聚酰胺-胺枝状大分子功能化离子分离介质的研究进展

Ding Zhou, Dan-Dan Guo, Yan Zhu
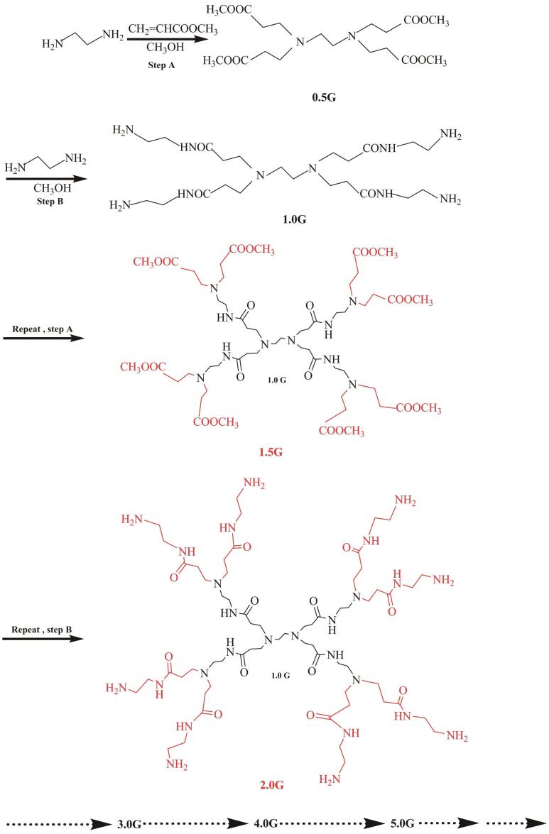
{"title":"聚酰胺-胺枝状大分子功能化离子分离介质的研究进展","authors":"Ding Zhou, Dan-Dan Guo, Yan Zhu","doi":"10.3724/SP.J.1123.2024.06002","DOIUrl":null,"url":null,"abstract":"<p><p>Recent years have witnessed the gradual use of dendrimers to prepare and modify various separation materials, including adsorbents and chromatographic stationary phases. Polyamide-amine (PAMAM) has become one of the most widely used dendritic materials because it is simple to prepare, inexpensive, hypotoxic, and has excellent performance characteristics. PAMAM is advantageous as a modification material for adsorbents and chromatographic stationary phases compared to other traditional materials. Firstly, the large number of terminal groups on a PAMAM dendrimer provide abundant interaction sites on the surface of the functional matrix, which is beneficial for delivering superior adsorption capacity and separation selectivity. In addition, the hyperbranched structure of a PAMAM dendrimer facilitates higher grafting efficiency on the limited surface area of the matrix while simultaneously improving the uniformity of the functional groups grafted on the surface. Moreover, the controllable structure of PAMAM dendrimer effectively regulates the surface structure of separated materials. Moreover, the terminal amino functional groups of integer-generational PAMAM dendrimer are capable of carrying a high density of positive charges following protonation or quaternization, thereby facilitating good electrostatic interactions with negatively charged anionic substances that lead to excellent enrichment and separation effects. Based on the structural characteristics of integer generation PAMAM dendrimer and the mechanism of ionic interaction, the research progress of protonated or quaternized PAMAM dendrimer in the preparation of ionic adsorbents and ion chromatography stationary phases was summarized in this paper. Their future development potential and applications prospects are also discussed.</p>","PeriodicalId":101336,"journal":{"name":"Se pu = Chinese journal of chromatography","volume":"43 7","pages":"726-733"},"PeriodicalIF":0.0000,"publicationDate":"2025-07-01","publicationTypes":"Journal Article","fieldsOfStudy":null,"isOpenAccess":false,"openAccessPdf":"https://www.ncbi.nlm.nih.gov/pmc/articles/PMC12231487/pdf/","citationCount":"0","resultStr":"{\"title\":\"[Research progress in polyamide-amine dendrimer functionalized ionic separation media].\",\"authors\":\"Ding Zhou, Dan-Dan Guo, Yan Zhu\",\"doi\":\"10.3724/SP.J.1123.2024.06002\",\"DOIUrl\":null,\"url\":null,\"abstract\":\"<p><p>Recent years have witnessed the gradual use of dendrimers to prepare and modify various separation materials, including adsorbents and chromatographic stationary phases. Polyamide-amine (PAMAM) has become one of the most widely used dendritic materials because it is simple to prepare, inexpensive, hypotoxic, and has excellent performance characteristics. PAMAM is advantageous as a modification material for adsorbents and chromatographic stationary phases compared to other traditional materials. Firstly, the large number of terminal groups on a PAMAM dendrimer provide abundant interaction sites on the surface of the functional matrix, which is beneficial for delivering superior adsorption capacity and separation selectivity. In addition, the hyperbranched structure of a PAMAM dendrimer facilitates higher grafting efficiency on the limited surface area of the matrix while simultaneously improving the uniformity of the functional groups grafted on the surface. Moreover, the controllable structure of PAMAM dendrimer effectively regulates the surface structure of separated materials. Moreover, the terminal amino functional groups of integer-generational PAMAM dendrimer are capable of carrying a high density of positive charges following protonation or quaternization, thereby facilitating good electrostatic interactions with negatively charged anionic substances that lead to excellent enrichment and separation effects. Based on the structural characteristics of integer generation PAMAM dendrimer and the mechanism of ionic interaction, the research progress of protonated or quaternized PAMAM dendrimer in the preparation of ionic adsorbents and ion chromatography stationary phases was summarized in this paper. Their future development potential and applications prospects are also discussed.</p>\",\"PeriodicalId\":101336,\"journal\":{\"name\":\"Se pu = Chinese journal of chromatography\",\"volume\":\"43 7\",\"pages\":\"726-733\"},\"PeriodicalIF\":0.0000,\"publicationDate\":\"2025-07-01\",\"publicationTypes\":\"Journal Article\",\"fieldsOfStudy\":null,\"isOpenAccess\":false,\"openAccessPdf\":\"https://www.ncbi.nlm.nih.gov/pmc/articles/PMC12231487/pdf/\",\"citationCount\":\"0\",\"resultStr\":null,\"platform\":\"Semanticscholar\",\"paperid\":null,\"PeriodicalName\":\"Se pu = Chinese journal of chromatography\",\"FirstCategoryId\":\"1085\",\"ListUrlMain\":\"https://doi.org/10.3724/SP.J.1123.2024.06002\",\"RegionNum\":0,\"RegionCategory\":null,\"ArticlePicture\":[],\"TitleCN\":null,\"AbstractTextCN\":null,\"PMCID\":null,\"EPubDate\":\"\",\"PubModel\":\"\",\"JCR\":\"\",\"JCRName\":\"\",\"Score\":null,\"Total\":0}","platform":"Semanticscholar","paperid":null,"PeriodicalName":"Se pu = Chinese journal of chromatography","FirstCategoryId":"1085","ListUrlMain":"https://doi.org/10.3724/SP.J.1123.2024.06002","RegionNum":0,"RegionCategory":null,"ArticlePicture":[],"TitleCN":null,"AbstractTextCN":null,"PMCID":null,"EPubDate":"","PubModel":"","JCR":"","JCRName":"","Score":null,"Total":0}
引用次数: 0

摘要

近年来,树枝状大分子逐渐被用于制备和修饰各种分离材料,包括吸附剂和色谱固定相。聚酰胺胺(PAMAM)具有制备简单、价格低廉、低毒性、性能优异等特点,已成为应用最广泛的枝状材料之一。与其他传统材料相比,PAMAM作为吸附剂和色谱固定相的改性材料具有优势。首先,PAMAM树状大分子上大量的末端基团在功能基质表面提供了丰富的相互作用位点,这有利于提供优越的吸附能力和分离选择性。此外,PAMAM树枝状大分子的超支化结构有利于在有限的基体表面积上获得更高的接枝效率,同时提高了接枝官能团在表面的均匀性。此外,PAMAM树状大分子的可控结构有效地调节了分离材料的表面结构。此外,整代PAMAM树状大分子的末端氨基官能团能够在质子化或季铵化后携带高密度的正电荷,从而促进与带负电荷的阴离子物质的良好静电相互作用,从而产生优异的富集和分离效果。基于整数代PAMAM树状大分子的结构特点和离子相互作用机理,综述了质子化或季铵化PAMAM树状大分子在制备离子吸附剂和离子色谱固定相方面的研究进展。并对其未来的发展潜力和应用前景进行了讨论。
本文章由计算机程序翻译,如有差异,请以英文原文为准。

[Research progress in polyamide-amine dendrimer functionalized ionic separation media].

[Research progress in polyamide-amine dendrimer functionalized ionic separation media].

[Research progress in polyamide-amine dendrimer functionalized ionic separation media].

[Research progress in polyamide-amine dendrimer functionalized ionic separation media].

Recent years have witnessed the gradual use of dendrimers to prepare and modify various separation materials, including adsorbents and chromatographic stationary phases. Polyamide-amine (PAMAM) has become one of the most widely used dendritic materials because it is simple to prepare, inexpensive, hypotoxic, and has excellent performance characteristics. PAMAM is advantageous as a modification material for adsorbents and chromatographic stationary phases compared to other traditional materials. Firstly, the large number of terminal groups on a PAMAM dendrimer provide abundant interaction sites on the surface of the functional matrix, which is beneficial for delivering superior adsorption capacity and separation selectivity. In addition, the hyperbranched structure of a PAMAM dendrimer facilitates higher grafting efficiency on the limited surface area of the matrix while simultaneously improving the uniformity of the functional groups grafted on the surface. Moreover, the controllable structure of PAMAM dendrimer effectively regulates the surface structure of separated materials. Moreover, the terminal amino functional groups of integer-generational PAMAM dendrimer are capable of carrying a high density of positive charges following protonation or quaternization, thereby facilitating good electrostatic interactions with negatively charged anionic substances that lead to excellent enrichment and separation effects. Based on the structural characteristics of integer generation PAMAM dendrimer and the mechanism of ionic interaction, the research progress of protonated or quaternized PAMAM dendrimer in the preparation of ionic adsorbents and ion chromatography stationary phases was summarized in this paper. Their future development potential and applications prospects are also discussed.

求助全文
通过发布文献求助,成功后即可免费获取论文全文。 去求助
来源期刊
自引率
0.00%
发文量
0
×
引用
GB/T 7714-2015
复制
MLA
复制
APA
复制
导出至
BibTeX EndNote RefMan NoteFirst NoteExpress
×
提示
您的信息不完整,为了账户安全,请先补充。
现在去补充
×
提示
您因"违规操作"
具体请查看互助需知
我知道了
×
提示
确定
请完成安全验证×
copy
已复制链接
快去分享给好友吧!
我知道了
右上角分享
点击右上角分享
0
联系我们:info@booksci.cn Book学术提供免费学术资源搜索服务,方便国内外学者检索中英文文献。致力于提供最便捷和优质的服务体验。 Copyright © 2023 布克学术 All rights reserved.
京ICP备2023020795号-1
ghs 京公网安备 11010802042870号
Book学术文献互助
Book学术文献互助群
群 号:604180095
Book学术官方微信