囊性纤维化(CF)患者的整体健康至关重要,但关于年轻时适能指标的纵向演变的知识有限,特别是最近的治疗进展。我们调查了年轻CF患者运动测试结果的趋势,以及它们如何受到elexaftor, tezacaftor和ivacaftor (ETI)和2019冠状病毒病(COVID-19)大流行的影响。方法:这项回顾性观察性单中心研究纳入了70例CF青年(12-20岁)。我们回顾了2010年至2024年间在自行车计力器上进行的177例症状限制监测心肺运动试验(cpet)。使用线性混合模型分别分析了COVID-19大流行发病前后和ETI引入前后的峰值摄氧量(V'O2峰值)、最大工作量和通气量的纵向趋势。结果:初诊CF患者的V’o2峰值较低,且12 ~ 20年的增幅小于经验证的参考数据预测(pV’o2峰值显著提高,而通气和最大工作量无相关影响)。ETI的批准恰逢COVID-19大流行,在此期间观察到未使用ETI的CF患者的V'O2峰值急剧下降。然而,这个潜在的混杂因素并没有显著影响ETI引入后V’o2峰值轨迹的整体纵向改善(p结论:CF患者从青春期到青年期V’o2峰值进展的纵向趋势受损,但ETI的开始可以对这一轨迹产生积极影响。
本文章由计算机程序翻译,如有差异,请以英文原文为准。

Long-term exercise capacity in paediatric cystic fibrosis: a modern era perspective.

Long-term exercise capacity in paediatric cystic fibrosis: a modern era perspective.

Long-term exercise capacity in paediatric cystic fibrosis: a modern era perspective.

Long-term exercise capacity in paediatric cystic fibrosis: a modern era perspective.

Background: Maintaining good cardiopulmonary fitness is crucial for global health in cystic fibrosis (CF), but there is limited knowledge about the longitudinal evolution of fitness measures at young ages, particularly with recent therapeutic advances. We investigated trends in exercise test outcomes in young people with CF and how they are influenced by elexacaftor, tezacaftor and ivacaftor (ETI) and the coronavirus disease 2019 (COVID-19) pandemic.

Methods: 70 young people with CF (12-20 years old) were included in this retrospective observational single-centre study. We reviewed 177 symptom-limited surveillance cardiopulmonary exercise tests (CPETs) conducted on a cycle ergometer between 2010 and 2024. Longitudinal trends in peak oxygen uptake (V'O2 peak), maximal workload and ventilation were analysed using linear mixed models, separately for periods before and after the COVID-19 pandemic onset and ETI introduction.

Results: In ETI-naive people with CF, V'O2 peak was lower, and the increase from 12 to 20 years was smaller than predicted by validated reference data (p<0.001). 40 people with CF started ETI during the observational period with 46 of 103 tests performed under ETI (median therapy duration 1.6 years, range 0.4-3.9). After ETI introduction, V'O2 peak improved significantly, whereas ventilation and maximal workload were not relevantly affected. ETI approval coincided with the COVID-19 pandemic, during which a steeper decline of V'O2 peak in ETI-naive people with CF was observed. However, this potential confounder did not significantly impact the overall longitudinal improvement in V'O2 peak trajectory following ETI introduction (p<0.05).

Conclusion: The longitudinal trend in V'O2 peak progression from adolescence to young adulthood is impaired in people with CF, but the initiation of ETI can have a positive impact on this trajectory.

求助全文
通过发布文献求助,成功后即可免费获取论文全文。 去求助
来源期刊
ERJ Open Research
ERJ Open Research Medicine-Pulmonary and Respiratory Medicine
CiteScore
6.20
自引率
4.30%
发文量
273
审稿时长
8 weeks
期刊介绍: ERJ Open Research is a fully open access original research journal, published online by the European Respiratory Society. The journal aims to publish high-quality work in all fields of respiratory science and medicine, covering basic science, clinical translational science and clinical medicine. The journal was created to help fulfil the ERS objective to disseminate scientific and educational material to its members and to the medical community, but also to provide researchers with an affordable open access specialty journal in which to publish their work.
×
引用
GB/T 7714-2015
复制
MLA
复制
APA
复制
导出至
BibTeX EndNote RefMan NoteFirst NoteExpress
×
提示
您的信息不完整,为了账户安全,请先补充。
现在去补充
×
提示
您因"违规操作"
具体请查看互助需知
我知道了
×
提示
确定
请完成安全验证×
copy
已复制链接
快去分享给好友吧!
我知道了
右上角分享
点击右上角分享
0
联系我们:info@booksci.cn Book学术提供免费学术资源搜索服务,方便国内外学者检索中英文文献。致力于提供最便捷和优质的服务体验。 Copyright © 2023 布克学术 All rights reserved.
京ICP备2023020795号-1
ghs 京公网安备 11010802042870号
Book学术文献互助
Book学术文献互助群
群 号:604180095
Book学术官方微信