Onasemnogene abparvovec基因替代治疗后1型脊髓性肌萎缩的早期干预和快速见效:汇总临床研究数据的事后分析结果

IF 4.8 3区 医学 Q1 CLINICAL NEUROLOGY
Neurology and Therapy Pub Date : 2025-10-01 Epub Date: 2025-07-07 DOI:10.1007/s40120-025-00791-1
Walter Toro, Sandra P Reyna, Shannon Ritter, Anish Patel, Nayla Mumneh, Omar Dabbous
{"title":"Onasemnogene abparvovec基因替代治疗后1型脊髓性肌萎缩的早期干预和快速见效:汇总临床研究数据的事后分析结果","authors":"Walter Toro, Sandra P Reyna, Shannon Ritter, Anish Patel, Nayla Mumneh, Omar Dabbous","doi":"10.1007/s40120-025-00791-1","DOIUrl":null,"url":null,"abstract":"<p><strong>Introduction: </strong>Studies suggest that early intervention with disease-modifying treatment for spinal muscular atrophy (SMA) might provide the best opportunity for optimal outcomes. One such treatment is onasemnogene abeparvovec, a gene replacement therapy with durable efficacy demonstrated in clinical trials, long-term studies, and real-world data (e.g., RESTORE registry).</p><p><strong>Methods: </strong>A pooled post-hoc analysis was conducted to assess the early post-treatment impact of intravenous onasemnogene abeparvovec on motor function and event-free survival for symptomatic infants with SMA type 1 (i.e., non-sitters). Children's Hospital of Philadelphia Infant Test of Neuromuscular Disorders (CHOP INTEND) scores and event-free survival were evaluated for patients enrolled in the START, STR1VE-US, and STR1VE-EU clinical trials.</p><p><strong>Results: </strong>The pooled analysis set included 67 patients. Mean (SD) CHOP INTEND score at baseline was 29.3 (9.58) points. Rapid increases in mean CHOP INTEND of 7.0, 9.7, and 11.8 points were observed at 1, 2, and 3 months post-dose, respectively. At 6 months post-dose, 54/59 infants (91.5%) treated with onasemnogene abeparvovec achieved a clinically significant ≥ 4-point improvement in CHOP INTEND score from baseline, with a mean (SD) CHOP INTEND score of 44.3 (9.92) points. Patients who received onasemnogene abeparvovec had longer ventilation-free survival compared with natural history, with a statistically significant separation from the natural history cohort being maintained throughout follow-up.</p><p><strong>Conclusions: </strong>Rapid and clinically significant improvements in motor function were observed for onasemnogene abeparvovec-treated patients with symptomatic SMA type 1. Early diagnosis and treatment are essential for timely restoration and preservation of motor neurons and maximal motor function improvement.</p>","PeriodicalId":19216,"journal":{"name":"Neurology and Therapy","volume":" ","pages":"1903-1918"},"PeriodicalIF":4.8000,"publicationDate":"2025-10-01","publicationTypes":"Journal Article","fieldsOfStudy":null,"isOpenAccess":false,"openAccessPdf":"https://www.ncbi.nlm.nih.gov/pmc/articles/PMC12450141/pdf/","citationCount":"0","resultStr":"{\"title\":\"Early Intervention and Speed-to-Effect in Spinal Muscular Atrophy Type 1 Following Onasemnogene Abeparvovec Gene Replacement Therapy: Results of aPost-Hoc Analysis of Pooled Clinical Study Data.\",\"authors\":\"Walter Toro, Sandra P Reyna, Shannon Ritter, Anish Patel, Nayla Mumneh, Omar Dabbous\",\"doi\":\"10.1007/s40120-025-00791-1\",\"DOIUrl\":null,\"url\":null,\"abstract\":\"<p><strong>Introduction: </strong>Studies suggest that early intervention with disease-modifying treatment for spinal muscular atrophy (SMA) might provide the best opportunity for optimal outcomes. One such treatment is onasemnogene abeparvovec, a gene replacement therapy with durable efficacy demonstrated in clinical trials, long-term studies, and real-world data (e.g., RESTORE registry).</p><p><strong>Methods: </strong>A pooled post-hoc analysis was conducted to assess the early post-treatment impact of intravenous onasemnogene abeparvovec on motor function and event-free survival for symptomatic infants with SMA type 1 (i.e., non-sitters). Children's Hospital of Philadelphia Infant Test of Neuromuscular Disorders (CHOP INTEND) scores and event-free survival were evaluated for patients enrolled in the START, STR1VE-US, and STR1VE-EU clinical trials.</p><p><strong>Results: </strong>The pooled analysis set included 67 patients. Mean (SD) CHOP INTEND score at baseline was 29.3 (9.58) points. Rapid increases in mean CHOP INTEND of 7.0, 9.7, and 11.8 points were observed at 1, 2, and 3 months post-dose, respectively. At 6 months post-dose, 54/59 infants (91.5%) treated with onasemnogene abeparvovec achieved a clinically significant ≥ 4-point improvement in CHOP INTEND score from baseline, with a mean (SD) CHOP INTEND score of 44.3 (9.92) points. Patients who received onasemnogene abeparvovec had longer ventilation-free survival compared with natural history, with a statistically significant separation from the natural history cohort being maintained throughout follow-up.</p><p><strong>Conclusions: </strong>Rapid and clinically significant improvements in motor function were observed for onasemnogene abeparvovec-treated patients with symptomatic SMA type 1. Early diagnosis and treatment are essential for timely restoration and preservation of motor neurons and maximal motor function improvement.</p>\",\"PeriodicalId\":19216,\"journal\":{\"name\":\"Neurology and Therapy\",\"volume\":\" \",\"pages\":\"1903-1918\"},\"PeriodicalIF\":4.8000,\"publicationDate\":\"2025-10-01\",\"publicationTypes\":\"Journal Article\",\"fieldsOfStudy\":null,\"isOpenAccess\":false,\"openAccessPdf\":\"https://www.ncbi.nlm.nih.gov/pmc/articles/PMC12450141/pdf/\",\"citationCount\":\"0\",\"resultStr\":null,\"platform\":\"Semanticscholar\",\"paperid\":null,\"PeriodicalName\":\"Neurology and Therapy\",\"FirstCategoryId\":\"3\",\"ListUrlMain\":\"https://doi.org/10.1007/s40120-025-00791-1\",\"RegionNum\":3,\"RegionCategory\":\"医学\",\"ArticlePicture\":[],\"TitleCN\":null,\"AbstractTextCN\":null,\"PMCID\":null,\"EPubDate\":\"2025/7/7 0:00:00\",\"PubModel\":\"Epub\",\"JCR\":\"Q1\",\"JCRName\":\"CLINICAL NEUROLOGY\",\"Score\":null,\"Total\":0}","platform":"Semanticscholar","paperid":null,"PeriodicalName":"Neurology and Therapy","FirstCategoryId":"3","ListUrlMain":"https://doi.org/10.1007/s40120-025-00791-1","RegionNum":3,"RegionCategory":"医学","ArticlePicture":[],"TitleCN":null,"AbstractTextCN":null,"PMCID":null,"EPubDate":"2025/7/7 0:00:00","PubModel":"Epub","JCR":"Q1","JCRName":"CLINICAL NEUROLOGY","Score":null,"Total":0}
引用次数: 0

摘要

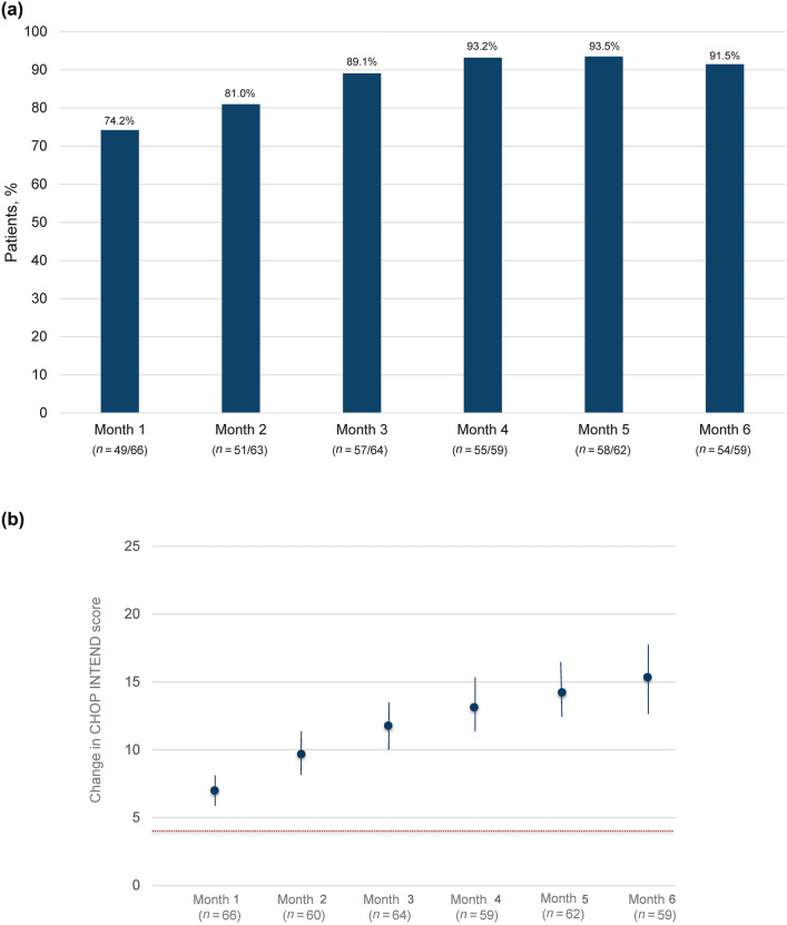
研究表明,对脊髓性肌萎缩症(SMA)进行疾病改善治疗的早期干预可能为获得最佳结果提供了最佳机会。其中一种治疗方法是onasemnogene abparvovec,这是一种基因替代疗法,在临床试验、长期研究和实际数据(例如RESTORE登记)中证明了持久的疗效。方法:通过事后分析,评估静脉注射onasemnogene abparvovec对有症状的1型SMA婴儿(即非静坐者)的运动功能和无事件生存的早期影响。对参加START、STR1VE-US和STR1VE-EU临床试验的患者进行费城儿童医院婴儿神经肌肉疾病测试(CHOP意图)评分和无事件生存评估。结果:共纳入67例患者。CHOP intention基线平均(SD)评分为29.3(9.58)分。在给药后1个月、2个月和3个月,平均CHOP intention分别快速增加7.0、9.7和11.8点。在给药后6个月,54/59例(91.5%)接受onasemnogene abparvovec治疗的婴儿CHOP intention评分较基线改善≥4分,平均(SD) CHOP intention评分为44.3(9.92)分。与自然史患者相比,接受onasemnogene abparvovec治疗的患者无通气生存期更长,在整个随访过程中,与自然史队列的分离具有统计学意义。结论:onasemnogene abparvovec治疗的症状性1型SMA患者的运动功能得到了快速且具有临床意义的改善。早期诊断和治疗对于及时恢复和保存运动神经元和最大限度地改善运动功能至关重要。
本文章由计算机程序翻译,如有差异,请以英文原文为准。

Early Intervention and Speed-to-Effect in Spinal Muscular Atrophy Type 1 Following Onasemnogene Abeparvovec Gene Replacement Therapy: Results of aPost-Hoc Analysis of Pooled Clinical Study Data.

Early Intervention and Speed-to-Effect in Spinal Muscular Atrophy Type 1 Following Onasemnogene Abeparvovec Gene Replacement Therapy: Results of aPost-Hoc Analysis of Pooled Clinical Study Data.

Early Intervention and Speed-to-Effect in Spinal Muscular Atrophy Type 1 Following Onasemnogene Abeparvovec Gene Replacement Therapy: Results of aPost-Hoc Analysis of Pooled Clinical Study Data.

Early Intervention and Speed-to-Effect in Spinal Muscular Atrophy Type 1 Following Onasemnogene Abeparvovec Gene Replacement Therapy: Results of aPost-Hoc Analysis of Pooled Clinical Study Data.

Introduction: Studies suggest that early intervention with disease-modifying treatment for spinal muscular atrophy (SMA) might provide the best opportunity for optimal outcomes. One such treatment is onasemnogene abeparvovec, a gene replacement therapy with durable efficacy demonstrated in clinical trials, long-term studies, and real-world data (e.g., RESTORE registry).

Methods: A pooled post-hoc analysis was conducted to assess the early post-treatment impact of intravenous onasemnogene abeparvovec on motor function and event-free survival for symptomatic infants with SMA type 1 (i.e., non-sitters). Children's Hospital of Philadelphia Infant Test of Neuromuscular Disorders (CHOP INTEND) scores and event-free survival were evaluated for patients enrolled in the START, STR1VE-US, and STR1VE-EU clinical trials.

Results: The pooled analysis set included 67 patients. Mean (SD) CHOP INTEND score at baseline was 29.3 (9.58) points. Rapid increases in mean CHOP INTEND of 7.0, 9.7, and 11.8 points were observed at 1, 2, and 3 months post-dose, respectively. At 6 months post-dose, 54/59 infants (91.5%) treated with onasemnogene abeparvovec achieved a clinically significant ≥ 4-point improvement in CHOP INTEND score from baseline, with a mean (SD) CHOP INTEND score of 44.3 (9.92) points. Patients who received onasemnogene abeparvovec had longer ventilation-free survival compared with natural history, with a statistically significant separation from the natural history cohort being maintained throughout follow-up.

Conclusions: Rapid and clinically significant improvements in motor function were observed for onasemnogene abeparvovec-treated patients with symptomatic SMA type 1. Early diagnosis and treatment are essential for timely restoration and preservation of motor neurons and maximal motor function improvement.

求助全文
通过发布文献求助,成功后即可免费获取论文全文。 去求助
来源期刊
Neurology and Therapy
Neurology and Therapy CLINICAL NEUROLOGY-
CiteScore
5.40
自引率
8.10%
发文量
103
审稿时长
6 weeks
期刊介绍: Aims and Scope Neurology and Therapy aims to provide reliable and inclusive, rapid publication for all therapy related research for neurological indications, supporting the timely dissemination of research with a global reach, to help advance scientific discovery and support clinical practice. Neurology and Therapy is an international, open access, peer reviewed, rapid publication journal dedicated to the publication of high-quality clinical (all phases), observational, real-world and health outcomes research around the discovery, development, and use of neurological and psychiatric therapies, (also covering surgery and devices). Studies relating to diagnosis, pharmacoeconomics, public health, quality of life, and patient care, management, and education are also welcomed. The journal is of interest to a broad audience of healthcare professionals and publishes original research, reviews, case reports, trial designs, communications and letters. The journal is read by a global audience and receives submissions from all over the world. Neurology and Therapy will consider all scientifically sound research be it positive, confirmatory or negative data. Submissions are welcomed whether they relate to an international and/or a country-specific audience, something that is crucially important when researchers are trying to target more specific patient populations. This inclusive approach allows the journal to assist in the dissemination of all scientifically and ethically sound research. Rapid Publication The journal’s rapid publication timelines aim for a peer review decision within 2 weeks of submission. If an article is accepted, it will be published online 3-4 weeks from acceptance. These rapid timelines are achieved through the combination of a dedicated in-house editorial team, who closely manage article workflow, and an extensive Editorial and Advisory Board who assist with rapid peer review. This allows the journal to support the rapid dissemination of research, whilst still providing robust peer review. Combined with the journal’s open access model, this allows for the rapid and efficient communication of the latest research and reviews to support scientific discovery and clinical practice. Open Access All articles published by Neurology and Therapy are open access. Personal Service The journal’s dedicated in-house editorial team offer a personal “concierge service” meaning that authors will always have a personal point of contact able to update them on the status of their manuscript. The editorial team check all manuscripts to ensure that articles conform to the most recent COPE and ICMJE publishing guidelines. This supports the publication of ethically sound and transparent research. We also encourage pre-submission enquiries and are always happy to provide a confidential assessment of manuscripts. Digital Features and Plain Language Summaries Neurology and Therapy offers a range of additional features designed to increase the visibility, readership and educational value of the journal’s content. Each article is accompanied by key summary points, giving a time-efficient overview of the content to a wide readership. Articles may be accompanied by plain language summaries to assist readers who have some knowledge of, but not in-depth expertise in, the area to understand the scientific content and overall implications of the article. The journal also provides the option to include various types of digital features including animated abstracts, video abstracts, slide decks, audio slides, instructional videos, infographics, podcasts and animations. All additional features are peer reviewed to the same high standard as the article itself. If you consider that your paper would benefit from the inclusion of a digital feature, please let us know. Our editorial team are able to create high-quality slide decks and infographics in-house, and video abstracts through our partner Research Square, and would be happy to assist in any way we can. For further information about digital features, please contact the journal editor (see ‘Contact the Journal’ for email address), and see the ‘Guidelines for digital features and plain language summaries’ document under ‘Submission guidelines’. For examples of digital features please visit our showcase page https://springerhealthcare.com/expertise/publishing-digital-features/ Publication Fees Upon acceptance of an article, authors will be required to pay the mandatory Rapid Service Fee of €5250/$6000/£4300. The journal will consider fee discounts and waivers for developing countries and this is decided on a case-by-case basis. Peer Review Process Upon submission, manuscripts are assessed by the editorial team to ensure they fit within the aims and scope of the journal and are also checked for plagiarism. All suitable submissions are then subject to a comprehensive single-blind peer review. Reviewers are selected based on their relevant expertise and publication history in the subject area. The journal has an extensive pool of editorial and advisory board members who have been selected to assist with peer review based on the afore-mentioned criteria. At least two extensive reviews are required to make the editorial decision, with the exception of some article types such as Commentaries, Editorials and Letters which are generally reviewed by one member of the Editorial Board. Where reviews conflict, an Editorial Board Member will be contacted for further advice and a presiding decision. Manuscripts are then either accepted, rejected or authors are required to make major or minor revisions (both reviewer comments and editorial comments may need to be addressed. Once a revised manuscript is re-submitted, it is assessed along with the responses to reviewer comments and if it has been adequately revised, it will be accepted for publication. Accepted manuscripts are then copyedited and typeset by the production team before online publication. Appeals against decisions following peer review are considered on a case-by-case basis and should be sent to the journal editor, and authors are welcome to make rebuttals against individual reviewer comments, if appropriate. Preprints We encourage posting of preprints of primary research manuscripts on preprint servers, authors'' or institutional websites, and open communications between researchers whether on community preprint servers or preprint commenting platforms. Posting of preprints is not considered prior publication and will not jeopardize consideration in our journals. Please see here for further information on preprint sharing: https://www.springer.com/gp/authors-editors/journal-author/journal-author-helpdesk/submission/1302#c16721550 Copyright Neurology and Therapy is published under the Creative Commons Attribution-Noncommercial License, which allows users to read, copy, distribute, and make derivative works for non-commercial purposes from the material, as long as the author of the original work is cited. The author assigns the exclusive right to any commercial use of the article to Springer. For more information about the Creative Commons Attribution-Noncommercial License, click here: http://creativecommons.org/licenses/by-nc/4.0. Contact For more information about the journal, including pre-submission enquiries, please contact managing editor Lydia Alborn at lydia.alborn@springer.com.
×
引用
GB/T 7714-2015
复制
MLA
复制
APA
复制
导出至
BibTeX EndNote RefMan NoteFirst NoteExpress
×
提示
您的信息不完整,为了账户安全,请先补充。
现在去补充
×
提示
您因"违规操作"
具体请查看互助需知
我知道了
×
提示
确定
请完成安全验证×
copy
已复制链接
快去分享给好友吧!
我知道了
右上角分享
点击右上角分享
0
联系我们:info@booksci.cn Book学术提供免费学术资源搜索服务,方便国内外学者检索中英文文献。致力于提供最便捷和优质的服务体验。 Copyright © 2023 布克学术 All rights reserved.
京ICP备2023020795号-1
ghs 京公网安备 11010802042870号
Book学术文献互助
Book学术文献互助群
群 号:604180095
Book学术官方微信