组学方法胸部电阻抗断层扫描显示以呼吸驱动和努力增加为特征的ARDS生理集群。

IF 5.5 1区 医学 Q1 CRITICAL CARE MEDICINE
Tommaso Mauri, Marco Leali, Elena Spinelli, Gaetano Scaramuzzo, Massimo Antonelli, Domenico L Grieco, Savino Spadaro, Giacomo Grasselli
{"title":"组学方法胸部电阻抗断层扫描显示以呼吸驱动和努力增加为特征的ARDS生理集群。","authors":"Tommaso Mauri, Marco Leali, Elena Spinelli, Gaetano Scaramuzzo, Massimo Antonelli, Domenico L Grieco, Savino Spadaro, Giacomo Grasselli","doi":"10.1186/s13613-025-01514-3","DOIUrl":null,"url":null,"abstract":"<p><strong>Background: </strong>Non-invasive assessment of respiratory drive and effort in spontaneously breathing ARDS patients is challenging, yet clinically relevant. We explored whether hierarchical clustering applied to electrical impedance tomography (EIT- a radiation-free non-invasive lung imaging technique) identifies ARDS sub-phenotypes with increased drive and effort.</p><p><strong>Results: </strong>Thirty intubated patients with ARDS on assisted mechanical ventilation were monitored by EIT and esophageal pressure during a decremental positive end-expiratory pressure (PEEP) trial. A comprehensive EIT assessment was made (computed variables n = 180) during tidal breathing at different PEEP levels. Agglomerative nesting was applied to scaled data distances. Three clusters of ARDS were identified: inhomogeneous ventilation, unmatched V'/Q, and mismatched V'/Q. The unmatched V'/Q cluster had the highest respiratory drive (p = 0.045) and effort (p = 0.021) at lower PEEP, and experienced longer length of ICU stay (p = 0.019).</p><p><strong>Conclusions: </strong>Higher PEEP levels reduced drive of the unmatched V'/Q cluster, mitigating the physiological differences. Clustering approaches to EIT data identify physiologically and clinically relevant sub-phenotypes of ARDS.</p>","PeriodicalId":7966,"journal":{"name":"Annals of Intensive Care","volume":"15 1","pages":"90"},"PeriodicalIF":5.5000,"publicationDate":"2025-07-08","publicationTypes":"Journal Article","fieldsOfStudy":null,"isOpenAccess":false,"openAccessPdf":"https://www.ncbi.nlm.nih.gov/pmc/articles/PMC12234929/pdf/","citationCount":"0","resultStr":"{\"title\":\"Omics approach to chest electrical impedance tomography reveals physiological cluster of ARDS characterised by increased respiratory drive and effort.\",\"authors\":\"Tommaso Mauri, Marco Leali, Elena Spinelli, Gaetano Scaramuzzo, Massimo Antonelli, Domenico L Grieco, Savino Spadaro, Giacomo Grasselli\",\"doi\":\"10.1186/s13613-025-01514-3\",\"DOIUrl\":null,\"url\":null,\"abstract\":\"<p><strong>Background: </strong>Non-invasive assessment of respiratory drive and effort in spontaneously breathing ARDS patients is challenging, yet clinically relevant. We explored whether hierarchical clustering applied to electrical impedance tomography (EIT- a radiation-free non-invasive lung imaging technique) identifies ARDS sub-phenotypes with increased drive and effort.</p><p><strong>Results: </strong>Thirty intubated patients with ARDS on assisted mechanical ventilation were monitored by EIT and esophageal pressure during a decremental positive end-expiratory pressure (PEEP) trial. A comprehensive EIT assessment was made (computed variables n = 180) during tidal breathing at different PEEP levels. Agglomerative nesting was applied to scaled data distances. Three clusters of ARDS were identified: inhomogeneous ventilation, unmatched V'/Q, and mismatched V'/Q. The unmatched V'/Q cluster had the highest respiratory drive (p = 0.045) and effort (p = 0.021) at lower PEEP, and experienced longer length of ICU stay (p = 0.019).</p><p><strong>Conclusions: </strong>Higher PEEP levels reduced drive of the unmatched V'/Q cluster, mitigating the physiological differences. Clustering approaches to EIT data identify physiologically and clinically relevant sub-phenotypes of ARDS.</p>\",\"PeriodicalId\":7966,\"journal\":{\"name\":\"Annals of Intensive Care\",\"volume\":\"15 1\",\"pages\":\"90\"},\"PeriodicalIF\":5.5000,\"publicationDate\":\"2025-07-08\",\"publicationTypes\":\"Journal Article\",\"fieldsOfStudy\":null,\"isOpenAccess\":false,\"openAccessPdf\":\"https://www.ncbi.nlm.nih.gov/pmc/articles/PMC12234929/pdf/\",\"citationCount\":\"0\",\"resultStr\":null,\"platform\":\"Semanticscholar\",\"paperid\":null,\"PeriodicalName\":\"Annals of Intensive Care\",\"FirstCategoryId\":\"3\",\"ListUrlMain\":\"https://doi.org/10.1186/s13613-025-01514-3\",\"RegionNum\":1,\"RegionCategory\":\"医学\",\"ArticlePicture\":[],\"TitleCN\":null,\"AbstractTextCN\":null,\"PMCID\":null,\"EPubDate\":\"\",\"PubModel\":\"\",\"JCR\":\"Q1\",\"JCRName\":\"CRITICAL CARE MEDICINE\",\"Score\":null,\"Total\":0}","platform":"Semanticscholar","paperid":null,"PeriodicalName":"Annals of Intensive Care","FirstCategoryId":"3","ListUrlMain":"https://doi.org/10.1186/s13613-025-01514-3","RegionNum":1,"RegionCategory":"医学","ArticlePicture":[],"TitleCN":null,"AbstractTextCN":null,"PMCID":null,"EPubDate":"","PubModel":"","JCR":"Q1","JCRName":"CRITICAL CARE MEDICINE","Score":null,"Total":0}
引用次数: 0

摘要

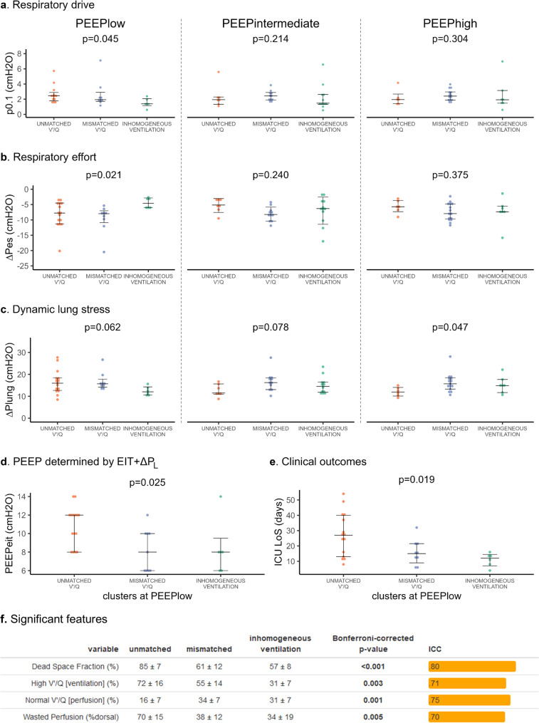
背景:无创评估自发性呼吸ARDS患者的呼吸动力和努力具有挑战性,但具有临床意义。我们探讨了是否将分层聚类应用于电阻抗断层扫描(EIT-一种无辐射无创肺成像技术)识别ARDS亚表型需要增加驱动和努力。结果:30例辅助机械通气气管插管ARDS患者在呼气末正压递减(PEEP)试验中采用EIT和食管压监测。对不同PEEP水平的潮汐呼吸进行综合EIT评估(计算变量n = 180)。凝聚嵌套应用于缩放数据距离。ARDS分为三组:通气不均匀、V′/Q不匹配和V′/Q不匹配。不匹配的V′/Q组在低PEEP时呼吸驱动(p = 0.045)和用力(p = 0.021)最高,且ICU住院时间较长(p = 0.019)。结论:较高的PEEP水平降低了不匹配的V′/Q簇驱动,减轻了生理差异。EIT数据的聚类方法确定了ARDS的生理和临床相关亚表型。
本文章由计算机程序翻译,如有差异,请以英文原文为准。

Omics approach to chest electrical impedance tomography reveals physiological cluster of ARDS characterised by increased respiratory drive and effort.

Omics approach to chest electrical impedance tomography reveals physiological cluster of ARDS characterised by increased respiratory drive and effort.

Omics approach to chest electrical impedance tomography reveals physiological cluster of ARDS characterised by increased respiratory drive and effort.

Omics approach to chest electrical impedance tomography reveals physiological cluster of ARDS characterised by increased respiratory drive and effort.

Background: Non-invasive assessment of respiratory drive and effort in spontaneously breathing ARDS patients is challenging, yet clinically relevant. We explored whether hierarchical clustering applied to electrical impedance tomography (EIT- a radiation-free non-invasive lung imaging technique) identifies ARDS sub-phenotypes with increased drive and effort.

Results: Thirty intubated patients with ARDS on assisted mechanical ventilation were monitored by EIT and esophageal pressure during a decremental positive end-expiratory pressure (PEEP) trial. A comprehensive EIT assessment was made (computed variables n = 180) during tidal breathing at different PEEP levels. Agglomerative nesting was applied to scaled data distances. Three clusters of ARDS were identified: inhomogeneous ventilation, unmatched V'/Q, and mismatched V'/Q. The unmatched V'/Q cluster had the highest respiratory drive (p = 0.045) and effort (p = 0.021) at lower PEEP, and experienced longer length of ICU stay (p = 0.019).

Conclusions: Higher PEEP levels reduced drive of the unmatched V'/Q cluster, mitigating the physiological differences. Clustering approaches to EIT data identify physiologically and clinically relevant sub-phenotypes of ARDS.

求助全文
通过发布文献求助,成功后即可免费获取论文全文。 去求助
来源期刊
Annals of Intensive Care
Annals of Intensive Care CRITICAL CARE MEDICINE-
CiteScore
14.20
自引率
3.70%
发文量
107
审稿时长
13 weeks
期刊介绍: Annals of Intensive Care is an online peer-reviewed journal that publishes high-quality review articles and original research papers in the field of intensive care medicine. It targets critical care providers including attending physicians, fellows, residents, nurses, and physiotherapists, who aim to enhance their knowledge and provide optimal care for their patients. The journal's articles are included in various prestigious databases such as CAS, Current contents, DOAJ, Embase, Journal Citation Reports/Science Edition, OCLC, PubMed, PubMed Central, Science Citation Index Expanded, SCOPUS, and Summon by Serial Solutions.
×
引用
GB/T 7714-2015
复制
MLA
复制
APA
复制
导出至
BibTeX EndNote RefMan NoteFirst NoteExpress
×
提示
您的信息不完整,为了账户安全,请先补充。
现在去补充
×
提示
您因"违规操作"
具体请查看互助需知
我知道了
×
提示
确定
请完成安全验证×
copy
已复制链接
快去分享给好友吧!
我知道了
右上角分享
点击右上角分享
0
联系我们:info@booksci.cn Book学术提供免费学术资源搜索服务,方便国内外学者检索中英文文献。致力于提供最便捷和优质的服务体验。 Copyright © 2023 布克学术 All rights reserved.
京ICP备2023020795号-1
ghs 京公网安备 11010802042870号
Book学术文献互助
Book学术文献互助群
群 号:604180095
Book学术官方微信