通过OXIRIS过滤器去除需要静脉-动脉体外生命支持的心源性休克的内毒素:ECMORIX随机对照试验

IF 5.5 1区 医学 Q1 CRITICAL CARE MEDICINE
Maxime Nguyen, Marvin Alvarez, Corentin Evezard, Vivien Berthoud, Damien Leleu, Jean-Paul Pais-De-Barros, Olivier Bouchot, Osama Abou-Arab, Belaid Bouhemad, David Masson, Thomas Gautier, Pierre-Grégoire Guinot
{"title":"通过OXIRIS过滤器去除需要静脉-动脉体外生命支持的心源性休克的内毒素:ECMORIX随机对照试验","authors":"Maxime Nguyen, Marvin Alvarez, Corentin Evezard, Vivien Berthoud, Damien Leleu, Jean-Paul Pais-De-Barros, Olivier Bouchot, Osama Abou-Arab, Belaid Bouhemad, David Masson, Thomas Gautier, Pierre-Grégoire Guinot","doi":"10.1186/s13613-025-01499-z","DOIUrl":null,"url":null,"abstract":"<p><strong>Background: </strong>Most severe cardiogenic shock requires veno-arterial extracorporeal membrane oxygenation (VA-ECMO). The OXIRIS filter, has shown potential in reducing lipopolysaccharide (LPS) levels. Our objective was to compare the efficacy of the OXIRIS filter versus the ST-150 filter in reducing LPS plasma concentration. We hypothesized that the OXIRIS filter would reduce the endotoxin burden.</p><p><strong>Methods: </strong>We conducted an open-label randomized prospective study in the cardiac intensive care unit of Dijon University Hospital. Forty patients with refractory cardiogenic shock requiring VA-ECMO and renal replacement therapy (RRT) were randomized to receive either OXIRIS filter or ST-150 filter. Blood samples were collected at multiple time points. The primary outcome was LPS mass (measured 24 h after the initiation of treatment). Secondary outcomes included LPS activity, cytokine levels, and clinical outcomes.</p><p><strong>Results: </strong>20 patients were allocated to each group and analyzed. LPS plasma concentrations were not different between the OXIRIS filter and ST-150 filter groups at H24 (599 pmol/ml of esterified 3-OH fatty acids [450;734] vs 520 [456;835], p = 0.983) or when analyzing all time-points by linear mixed modelling (538 [469;723] vs 507 [434;671] at H26, 576 [513;614] vs 624 [503;724] at H48 and 632 [513;660] vs 586 [538;776] at H72, p = 0.882). No significant between groups differences were found in LPS activity, inflammation markers (IL-6, TNF-α, IL-10, MCP-1), SOFA scores, VIS scores, or 28-day mortality (13 (65%) vs 9 (45%) p = 0.21). There was high variability in LPS concentrations, suggesting heterogeneity in endotoxemia.</p><p><strong>Conclusions: </strong>In patients with cardiogenic shock supported by VA-ECMO and requiring renal replacement therapy, we could not evidence any reduction in LPS blood concentration in patients treated with treatment with OXIRIS filter in comparison to ST-150 filter. Further research is required to confirm these findings and optimize endotoxin removal in this population.</p><p><strong>Trials registration: </strong>NCT04886180. Registered 10 May 2021.</p>","PeriodicalId":7966,"journal":{"name":"Annals of Intensive Care","volume":"15 1","pages":"92"},"PeriodicalIF":5.5000,"publicationDate":"2025-07-08","publicationTypes":"Journal Article","fieldsOfStudy":null,"isOpenAccess":false,"openAccessPdf":"https://www.ncbi.nlm.nih.gov/pmc/articles/PMC12238705/pdf/","citationCount":"0","resultStr":"{\"title\":\"Endotoxin removal by the OXIRIS filter for cardiogenic shock requiring veno-arterial extra-corporeal life support: the ECMORIX randomized controlled trial.\",\"authors\":\"Maxime Nguyen, Marvin Alvarez, Corentin Evezard, Vivien Berthoud, Damien Leleu, Jean-Paul Pais-De-Barros, Olivier Bouchot, Osama Abou-Arab, Belaid Bouhemad, David Masson, Thomas Gautier, Pierre-Grégoire Guinot\",\"doi\":\"10.1186/s13613-025-01499-z\",\"DOIUrl\":null,\"url\":null,\"abstract\":\"<p><strong>Background: </strong>Most severe cardiogenic shock requires veno-arterial extracorporeal membrane oxygenation (VA-ECMO). The OXIRIS filter, has shown potential in reducing lipopolysaccharide (LPS) levels. Our objective was to compare the efficacy of the OXIRIS filter versus the ST-150 filter in reducing LPS plasma concentration. We hypothesized that the OXIRIS filter would reduce the endotoxin burden.</p><p><strong>Methods: </strong>We conducted an open-label randomized prospective study in the cardiac intensive care unit of Dijon University Hospital. Forty patients with refractory cardiogenic shock requiring VA-ECMO and renal replacement therapy (RRT) were randomized to receive either OXIRIS filter or ST-150 filter. Blood samples were collected at multiple time points. The primary outcome was LPS mass (measured 24 h after the initiation of treatment). Secondary outcomes included LPS activity, cytokine levels, and clinical outcomes.</p><p><strong>Results: </strong>20 patients were allocated to each group and analyzed. LPS plasma concentrations were not different between the OXIRIS filter and ST-150 filter groups at H24 (599 pmol/ml of esterified 3-OH fatty acids [450;734] vs 520 [456;835], p = 0.983) or when analyzing all time-points by linear mixed modelling (538 [469;723] vs 507 [434;671] at H26, 576 [513;614] vs 624 [503;724] at H48 and 632 [513;660] vs 586 [538;776] at H72, p = 0.882). No significant between groups differences were found in LPS activity, inflammation markers (IL-6, TNF-α, IL-10, MCP-1), SOFA scores, VIS scores, or 28-day mortality (13 (65%) vs 9 (45%) p = 0.21). There was high variability in LPS concentrations, suggesting heterogeneity in endotoxemia.</p><p><strong>Conclusions: </strong>In patients with cardiogenic shock supported by VA-ECMO and requiring renal replacement therapy, we could not evidence any reduction in LPS blood concentration in patients treated with treatment with OXIRIS filter in comparison to ST-150 filter. Further research is required to confirm these findings and optimize endotoxin removal in this population.</p><p><strong>Trials registration: </strong>NCT04886180. Registered 10 May 2021.</p>\",\"PeriodicalId\":7966,\"journal\":{\"name\":\"Annals of Intensive Care\",\"volume\":\"15 1\",\"pages\":\"92\"},\"PeriodicalIF\":5.5000,\"publicationDate\":\"2025-07-08\",\"publicationTypes\":\"Journal Article\",\"fieldsOfStudy\":null,\"isOpenAccess\":false,\"openAccessPdf\":\"https://www.ncbi.nlm.nih.gov/pmc/articles/PMC12238705/pdf/\",\"citationCount\":\"0\",\"resultStr\":null,\"platform\":\"Semanticscholar\",\"paperid\":null,\"PeriodicalName\":\"Annals of Intensive Care\",\"FirstCategoryId\":\"3\",\"ListUrlMain\":\"https://doi.org/10.1186/s13613-025-01499-z\",\"RegionNum\":1,\"RegionCategory\":\"医学\",\"ArticlePicture\":[],\"TitleCN\":null,\"AbstractTextCN\":null,\"PMCID\":null,\"EPubDate\":\"\",\"PubModel\":\"\",\"JCR\":\"Q1\",\"JCRName\":\"CRITICAL CARE MEDICINE\",\"Score\":null,\"Total\":0}","platform":"Semanticscholar","paperid":null,"PeriodicalName":"Annals of Intensive Care","FirstCategoryId":"3","ListUrlMain":"https://doi.org/10.1186/s13613-025-01499-z","RegionNum":1,"RegionCategory":"医学","ArticlePicture":[],"TitleCN":null,"AbstractTextCN":null,"PMCID":null,"EPubDate":"","PubModel":"","JCR":"Q1","JCRName":"CRITICAL CARE MEDICINE","Score":null,"Total":0}
引用次数: 0

摘要

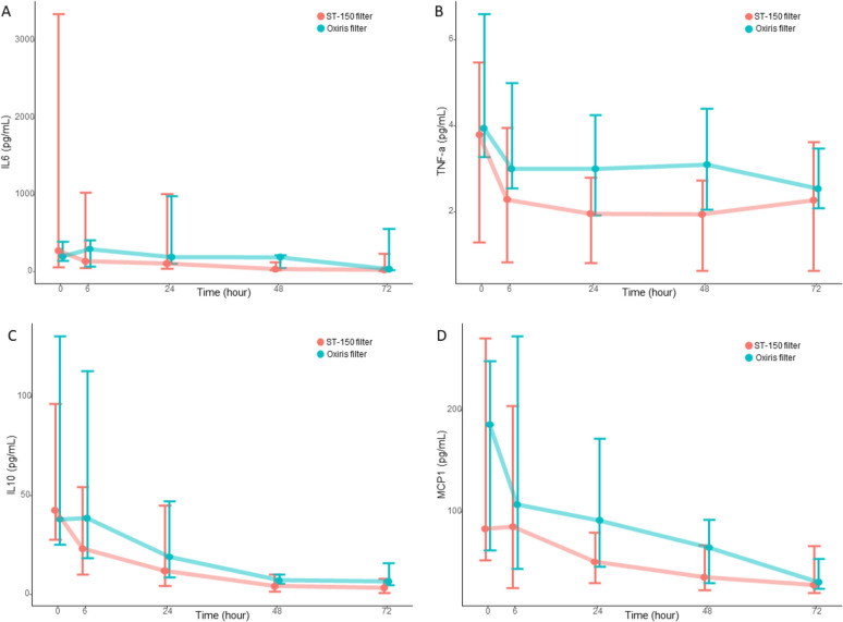
背景:大多数严重的心源性休克需要静脉-动脉体外膜氧合(VA-ECMO)。OXIRIS过滤器具有降低脂多糖(LPS)水平的潜力。我们的目的是比较OXIRIS过滤器与ST-150过滤器在降低LPS血浆浓度方面的功效。我们假设OXIRIS过滤器可以减少内毒素负担。方法:我们在第戎大学医院心脏重症监护病房进行了一项开放标签随机前瞻性研究。40例需要VA-ECMO和肾替代治疗(RRT)的难治性心源性休克患者随机接受OXIRIS过滤器或ST-150过滤器。在多个时间点采集血样。主要结果是LPS质量(治疗开始后24小时测量)。次要结果包括LPS活性、细胞因子水平和临床结果。结果:每组20例进行分析。OXIRIS滤器和ST-150滤器组在H24 (599 pmol/ml酯化3-OH脂肪酸[450;734]vs 520 [456;835], p = 0.983)或通过线性混合模型分析所有时间点时(538 [469;723]vs 507 [434;671], 576 [513;614] vs 624 [503;724], H48和632 [513;660]vs 586 [538;776], H72, p = 0.882), LPS血浆浓度无差异。在LPS活性、炎症标志物(IL-6、TNF-α、IL-10、MCP-1)、SOFA评分、VIS评分或28天死亡率方面,组间无显著差异(13 (65%)vs 9 (45%) p = 0.21)。LPS浓度有很大的变异性,表明内毒素血症存在异质性。结论:在由VA-ECMO支持并需要肾脏替代治疗的心源性休克患者中,我们没有证据表明与ST-150过滤器相比,OXIRIS过滤器治疗的患者的LPS血浓度有任何降低。需要进一步的研究来证实这些发现并优化这一人群的内毒素去除。试验注册:NCT04886180。注册于2021年5月10日。
本文章由计算机程序翻译,如有差异,请以英文原文为准。

Endotoxin removal by the OXIRIS filter for cardiogenic shock requiring veno-arterial extra-corporeal life support: the ECMORIX randomized controlled trial.

Endotoxin removal by the OXIRIS filter for cardiogenic shock requiring veno-arterial extra-corporeal life support: the ECMORIX randomized controlled trial.

Endotoxin removal by the OXIRIS filter for cardiogenic shock requiring veno-arterial extra-corporeal life support: the ECMORIX randomized controlled trial.

Endotoxin removal by the OXIRIS filter for cardiogenic shock requiring veno-arterial extra-corporeal life support: the ECMORIX randomized controlled trial.

Background: Most severe cardiogenic shock requires veno-arterial extracorporeal membrane oxygenation (VA-ECMO). The OXIRIS filter, has shown potential in reducing lipopolysaccharide (LPS) levels. Our objective was to compare the efficacy of the OXIRIS filter versus the ST-150 filter in reducing LPS plasma concentration. We hypothesized that the OXIRIS filter would reduce the endotoxin burden.

Methods: We conducted an open-label randomized prospective study in the cardiac intensive care unit of Dijon University Hospital. Forty patients with refractory cardiogenic shock requiring VA-ECMO and renal replacement therapy (RRT) were randomized to receive either OXIRIS filter or ST-150 filter. Blood samples were collected at multiple time points. The primary outcome was LPS mass (measured 24 h after the initiation of treatment). Secondary outcomes included LPS activity, cytokine levels, and clinical outcomes.

Results: 20 patients were allocated to each group and analyzed. LPS plasma concentrations were not different between the OXIRIS filter and ST-150 filter groups at H24 (599 pmol/ml of esterified 3-OH fatty acids [450;734] vs 520 [456;835], p = 0.983) or when analyzing all time-points by linear mixed modelling (538 [469;723] vs 507 [434;671] at H26, 576 [513;614] vs 624 [503;724] at H48 and 632 [513;660] vs 586 [538;776] at H72, p = 0.882). No significant between groups differences were found in LPS activity, inflammation markers (IL-6, TNF-α, IL-10, MCP-1), SOFA scores, VIS scores, or 28-day mortality (13 (65%) vs 9 (45%) p = 0.21). There was high variability in LPS concentrations, suggesting heterogeneity in endotoxemia.

Conclusions: In patients with cardiogenic shock supported by VA-ECMO and requiring renal replacement therapy, we could not evidence any reduction in LPS blood concentration in patients treated with treatment with OXIRIS filter in comparison to ST-150 filter. Further research is required to confirm these findings and optimize endotoxin removal in this population.

Trials registration: NCT04886180. Registered 10 May 2021.

求助全文
通过发布文献求助,成功后即可免费获取论文全文。 去求助
来源期刊
Annals of Intensive Care
Annals of Intensive Care CRITICAL CARE MEDICINE-
CiteScore
14.20
自引率
3.70%
发文量
107
审稿时长
13 weeks
期刊介绍: Annals of Intensive Care is an online peer-reviewed journal that publishes high-quality review articles and original research papers in the field of intensive care medicine. It targets critical care providers including attending physicians, fellows, residents, nurses, and physiotherapists, who aim to enhance their knowledge and provide optimal care for their patients. The journal's articles are included in various prestigious databases such as CAS, Current contents, DOAJ, Embase, Journal Citation Reports/Science Edition, OCLC, PubMed, PubMed Central, Science Citation Index Expanded, SCOPUS, and Summon by Serial Solutions.
×
引用
GB/T 7714-2015
复制
MLA
复制
APA
复制
导出至
BibTeX EndNote RefMan NoteFirst NoteExpress
×
提示
您的信息不完整,为了账户安全,请先补充。
现在去补充
×
提示
您因"违规操作"
具体请查看互助需知
我知道了
×
提示
确定
请完成安全验证×
copy
已复制链接
快去分享给好友吧!
我知道了
右上角分享
点击右上角分享
0
联系我们:info@booksci.cn Book学术提供免费学术资源搜索服务,方便国内外学者检索中英文文献。致力于提供最便捷和优质的服务体验。 Copyright © 2023 布克学术 All rights reserved.
京ICP备2023020795号-1
ghs 京公网安备 11010802042870号
Book学术文献互助
Book学术文献互助群
群 号:604180095
Book学术官方微信