倦怠性中暑危重患者90天死亡率预测评分系统的开发与验证

IF 3 3区 医学 Q1 UROLOGY & NEPHROLOGY
Renal Failure Pub Date : 2025-12-01 Epub Date: 2025-07-07 DOI:10.1080/0886022X.2025.2525462
Jiali Cun, Li Zhong, Jingjing Ji, Yan Liu, Zhifeng Liu, Ming Wu
{"title":"倦怠性中暑危重患者90天死亡率预测评分系统的开发与验证","authors":"Jiali Cun, Li Zhong, Jingjing Ji, Yan Liu, Zhifeng Liu, Ming Wu","doi":"10.1080/0886022X.2025.2525462","DOIUrl":null,"url":null,"abstract":"<p><strong>Purpose: </strong>Despite rising incidence, exertional heatstroke (EHS) lacks validated prognostic scoring tools. This study aimed to developed and validated a 90-day prognostic model for EHS patients.</p><p><strong>Methods: </strong>We conducted a retrospective cohort study of patients with EHS. Logistic regression analysis was utilized to identify the risk predictors associated with 90-day mortality. Using the mathematical transformation principle, the regression coefficients of each risk predictor were reassigned to develop a practical predictive scoring system. In this study, the predictive capability of the scoring model was validated <i>via</i> ROC curve analysis (AUC-based risk stratification), with model calibration further confirmed by the Hosmer-Lemeshow test.</p><p><strong>Results: </strong>Among 273 EHS patients in this cohort, 24 (8.8%) experienced 90-day mortality. Logistic regression analysis revealed acute kidney injury (AKI), prolonged activated partial thromboplastin time (APTT), and low fibrinogen as independent risk predictors. A scoring system (0-5 points) was developed by reassigning each predictor according to the logistic regression coefficient: AKI 3 points, prolonged APTT (≥47 s) 1 point, and fibrinogen (<2 g/L) 1 point. Internal validation using 1000 bootstrapping samples demonstrated that the scoring system had a relatively high discriminative ability, with a C-index of 0.90 (95% CI: 0.90-0.93). Using receiver operating characteristic curve analysis, the composite index incorporating these three risk predictors demonstrated a sensitivity of 78.3% and specificity of 89.9% in predicting 90-day mortality (area under the curve: 0.90; 95% confidence interval (CI): 0.81-0.98; <i>p</i> < 0.001).</p><p><strong>Conclusions: </strong>A predictive scoring system based on AKI, APTT, and fibrinogen can help predict the risk of 90-day mortality in patients with EHS.</p>","PeriodicalId":20839,"journal":{"name":"Renal Failure","volume":"47 1","pages":"2525462"},"PeriodicalIF":3.0000,"publicationDate":"2025-12-01","publicationTypes":"Journal Article","fieldsOfStudy":null,"isOpenAccess":false,"openAccessPdf":"https://www.ncbi.nlm.nih.gov/pmc/articles/PMC12239103/pdf/","citationCount":"0","resultStr":"{\"title\":\"Development and validation of the predictive scoring system for 90-day mortality in critical ill patients with exertional heatstroke.\",\"authors\":\"Jiali Cun, Li Zhong, Jingjing Ji, Yan Liu, Zhifeng Liu, Ming Wu\",\"doi\":\"10.1080/0886022X.2025.2525462\",\"DOIUrl\":null,\"url\":null,\"abstract\":\"<p><strong>Purpose: </strong>Despite rising incidence, exertional heatstroke (EHS) lacks validated prognostic scoring tools. This study aimed to developed and validated a 90-day prognostic model for EHS patients.</p><p><strong>Methods: </strong>We conducted a retrospective cohort study of patients with EHS. Logistic regression analysis was utilized to identify the risk predictors associated with 90-day mortality. Using the mathematical transformation principle, the regression coefficients of each risk predictor were reassigned to develop a practical predictive scoring system. In this study, the predictive capability of the scoring model was validated <i>via</i> ROC curve analysis (AUC-based risk stratification), with model calibration further confirmed by the Hosmer-Lemeshow test.</p><p><strong>Results: </strong>Among 273 EHS patients in this cohort, 24 (8.8%) experienced 90-day mortality. Logistic regression analysis revealed acute kidney injury (AKI), prolonged activated partial thromboplastin time (APTT), and low fibrinogen as independent risk predictors. A scoring system (0-5 points) was developed by reassigning each predictor according to the logistic regression coefficient: AKI 3 points, prolonged APTT (≥47 s) 1 point, and fibrinogen (<2 g/L) 1 point. Internal validation using 1000 bootstrapping samples demonstrated that the scoring system had a relatively high discriminative ability, with a C-index of 0.90 (95% CI: 0.90-0.93). Using receiver operating characteristic curve analysis, the composite index incorporating these three risk predictors demonstrated a sensitivity of 78.3% and specificity of 89.9% in predicting 90-day mortality (area under the curve: 0.90; 95% confidence interval (CI): 0.81-0.98; <i>p</i> < 0.001).</p><p><strong>Conclusions: </strong>A predictive scoring system based on AKI, APTT, and fibrinogen can help predict the risk of 90-day mortality in patients with EHS.</p>\",\"PeriodicalId\":20839,\"journal\":{\"name\":\"Renal Failure\",\"volume\":\"47 1\",\"pages\":\"2525462\"},\"PeriodicalIF\":3.0000,\"publicationDate\":\"2025-12-01\",\"publicationTypes\":\"Journal Article\",\"fieldsOfStudy\":null,\"isOpenAccess\":false,\"openAccessPdf\":\"https://www.ncbi.nlm.nih.gov/pmc/articles/PMC12239103/pdf/\",\"citationCount\":\"0\",\"resultStr\":null,\"platform\":\"Semanticscholar\",\"paperid\":null,\"PeriodicalName\":\"Renal Failure\",\"FirstCategoryId\":\"3\",\"ListUrlMain\":\"https://doi.org/10.1080/0886022X.2025.2525462\",\"RegionNum\":3,\"RegionCategory\":\"医学\",\"ArticlePicture\":[],\"TitleCN\":null,\"AbstractTextCN\":null,\"PMCID\":null,\"EPubDate\":\"2025/7/7 0:00:00\",\"PubModel\":\"Epub\",\"JCR\":\"Q1\",\"JCRName\":\"UROLOGY & NEPHROLOGY\",\"Score\":null,\"Total\":0}","platform":"Semanticscholar","paperid":null,"PeriodicalName":"Renal Failure","FirstCategoryId":"3","ListUrlMain":"https://doi.org/10.1080/0886022X.2025.2525462","RegionNum":3,"RegionCategory":"医学","ArticlePicture":[],"TitleCN":null,"AbstractTextCN":null,"PMCID":null,"EPubDate":"2025/7/7 0:00:00","PubModel":"Epub","JCR":"Q1","JCRName":"UROLOGY & NEPHROLOGY","Score":null,"Total":0}
引用次数: 0

摘要

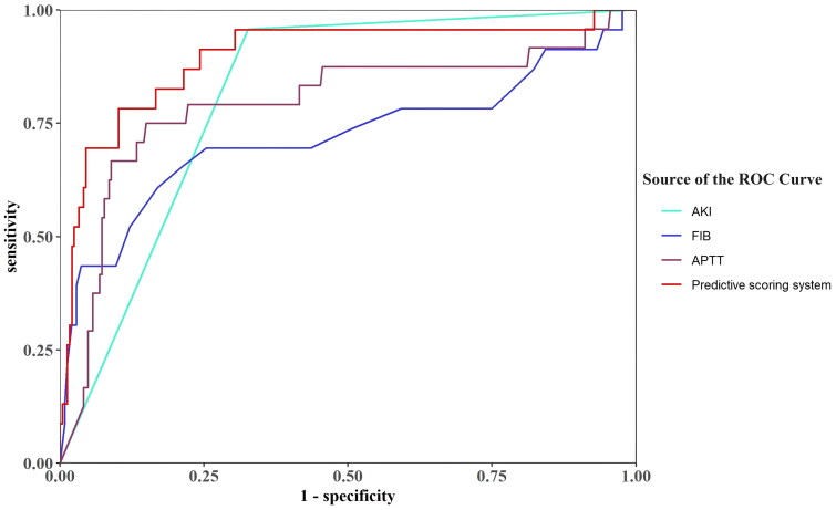
目的:尽管发病率上升,但劳累性中暑(EHS)缺乏有效的预后评分工具。本研究旨在建立并验证EHS患者90天预后模型。方法:对EHS患者进行回顾性队列研究。采用Logistic回归分析确定与90天死亡率相关的风险预测因素。利用数学变换原理,对各风险预测因子的回归系数进行重新赋值,建立实用的预测评分系统。本研究通过ROC曲线分析(基于auc的风险分层)验证了评分模型的预测能力,并通过Hosmer-Lemeshow检验进一步验证了模型的校准。结果:273例EHS患者中,24例(8.8%)90天死亡。Logistic回归分析显示急性肾损伤(AKI),延长活化部分凝血活酶时间(APTT)和低纤维蛋白原是独立的风险预测因素。根据logistic回归系数对各预测因子进行重新分配,建立评分系统(0-5分):AKI 3分,延长APTT(≥47 s) 1分,纤维蛋白原(p)。结论:基于AKI、APTT和纤维蛋白原的预测评分系统有助于预测EHS患者90天死亡风险。
本文章由计算机程序翻译,如有差异,请以英文原文为准。

Development and validation of the predictive scoring system for 90-day mortality in critical ill patients with exertional heatstroke.

Development and validation of the predictive scoring system for 90-day mortality in critical ill patients with exertional heatstroke.

Development and validation of the predictive scoring system for 90-day mortality in critical ill patients with exertional heatstroke.

Development and validation of the predictive scoring system for 90-day mortality in critical ill patients with exertional heatstroke.

Purpose: Despite rising incidence, exertional heatstroke (EHS) lacks validated prognostic scoring tools. This study aimed to developed and validated a 90-day prognostic model for EHS patients.

Methods: We conducted a retrospective cohort study of patients with EHS. Logistic regression analysis was utilized to identify the risk predictors associated with 90-day mortality. Using the mathematical transformation principle, the regression coefficients of each risk predictor were reassigned to develop a practical predictive scoring system. In this study, the predictive capability of the scoring model was validated via ROC curve analysis (AUC-based risk stratification), with model calibration further confirmed by the Hosmer-Lemeshow test.

Results: Among 273 EHS patients in this cohort, 24 (8.8%) experienced 90-day mortality. Logistic regression analysis revealed acute kidney injury (AKI), prolonged activated partial thromboplastin time (APTT), and low fibrinogen as independent risk predictors. A scoring system (0-5 points) was developed by reassigning each predictor according to the logistic regression coefficient: AKI 3 points, prolonged APTT (≥47 s) 1 point, and fibrinogen (<2 g/L) 1 point. Internal validation using 1000 bootstrapping samples demonstrated that the scoring system had a relatively high discriminative ability, with a C-index of 0.90 (95% CI: 0.90-0.93). Using receiver operating characteristic curve analysis, the composite index incorporating these three risk predictors demonstrated a sensitivity of 78.3% and specificity of 89.9% in predicting 90-day mortality (area under the curve: 0.90; 95% confidence interval (CI): 0.81-0.98; p < 0.001).

Conclusions: A predictive scoring system based on AKI, APTT, and fibrinogen can help predict the risk of 90-day mortality in patients with EHS.

求助全文
通过发布文献求助,成功后即可免费获取论文全文。 去求助
来源期刊
Renal Failure
Renal Failure 医学-泌尿学与肾脏学
CiteScore
3.90
自引率
13.30%
发文量
374
审稿时长
1 months
期刊介绍: Renal Failure primarily concentrates on acute renal injury and its consequence, but also addresses advances in the fields of chronic renal failure, hypertension, and renal transplantation. Bringing together both clinical and experimental aspects of renal failure, this publication presents timely, practical information on pathology and pathophysiology of acute renal failure; nephrotoxicity of drugs and other substances; prevention, treatment, and therapy of renal failure; renal failure in association with transplantation, hypertension, and diabetes mellitus.
×
引用
GB/T 7714-2015
复制
MLA
复制
APA
复制
导出至
BibTeX EndNote RefMan NoteFirst NoteExpress
×
提示
您的信息不完整,为了账户安全,请先补充。
现在去补充
×
提示
您因"违规操作"
具体请查看互助需知
我知道了
×
提示
确定
请完成安全验证×
copy
已复制链接
快去分享给好友吧!
我知道了
右上角分享
点击右上角分享
0
联系我们:info@booksci.cn Book学术提供免费学术资源搜索服务,方便国内外学者检索中英文文献。致力于提供最便捷和优质的服务体验。 Copyright © 2023 布克学术 All rights reserved.
京ICP备2023020795号-1
ghs 京公网安备 11010802042870号
Book学术文献互助
Book学术文献互助群
群 号:604180095
Book学术官方微信