慢性丙型肝炎患者持续病毒学应答后,代谢功能障碍相关的脂肪变性肝病影响肝细胞癌的发展。

IF 5.5 2区 医学 Q1 GASTROENTEROLOGY & HEPATOLOGY
Journal of Gastroenterology Pub Date : 2025-08-01 Epub Date: 2025-07-07 DOI:10.1007/s00535-025-02270-8
Shintaro Yamasaki, Takashi Nakahara, Masataka Tsuge, Kenji Yamaoka, Yasutoshi Fujii, Shinsuke Uchikawa, Hatsue Fujino, Atsushi Ono, Eisuke Murakami, Tomokazu Kawaoka, Daiki Miki, Shiro Oka
{"title":"慢性丙型肝炎患者持续病毒学应答后,代谢功能障碍相关的脂肪变性肝病影响肝细胞癌的发展。","authors":"Shintaro Yamasaki, Takashi Nakahara, Masataka Tsuge, Kenji Yamaoka, Yasutoshi Fujii, Shinsuke Uchikawa, Hatsue Fujino, Atsushi Ono, Eisuke Murakami, Tomokazu Kawaoka, Daiki Miki, Shiro Oka","doi":"10.1007/s00535-025-02270-8","DOIUrl":null,"url":null,"abstract":"<p><strong>Background: </strong>Despite the high success rate of direct-acting antivirals (DAAs) in achieving sustained virologic response (SVR) in patients with chronic hepatitis C virus (HCV) infection, the risk of hepatocellular carcinoma (HCC) persists in some patients. Cardiometabolic factors, including type 2 diabetes mellitus (T2DM), have been reported as risk factors for de novo HCC after SVR. However, the impact of metabolic dysfunction-associated steatotic liver disease (MASLD) on HCC development after SVR, particularly in Japanese patients, remains unclear.</p><p><strong>Methods: </strong>A total of 512 HCV-infected patients who achieved SVR following DAA therapy were enrolled in this study. Clinical and laboratory data at 24 weeks after the end of therapy (SVR24) were assessed to determine the impact of MASLD on the development of HCC. Risk factors for HCC occurrence were analyzed using the Fine and Gray subdistribution hazard model.</p><p><strong>Results: </strong>During a median follow-up of 56 months, HCC developed in 33 patients (6.4%). Patients with MASLD at SVR24 had a significantly higher cumulative incidence of HCC than those without MASLD (P < 0.001). Multivariable analysis identified MASLD, age, male, albumin-bilirubin-platelets (aMAP) score, and FibroScan-AST (FAST) score at SVR24 as independent risk factors for HCC development. Both aMAP and FAST scores were positively correlated with the number of cardiometabolic risk factors.</p><p><strong>Conclusions: </strong>MASLD is a significant determinant of post-SVR HCC risk among Japanese patients. Risk stratification incorporating MASLD, aMAP, and FAST scores may contribute to the development of optimized, patient-tailored HCC surveillance strategies and improve long-term outcomes in the Japanese clinical setting.</p>","PeriodicalId":16059,"journal":{"name":"Journal of Gastroenterology","volume":" ","pages":"1014-1025"},"PeriodicalIF":5.5000,"publicationDate":"2025-08-01","publicationTypes":"Journal Article","fieldsOfStudy":null,"isOpenAccess":false,"openAccessPdf":"https://www.ncbi.nlm.nih.gov/pmc/articles/PMC12289820/pdf/","citationCount":"0","resultStr":"{\"title\":\"Metabolic dysfunction-associated steatotic liver disease affects the development of hepatocellular carcinoma after sustained virologic response in chronic hepatitis C patients.\",\"authors\":\"Shintaro Yamasaki, Takashi Nakahara, Masataka Tsuge, Kenji Yamaoka, Yasutoshi Fujii, Shinsuke Uchikawa, Hatsue Fujino, Atsushi Ono, Eisuke Murakami, Tomokazu Kawaoka, Daiki Miki, Shiro Oka\",\"doi\":\"10.1007/s00535-025-02270-8\",\"DOIUrl\":null,\"url\":null,\"abstract\":\"<p><strong>Background: </strong>Despite the high success rate of direct-acting antivirals (DAAs) in achieving sustained virologic response (SVR) in patients with chronic hepatitis C virus (HCV) infection, the risk of hepatocellular carcinoma (HCC) persists in some patients. Cardiometabolic factors, including type 2 diabetes mellitus (T2DM), have been reported as risk factors for de novo HCC after SVR. However, the impact of metabolic dysfunction-associated steatotic liver disease (MASLD) on HCC development after SVR, particularly in Japanese patients, remains unclear.</p><p><strong>Methods: </strong>A total of 512 HCV-infected patients who achieved SVR following DAA therapy were enrolled in this study. Clinical and laboratory data at 24 weeks after the end of therapy (SVR24) were assessed to determine the impact of MASLD on the development of HCC. Risk factors for HCC occurrence were analyzed using the Fine and Gray subdistribution hazard model.</p><p><strong>Results: </strong>During a median follow-up of 56 months, HCC developed in 33 patients (6.4%). Patients with MASLD at SVR24 had a significantly higher cumulative incidence of HCC than those without MASLD (P < 0.001). Multivariable analysis identified MASLD, age, male, albumin-bilirubin-platelets (aMAP) score, and FibroScan-AST (FAST) score at SVR24 as independent risk factors for HCC development. Both aMAP and FAST scores were positively correlated with the number of cardiometabolic risk factors.</p><p><strong>Conclusions: </strong>MASLD is a significant determinant of post-SVR HCC risk among Japanese patients. Risk stratification incorporating MASLD, aMAP, and FAST scores may contribute to the development of optimized, patient-tailored HCC surveillance strategies and improve long-term outcomes in the Japanese clinical setting.</p>\",\"PeriodicalId\":16059,\"journal\":{\"name\":\"Journal of Gastroenterology\",\"volume\":\" \",\"pages\":\"1014-1025\"},\"PeriodicalIF\":5.5000,\"publicationDate\":\"2025-08-01\",\"publicationTypes\":\"Journal Article\",\"fieldsOfStudy\":null,\"isOpenAccess\":false,\"openAccessPdf\":\"https://www.ncbi.nlm.nih.gov/pmc/articles/PMC12289820/pdf/\",\"citationCount\":\"0\",\"resultStr\":null,\"platform\":\"Semanticscholar\",\"paperid\":null,\"PeriodicalName\":\"Journal of Gastroenterology\",\"FirstCategoryId\":\"3\",\"ListUrlMain\":\"https://doi.org/10.1007/s00535-025-02270-8\",\"RegionNum\":2,\"RegionCategory\":\"医学\",\"ArticlePicture\":[],\"TitleCN\":null,\"AbstractTextCN\":null,\"PMCID\":null,\"EPubDate\":\"2025/7/7 0:00:00\",\"PubModel\":\"Epub\",\"JCR\":\"Q1\",\"JCRName\":\"GASTROENTEROLOGY & HEPATOLOGY\",\"Score\":null,\"Total\":0}","platform":"Semanticscholar","paperid":null,"PeriodicalName":"Journal of Gastroenterology","FirstCategoryId":"3","ListUrlMain":"https://doi.org/10.1007/s00535-025-02270-8","RegionNum":2,"RegionCategory":"医学","ArticlePicture":[],"TitleCN":null,"AbstractTextCN":null,"PMCID":null,"EPubDate":"2025/7/7 0:00:00","PubModel":"Epub","JCR":"Q1","JCRName":"GASTROENTEROLOGY & HEPATOLOGY","Score":null,"Total":0}
引用次数: 0

摘要

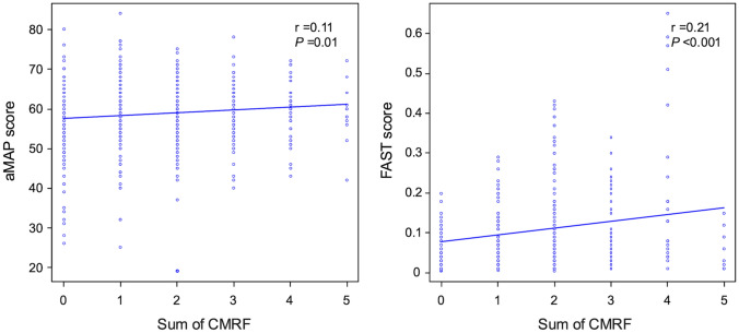
背景:尽管直接作用抗病毒药物(DAAs)在慢性丙型肝炎病毒(HCV)感染患者中实现持续病毒学应答(SVR)的成功率很高,但一些患者的肝细胞癌(HCC)风险仍然存在。包括2型糖尿病(T2DM)在内的心脏代谢因素已被报道为SVR后新发HCC的危险因素。然而,代谢功能障碍相关脂肪变性肝病(MASLD)对SVR后HCC发展的影响,特别是在日本患者中,仍不清楚。方法:本研究共纳入512例经DAA治疗后达到SVR的hcv感染患者。评估治疗结束后24周(SVR24)的临床和实验室数据,以确定MASLD对HCC发展的影响。采用Fine和Gray亚分布风险模型分析HCC发生的危险因素。结果:在中位随访56个月期间,33例(6.4%)患者发生HCC。在SVR24时,MASLD患者的HCC累积发生率明显高于无MASLD患者(P结论:MASLD是日本患者svr后HCC风险的重要决定因素。结合MASLD、aMAP和FAST评分的风险分层可能有助于制定优化的、针对患者的HCC监测策略,并改善日本临床环境的长期预后。
本文章由计算机程序翻译,如有差异,请以英文原文为准。

Metabolic dysfunction-associated steatotic liver disease affects the development of hepatocellular carcinoma after sustained virologic response in chronic hepatitis C patients.

Metabolic dysfunction-associated steatotic liver disease affects the development of hepatocellular carcinoma after sustained virologic response in chronic hepatitis C patients.

Metabolic dysfunction-associated steatotic liver disease affects the development of hepatocellular carcinoma after sustained virologic response in chronic hepatitis C patients.

Metabolic dysfunction-associated steatotic liver disease affects the development of hepatocellular carcinoma after sustained virologic response in chronic hepatitis C patients.

Background: Despite the high success rate of direct-acting antivirals (DAAs) in achieving sustained virologic response (SVR) in patients with chronic hepatitis C virus (HCV) infection, the risk of hepatocellular carcinoma (HCC) persists in some patients. Cardiometabolic factors, including type 2 diabetes mellitus (T2DM), have been reported as risk factors for de novo HCC after SVR. However, the impact of metabolic dysfunction-associated steatotic liver disease (MASLD) on HCC development after SVR, particularly in Japanese patients, remains unclear.

Methods: A total of 512 HCV-infected patients who achieved SVR following DAA therapy were enrolled in this study. Clinical and laboratory data at 24 weeks after the end of therapy (SVR24) were assessed to determine the impact of MASLD on the development of HCC. Risk factors for HCC occurrence were analyzed using the Fine and Gray subdistribution hazard model.

Results: During a median follow-up of 56 months, HCC developed in 33 patients (6.4%). Patients with MASLD at SVR24 had a significantly higher cumulative incidence of HCC than those without MASLD (P < 0.001). Multivariable analysis identified MASLD, age, male, albumin-bilirubin-platelets (aMAP) score, and FibroScan-AST (FAST) score at SVR24 as independent risk factors for HCC development. Both aMAP and FAST scores were positively correlated with the number of cardiometabolic risk factors.

Conclusions: MASLD is a significant determinant of post-SVR HCC risk among Japanese patients. Risk stratification incorporating MASLD, aMAP, and FAST scores may contribute to the development of optimized, patient-tailored HCC surveillance strategies and improve long-term outcomes in the Japanese clinical setting.

求助全文
通过发布文献求助,成功后即可免费获取论文全文。 去求助
来源期刊
Journal of Gastroenterology
Journal of Gastroenterology 医学-胃肠肝病学
CiteScore
12.20
自引率
1.60%
发文量
99
审稿时长
4-8 weeks
期刊介绍: The Journal of Gastroenterology, which is the official publication of the Japanese Society of Gastroenterology, publishes Original Articles (Alimentary Tract/Liver, Pancreas, and Biliary Tract), Review Articles, Letters to the Editors and other articles on all aspects of the field of gastroenterology. Significant contributions relating to basic research, theory, and practice are welcomed. These publications are designed to disseminate knowledge in this field to a worldwide audience, and accordingly, its editorial board has an international membership.
×
引用
GB/T 7714-2015
复制
MLA
复制
APA
复制
导出至
BibTeX EndNote RefMan NoteFirst NoteExpress
×
提示
您的信息不完整,为了账户安全,请先补充。
现在去补充
×
提示
您因"违规操作"
具体请查看互助需知
我知道了
×
提示
确定
请完成安全验证×
copy
已复制链接
快去分享给好友吧!
我知道了
右上角分享
点击右上角分享
0
联系我们:info@booksci.cn Book学术提供免费学术资源搜索服务,方便国内外学者检索中英文文献。致力于提供最便捷和优质的服务体验。 Copyright © 2023 布克学术 All rights reserved.
京ICP备2023020795号-1
ghs 京公网安备 11010802042870号
Book学术文献互助
Book学术文献互助群
群 号:604180095
Book学术官方微信