用数字和基于血液的生物标志物预测脑淀粉样蛋白负荷。

IF 7.6 1区 医学 Q1 CLINICAL NEUROLOGY
Weineng Chen, Yu Liao, Xinchong Shi, Fengjuan Su, Haifan Kong, Yingying Fang, Yifan Zheng, Jiayi Zhou, Ganqiang Liu, Xianbo Zhou, Xiaoli Yao, Curtis B Ashford, Feng Li, Long Yang, Michael F Bergeron, J Wesson Ashford, Xiangsong Zhang, Zhong Pei
{"title":"用数字和基于血液的生物标志物预测脑淀粉样蛋白负荷。","authors":"Weineng Chen, Yu Liao, Xinchong Shi, Fengjuan Su, Haifan Kong, Yingying Fang, Yifan Zheng, Jiayi Zhou, Ganqiang Liu, Xianbo Zhou, Xiaoli Yao, Curtis B Ashford, Feng Li, Long Yang, Michael F Bergeron, J Wesson Ashford, Xiangsong Zhang, Zhong Pei","doi":"10.1186/s13195-025-01801-y","DOIUrl":null,"url":null,"abstract":"<p><strong>Background: </strong>With the recent approval of anti-β-amyloid (Aβ) treatment for Alzheimer's disease (AD), a demand has emerged for scalable, convenient and accurate estimations of brain Aβ burden for the detection of AD that would enable timely, accurate and reliable diagnosis in one's primary care physician's (PCPs) office as called for recently by World Health Organization (WHO).</p><p><strong>Methods: </strong>MemTrax, a 2-minute online memory test, was selected as the digital biomarker of cognitive impairment, and blood-based biomarkers (BBMs) including Aβ42, Aβ40, P-tau181, GFAP and NfL were used to estimate AD-related metrics in different groups of elderly individuals (n = 349) for comparison with Aβ PET scans of brain Aβ burden. The correlations between MemTrax, MoCA, BBMs and brain Aβ burden, expressed in centiloid (CL) values, were analyzed for predicting CL value alone or in combinations using machine-learning (ML).</p><p><strong>Results: </strong>Both MemTrax and the MoCA were able to differentiate Aβ status similarly. Integration of MemTrax and BBMs using ML, however, significantly improved the AUCs (over the same with MoCA) for differentiating Aβ status. MemTrax and p-Tau181/Aβ42 composite showed the strongest relationship with CL value among other BBMs. Most importantly, regression analyses of MemTrax and p-Tau181/Aβ42 aptly predicted CL values.</p><p><strong>Conclusion: </strong>The combination of MemTrax and BBMs provides an accurate, convenient, non-invasive, cost-effective and scalable way to estimate Aβ load, which provides an opportunity for mass screening and timely and accurate diagnosis of AD. Our findings could also facilitate more effective AD clinical management in the PCPs office worldwide for more equitable access to current standard of care.</p>","PeriodicalId":7516,"journal":{"name":"Alzheimer's Research & Therapy","volume":"17 1","pages":"149"},"PeriodicalIF":7.6000,"publicationDate":"2025-07-05","publicationTypes":"Journal Article","fieldsOfStudy":null,"isOpenAccess":false,"openAccessPdf":"https://www.ncbi.nlm.nih.gov/pmc/articles/PMC12228144/pdf/","citationCount":"0","resultStr":"{\"title\":\"Predicting brain amyloid load with digital and blood-based biomarkers.\",\"authors\":\"Weineng Chen, Yu Liao, Xinchong Shi, Fengjuan Su, Haifan Kong, Yingying Fang, Yifan Zheng, Jiayi Zhou, Ganqiang Liu, Xianbo Zhou, Xiaoli Yao, Curtis B Ashford, Feng Li, Long Yang, Michael F Bergeron, J Wesson Ashford, Xiangsong Zhang, Zhong Pei\",\"doi\":\"10.1186/s13195-025-01801-y\",\"DOIUrl\":null,\"url\":null,\"abstract\":\"<p><strong>Background: </strong>With the recent approval of anti-β-amyloid (Aβ) treatment for Alzheimer's disease (AD), a demand has emerged for scalable, convenient and accurate estimations of brain Aβ burden for the detection of AD that would enable timely, accurate and reliable diagnosis in one's primary care physician's (PCPs) office as called for recently by World Health Organization (WHO).</p><p><strong>Methods: </strong>MemTrax, a 2-minute online memory test, was selected as the digital biomarker of cognitive impairment, and blood-based biomarkers (BBMs) including Aβ42, Aβ40, P-tau181, GFAP and NfL were used to estimate AD-related metrics in different groups of elderly individuals (n = 349) for comparison with Aβ PET scans of brain Aβ burden. The correlations between MemTrax, MoCA, BBMs and brain Aβ burden, expressed in centiloid (CL) values, were analyzed for predicting CL value alone or in combinations using machine-learning (ML).</p><p><strong>Results: </strong>Both MemTrax and the MoCA were able to differentiate Aβ status similarly. Integration of MemTrax and BBMs using ML, however, significantly improved the AUCs (over the same with MoCA) for differentiating Aβ status. MemTrax and p-Tau181/Aβ42 composite showed the strongest relationship with CL value among other BBMs. Most importantly, regression analyses of MemTrax and p-Tau181/Aβ42 aptly predicted CL values.</p><p><strong>Conclusion: </strong>The combination of MemTrax and BBMs provides an accurate, convenient, non-invasive, cost-effective and scalable way to estimate Aβ load, which provides an opportunity for mass screening and timely and accurate diagnosis of AD. Our findings could also facilitate more effective AD clinical management in the PCPs office worldwide for more equitable access to current standard of care.</p>\",\"PeriodicalId\":7516,\"journal\":{\"name\":\"Alzheimer's Research & Therapy\",\"volume\":\"17 1\",\"pages\":\"149\"},\"PeriodicalIF\":7.6000,\"publicationDate\":\"2025-07-05\",\"publicationTypes\":\"Journal Article\",\"fieldsOfStudy\":null,\"isOpenAccess\":false,\"openAccessPdf\":\"https://www.ncbi.nlm.nih.gov/pmc/articles/PMC12228144/pdf/\",\"citationCount\":\"0\",\"resultStr\":null,\"platform\":\"Semanticscholar\",\"paperid\":null,\"PeriodicalName\":\"Alzheimer's Research & Therapy\",\"FirstCategoryId\":\"3\",\"ListUrlMain\":\"https://doi.org/10.1186/s13195-025-01801-y\",\"RegionNum\":1,\"RegionCategory\":\"医学\",\"ArticlePicture\":[],\"TitleCN\":null,\"AbstractTextCN\":null,\"PMCID\":null,\"EPubDate\":\"\",\"PubModel\":\"\",\"JCR\":\"Q1\",\"JCRName\":\"CLINICAL NEUROLOGY\",\"Score\":null,\"Total\":0}","platform":"Semanticscholar","paperid":null,"PeriodicalName":"Alzheimer's Research & Therapy","FirstCategoryId":"3","ListUrlMain":"https://doi.org/10.1186/s13195-025-01801-y","RegionNum":1,"RegionCategory":"医学","ArticlePicture":[],"TitleCN":null,"AbstractTextCN":null,"PMCID":null,"EPubDate":"","PubModel":"","JCR":"Q1","JCRName":"CLINICAL NEUROLOGY","Score":null,"Total":0}
引用次数: 0

摘要

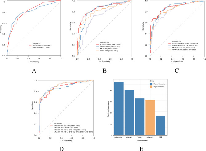
背景:随着抗β-淀粉样蛋白(a β)治疗阿尔茨海默病(AD)的最近批准,出现了一种可扩展、方便和准确的脑a β负担评估的需求,以检测AD,这将使初级保健医生(pcp)办公室能够及时、准确和可靠地诊断,这是世界卫生组织(WHO)最近呼吁的。方法:选择MemTrax(2分钟在线记忆测试)作为认知障碍的数字生物标志物,并使用a β42、a β40、P-tau181、GFAP和NfL等血基生物标志物(BBMs)估计不同组老年人(n = 349)的ad相关指标,与a β PET扫描的脑a β负荷进行比较。分析MemTrax、MoCA、BBMs与脑Aβ负荷(以厘体(CL)值表示)之间的相关性,以单独预测CL值或使用机器学习(ML)组合预测CL值。结果:MemTrax和MoCA具有相似的分化Aβ状态的能力。然而,使用ML将MemTrax和BBMs整合,显著改善了用于区分Aβ状态的auc(与MoCA相同)。在其他BBMs中,MemTrax和p-Tau181/ a - β42复合物与CL值的关系最强。最重要的是,MemTrax和p-Tau181/ a - β42的回归分析能准确预测CL值。结论:MemTrax与BBMs联合使用可提供一种准确、便捷、无创、经济、可扩展的Aβ负荷评估方法,为大规模筛查和及时准确诊断AD提供了机会。我们的研究结果也可以促进全球pcp办公室更有效的阿尔茨海默病临床管理,以更公平地获得当前标准的护理。
本文章由计算机程序翻译,如有差异,请以英文原文为准。

Predicting brain amyloid load with digital and blood-based biomarkers.

Predicting brain amyloid load with digital and blood-based biomarkers.

Predicting brain amyloid load with digital and blood-based biomarkers.

Predicting brain amyloid load with digital and blood-based biomarkers.

Background: With the recent approval of anti-β-amyloid (Aβ) treatment for Alzheimer's disease (AD), a demand has emerged for scalable, convenient and accurate estimations of brain Aβ burden for the detection of AD that would enable timely, accurate and reliable diagnosis in one's primary care physician's (PCPs) office as called for recently by World Health Organization (WHO).

Methods: MemTrax, a 2-minute online memory test, was selected as the digital biomarker of cognitive impairment, and blood-based biomarkers (BBMs) including Aβ42, Aβ40, P-tau181, GFAP and NfL were used to estimate AD-related metrics in different groups of elderly individuals (n = 349) for comparison with Aβ PET scans of brain Aβ burden. The correlations between MemTrax, MoCA, BBMs and brain Aβ burden, expressed in centiloid (CL) values, were analyzed for predicting CL value alone or in combinations using machine-learning (ML).

Results: Both MemTrax and the MoCA were able to differentiate Aβ status similarly. Integration of MemTrax and BBMs using ML, however, significantly improved the AUCs (over the same with MoCA) for differentiating Aβ status. MemTrax and p-Tau181/Aβ42 composite showed the strongest relationship with CL value among other BBMs. Most importantly, regression analyses of MemTrax and p-Tau181/Aβ42 aptly predicted CL values.

Conclusion: The combination of MemTrax and BBMs provides an accurate, convenient, non-invasive, cost-effective and scalable way to estimate Aβ load, which provides an opportunity for mass screening and timely and accurate diagnosis of AD. Our findings could also facilitate more effective AD clinical management in the PCPs office worldwide for more equitable access to current standard of care.

求助全文
通过发布文献求助,成功后即可免费获取论文全文。 去求助
来源期刊
Alzheimer's Research & Therapy
Alzheimer's Research & Therapy 医学-神经病学
CiteScore
13.10
自引率
3.30%
发文量
172
审稿时长
>12 weeks
期刊介绍: Alzheimer's Research & Therapy is an international peer-reviewed journal that focuses on translational research into Alzheimer's disease and other neurodegenerative diseases. It publishes open-access basic research, clinical trials, drug discovery and development studies, and epidemiologic studies. The journal also includes reviews, viewpoints, commentaries, debates, and reports. All articles published in Alzheimer's Research & Therapy are included in several reputable databases such as CAS, Current contents, DOAJ, Embase, Journal Citation Reports/Science Edition, MEDLINE, PubMed, PubMed Central, Science Citation Index Expanded (Web of Science) and Scopus.
×
引用
GB/T 7714-2015
复制
MLA
复制
APA
复制
导出至
BibTeX EndNote RefMan NoteFirst NoteExpress
×
提示
您的信息不完整,为了账户安全,请先补充。
现在去补充
×
提示
您因"违规操作"
具体请查看互助需知
我知道了
×
提示
确定
请完成安全验证×
copy
已复制链接
快去分享给好友吧!
我知道了
右上角分享
点击右上角分享
0
联系我们:info@booksci.cn Book学术提供免费学术资源搜索服务,方便国内外学者检索中英文文献。致力于提供最便捷和优质的服务体验。 Copyright © 2023 布克学术 All rights reserved.
京ICP备2023020795号-1
ghs 京公网安备 11010802042870号
Book学术文献互助
Book学术文献互助群
群 号:604180095
Book学术官方微信