孕前腹腔镜结扎术预防早产:系统综述。

IF 1.4 Q3 OBSTETRICS & GYNECOLOGY
Dimitrios Rafail Kalaitzopoulos, Ioannis Maris, Konstantinos Chatzistergiou, Georgios Schoretsanitis, Grigoris Grimbizis, Angelos Daniilidis
{"title":"孕前腹腔镜结扎术预防早产:系统综述。","authors":"Dimitrios Rafail Kalaitzopoulos, Ioannis Maris, Konstantinos Chatzistergiou, Georgios Schoretsanitis, Grigoris Grimbizis, Angelos Daniilidis","doi":"10.52054/FVVO.2024.13388","DOIUrl":null,"url":null,"abstract":"<p><strong>Background: </strong>Cervical cerclage is used to prevent preterm delivery caused by cervical insufficiency, thereby reducing neonatal morbidity and mortality rates. Transabdominal cerclage is usually performed in women who previously underwent transvaginal cerclage that failed to prevent pregnancy loss, or in those with a short cervix where transvaginal cerclage was not feasible.</p><p><strong>Objectives: </strong>To estimate the efficacy of pre-conceptional laparoscopic cerclage in facilitating term delivery and live birth.</p><p><strong>Methods: </strong>A systematic review was conducted according to the PRISMA 2020 guidelines. This study was registered in PROSPERO (CRD42024545316). A search was conducted up to the 15th of April 2024, in the PubMed and Cochrane databases, using a combination of terms \"laparoscopy\", \"transabdominal\" and \"cerclage\". Original studies investigating the role of pre-conceptional laparoscopic cerclage on pregnancy outcomes after follow-up were eligible for inclusion in this review.</p><p><strong>Main outcomes measures: </strong>Prevalence of deliveries after 37 weeks of gestation and live birth rates.</p><p><strong>Results: </strong>Ten studies involving 1060 patients were included. The pooled prevalence of deliveries after 37 weeks of pregnancy was 70% [95% confidence interval (CI) 60%-79%, 7 studies, 515 pregnancies, I2: 85%] and the pooled prevalence of live birth was 92% (95% CI 86%-95%, 10 studies, 713 pregnancies, I2: 69%). Significantly higher rates of delivery after 37 weeks of pregnancy were associated with the use of mersilene tape compared to conventional sutures [odds ratio (OR): 2.98, 95% 1.95-4.56] and the use of an anterior knot compared to a posterior knot (OR: 2.26, 95% CI: 1.50-3.40).</p><p><strong>Conclusions: </strong>Pre-conceptional laparoscopic cerclage achieved high rates of live birth after 37 weeks in women considered at high risk of preterm delivery. Comparative research is needed to better understand the efficacy of pre-conceptional laparoscopic cerclage as well as refine the indications for this procedure, optimise surgical techniques, and determine the best timing for cerclage placement.</p><p><strong>What is new?: </strong>Pre-conceptional laparoscopic cerclage may prevent future preterm births and second-trimester pregnancy losses.</p>","PeriodicalId":46400,"journal":{"name":"Facts Views and Vision in ObGyn","volume":"17 2","pages":"149-156"},"PeriodicalIF":1.4000,"publicationDate":"2025-06-27","publicationTypes":"Journal Article","fieldsOfStudy":null,"isOpenAccess":false,"openAccessPdf":"https://www.ncbi.nlm.nih.gov/pmc/articles/PMC12233114/pdf/","citationCount":"0","resultStr":"{\"title\":\"Pre-conceptional laparoscopic cerclage for prevention of preterm birth: a systematic review.\",\"authors\":\"Dimitrios Rafail Kalaitzopoulos, Ioannis Maris, Konstantinos Chatzistergiou, Georgios Schoretsanitis, Grigoris Grimbizis, Angelos Daniilidis\",\"doi\":\"10.52054/FVVO.2024.13388\",\"DOIUrl\":null,\"url\":null,\"abstract\":\"<p><strong>Background: </strong>Cervical cerclage is used to prevent preterm delivery caused by cervical insufficiency, thereby reducing neonatal morbidity and mortality rates. Transabdominal cerclage is usually performed in women who previously underwent transvaginal cerclage that failed to prevent pregnancy loss, or in those with a short cervix where transvaginal cerclage was not feasible.</p><p><strong>Objectives: </strong>To estimate the efficacy of pre-conceptional laparoscopic cerclage in facilitating term delivery and live birth.</p><p><strong>Methods: </strong>A systematic review was conducted according to the PRISMA 2020 guidelines. This study was registered in PROSPERO (CRD42024545316). A search was conducted up to the 15th of April 2024, in the PubMed and Cochrane databases, using a combination of terms \\\"laparoscopy\\\", \\\"transabdominal\\\" and \\\"cerclage\\\". Original studies investigating the role of pre-conceptional laparoscopic cerclage on pregnancy outcomes after follow-up were eligible for inclusion in this review.</p><p><strong>Main outcomes measures: </strong>Prevalence of deliveries after 37 weeks of gestation and live birth rates.</p><p><strong>Results: </strong>Ten studies involving 1060 patients were included. The pooled prevalence of deliveries after 37 weeks of pregnancy was 70% [95% confidence interval (CI) 60%-79%, 7 studies, 515 pregnancies, I2: 85%] and the pooled prevalence of live birth was 92% (95% CI 86%-95%, 10 studies, 713 pregnancies, I2: 69%). Significantly higher rates of delivery after 37 weeks of pregnancy were associated with the use of mersilene tape compared to conventional sutures [odds ratio (OR): 2.98, 95% 1.95-4.56] and the use of an anterior knot compared to a posterior knot (OR: 2.26, 95% CI: 1.50-3.40).</p><p><strong>Conclusions: </strong>Pre-conceptional laparoscopic cerclage achieved high rates of live birth after 37 weeks in women considered at high risk of preterm delivery. Comparative research is needed to better understand the efficacy of pre-conceptional laparoscopic cerclage as well as refine the indications for this procedure, optimise surgical techniques, and determine the best timing for cerclage placement.</p><p><strong>What is new?: </strong>Pre-conceptional laparoscopic cerclage may prevent future preterm births and second-trimester pregnancy losses.</p>\",\"PeriodicalId\":46400,\"journal\":{\"name\":\"Facts Views and Vision in ObGyn\",\"volume\":\"17 2\",\"pages\":\"149-156\"},\"PeriodicalIF\":1.4000,\"publicationDate\":\"2025-06-27\",\"publicationTypes\":\"Journal Article\",\"fieldsOfStudy\":null,\"isOpenAccess\":false,\"openAccessPdf\":\"https://www.ncbi.nlm.nih.gov/pmc/articles/PMC12233114/pdf/\",\"citationCount\":\"0\",\"resultStr\":null,\"platform\":\"Semanticscholar\",\"paperid\":null,\"PeriodicalName\":\"Facts Views and Vision in ObGyn\",\"FirstCategoryId\":\"1085\",\"ListUrlMain\":\"https://doi.org/10.52054/FVVO.2024.13388\",\"RegionNum\":0,\"RegionCategory\":null,\"ArticlePicture\":[],\"TitleCN\":null,\"AbstractTextCN\":null,\"PMCID\":null,\"EPubDate\":\"\",\"PubModel\":\"\",\"JCR\":\"Q3\",\"JCRName\":\"OBSTETRICS & GYNECOLOGY\",\"Score\":null,\"Total\":0}","platform":"Semanticscholar","paperid":null,"PeriodicalName":"Facts Views and Vision in ObGyn","FirstCategoryId":"1085","ListUrlMain":"https://doi.org/10.52054/FVVO.2024.13388","RegionNum":0,"RegionCategory":null,"ArticlePicture":[],"TitleCN":null,"AbstractTextCN":null,"PMCID":null,"EPubDate":"","PubModel":"","JCR":"Q3","JCRName":"OBSTETRICS & GYNECOLOGY","Score":null,"Total":0}
引用次数: 0

摘要

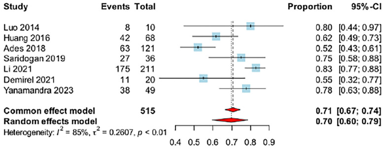
背景:宫颈环扎术用于预防因宫颈功能不全引起的早产,从而降低新生儿的发病率和死亡率。经腹环切术通常适用于以前接受过经阴道环切术但未能防止妊娠丢失的妇女,或那些宫颈短而无法进行经阴道环切术的妇女。目的:评价孕前腹腔镜结扎术促进足月分娩和活产的效果。方法:根据PRISMA 2020指南进行系统评价。本研究已在PROSPERO注册(CRD42024545316)。到2024年4月15日,我们在PubMed和Cochrane数据库中进行了一次搜索,使用了“腹腔镜”、“经腹”和“环切术”这三个术语的组合。调查孕前腹腔镜结扎术对随访后妊娠结局作用的原始研究符合纳入本综述的条件。主要结局指标:妊娠37周后分娩率和活产率。结果:纳入10项研究,共1060例患者。37周后分娩的总患病率为70%[95%可信区间(CI) 60%-79%, 7项研究,515例妊娠,I2: 85%],活产的总患病率为92% (95% CI 86%-95%, 10项研究,713例妊娠,I2: 69%)。妊娠37周后,与传统缝合相比,使用美丝烯胶布的分娩率明显更高[比值比(OR): 2.98, 95% 1.95-4.56],与使用前结相比,使用后结(OR: 2.26, 95% CI: 1.50-3.40)。结论:孕前腹腔镜环切术在37周后的高活产率被认为是早产的高危妇女。需要进行比较研究,以更好地了解孕前腹腔镜环扎术的疗效,并完善该手术的适应症,优化手术技术,确定环扎置入的最佳时机。有什么新鲜事吗?:孕前腹腔镜结扎术可预防未来早产和中期妊娠丢失。
本文章由计算机程序翻译,如有差异,请以英文原文为准。

Pre-conceptional laparoscopic cerclage for prevention of preterm birth: a systematic review.

Pre-conceptional laparoscopic cerclage for prevention of preterm birth: a systematic review.

Pre-conceptional laparoscopic cerclage for prevention of preterm birth: a systematic review.

Pre-conceptional laparoscopic cerclage for prevention of preterm birth: a systematic review.

Background: Cervical cerclage is used to prevent preterm delivery caused by cervical insufficiency, thereby reducing neonatal morbidity and mortality rates. Transabdominal cerclage is usually performed in women who previously underwent transvaginal cerclage that failed to prevent pregnancy loss, or in those with a short cervix where transvaginal cerclage was not feasible.

Objectives: To estimate the efficacy of pre-conceptional laparoscopic cerclage in facilitating term delivery and live birth.

Methods: A systematic review was conducted according to the PRISMA 2020 guidelines. This study was registered in PROSPERO (CRD42024545316). A search was conducted up to the 15th of April 2024, in the PubMed and Cochrane databases, using a combination of terms "laparoscopy", "transabdominal" and "cerclage". Original studies investigating the role of pre-conceptional laparoscopic cerclage on pregnancy outcomes after follow-up were eligible for inclusion in this review.

Main outcomes measures: Prevalence of deliveries after 37 weeks of gestation and live birth rates.

Results: Ten studies involving 1060 patients were included. The pooled prevalence of deliveries after 37 weeks of pregnancy was 70% [95% confidence interval (CI) 60%-79%, 7 studies, 515 pregnancies, I2: 85%] and the pooled prevalence of live birth was 92% (95% CI 86%-95%, 10 studies, 713 pregnancies, I2: 69%). Significantly higher rates of delivery after 37 weeks of pregnancy were associated with the use of mersilene tape compared to conventional sutures [odds ratio (OR): 2.98, 95% 1.95-4.56] and the use of an anterior knot compared to a posterior knot (OR: 2.26, 95% CI: 1.50-3.40).

Conclusions: Pre-conceptional laparoscopic cerclage achieved high rates of live birth after 37 weeks in women considered at high risk of preterm delivery. Comparative research is needed to better understand the efficacy of pre-conceptional laparoscopic cerclage as well as refine the indications for this procedure, optimise surgical techniques, and determine the best timing for cerclage placement.

What is new?: Pre-conceptional laparoscopic cerclage may prevent future preterm births and second-trimester pregnancy losses.

求助全文
通过发布文献求助,成功后即可免费获取论文全文。 去求助
来源期刊
Facts Views and Vision in ObGyn
Facts Views and Vision in ObGyn OBSTETRICS & GYNECOLOGY-
自引率
15.00%
发文量
59
×
引用
GB/T 7714-2015
复制
MLA
复制
APA
复制
导出至
BibTeX EndNote RefMan NoteFirst NoteExpress
×
提示
您的信息不完整,为了账户安全,请先补充。
现在去补充
×
提示
您因"违规操作"
具体请查看互助需知
我知道了
×
提示
确定
请完成安全验证×
copy
已复制链接
快去分享给好友吧!
我知道了
右上角分享
点击右上角分享
0
联系我们:info@booksci.cn Book学术提供免费学术资源搜索服务,方便国内外学者检索中英文文献。致力于提供最便捷和优质的服务体验。 Copyright © 2023 布克学术 All rights reserved.
京ICP备2023020795号-1
ghs 京公网安备 11010802042870号
Book学术文献互助
Book学术文献互助群
群 号:604180095
Book学术官方微信