机器学习死亡率风险预测对临床医生预后准确性和决策支持的影响:一项随机研究。

IF 3.1 3区 医学 Q2 HEALTH CARE SCIENCES & SERVICES
Medical Decision Making Pub Date : 2025-08-01 Epub Date: 2025-07-04 DOI:10.1177/0272989X251349489
Ravi B Parikh, William J Ferrell, Anthony Girard, Jenna White, Sophia Fang, Justin E Bekelman, Marilyn M Schapira
{"title":"机器学习死亡率风险预测对临床医生预后准确性和决策支持的影响:一项随机研究。","authors":"Ravi B Parikh, William J Ferrell, Anthony Girard, Jenna White, Sophia Fang, Justin E Bekelman, Marilyn M Schapira","doi":"10.1177/0272989X251349489","DOIUrl":null,"url":null,"abstract":"<p><p>BackgroundMachine learning (ML) algorithms may improve the prognosis for serious illnesses such as cancer, identifying patients who may benefit from earlier palliative care (PC) or advance care planning (ACP). We evaluated the impact of various presentation strategies of a hypothetical ML algorithm on clinician prognostic accuracy and decision making.MethodsThis was a randomized clinical vignette survey study among medical oncologists who treat metastatic non-small-cell lung cancer (mNSCLC). Between March and June 2023, clinicians were shown 3 vignettes of patients presenting with mNSCLC. The vignettes varied by prognostic risk, as defined from the Lung Cancer Prognostic Index (LCPI). Clinicians estimated life expectancy in months and made recommendations about PC and ACP. Clinicians were then shown the same vignette with a hypothetical survival estimate from a black-box ML algorithm; clinicians were randomized to receive the ML prediction using absolute and/or reference-dependent prognostic estimates. The primary outcome was prognostic accuracy relative to the LCPI.ResultsAmong 51 clinicians with complete responses, the median years in practice was 7 (interquartile range 3.5-19), 14 (27.5%) were female, 23 (45.1%) practiced in a community oncology setting, and baseline accuracy was 54.9% (95% confidence interval [CI] 47.0-62.8) across all vignettes. ML presentation improved accuracy (mean change relative to baseline 20.9%, 95% CI 13.9-27.9, <i>P</i> < 0.001). ML outputs using an absolute presentation strategy alone (mean change 27.4%, 95% 16.8-38.1, <i>P</i> < 0.001) or with reference dependence (mean change 33.4%, 95% 23.9-42.8, <i>P</i> < 0.001) improved accuracy, but reference dependence alone did not (mean change 2.0% [95% CI -11.1 to 15.0], <i>P</i> = 0.77). ML presentation did not change the rates of recommending ACP nor PC referral (mean change 1.3% and 0.7%, respectively).LimitationsThe singular use case of prognosis in mNSCLC, low initial response rate.ConclusionsML-based assessments may improve prognostic accuracy but not result in changed decision making.ImplicationsML prognostic algorithms prioritizing explainability and absolute prognoses may have greater impact on clinician decision making.Trial Registration: CT.gov: NCT06463977HighlightsWhile machine learning (ML) algorithms may accurately predict mortality, the impact of prognostic ML on clinicians' prognostic accuracy and decision making and optimal presentation strategies for ML outputs are unclear.In this multicenter randomized survey study among vignettes of patients with advanced cancer, prognostic accuracy improved by 20.9% when clinicians reviewed vignettes with a hypothetical ML mortality risk prediction, with absolute risk presentation strategies resulting in greater accuracy gains than reference-dependent presentations alone.However, ML presentation did not change the rates of recommending advance care planning or palliative care referral (1.3% and 0.7%, respectively).ML-based prognostic assessments without explanations improve prognostic accuracy but do not change decisions around palliative care referral or advance care planning.</p>","PeriodicalId":49839,"journal":{"name":"Medical Decision Making","volume":" ","pages":"690-702"},"PeriodicalIF":3.1000,"publicationDate":"2025-08-01","publicationTypes":"Journal Article","fieldsOfStudy":null,"isOpenAccess":false,"openAccessPdf":"https://www.ncbi.nlm.nih.gov/pmc/articles/PMC12233153/pdf/","citationCount":"0","resultStr":"{\"title\":\"The Impact of Machine Learning Mortality Risk Prediction on Clinician Prognostic Accuracy and Decision Support: A Randomized Vignette Study.\",\"authors\":\"Ravi B Parikh, William J Ferrell, Anthony Girard, Jenna White, Sophia Fang, Justin E Bekelman, Marilyn M Schapira\",\"doi\":\"10.1177/0272989X251349489\",\"DOIUrl\":null,\"url\":null,\"abstract\":\"<p><p>BackgroundMachine learning (ML) algorithms may improve the prognosis for serious illnesses such as cancer, identifying patients who may benefit from earlier palliative care (PC) or advance care planning (ACP). We evaluated the impact of various presentation strategies of a hypothetical ML algorithm on clinician prognostic accuracy and decision making.MethodsThis was a randomized clinical vignette survey study among medical oncologists who treat metastatic non-small-cell lung cancer (mNSCLC). Between March and June 2023, clinicians were shown 3 vignettes of patients presenting with mNSCLC. The vignettes varied by prognostic risk, as defined from the Lung Cancer Prognostic Index (LCPI). Clinicians estimated life expectancy in months and made recommendations about PC and ACP. Clinicians were then shown the same vignette with a hypothetical survival estimate from a black-box ML algorithm; clinicians were randomized to receive the ML prediction using absolute and/or reference-dependent prognostic estimates. The primary outcome was prognostic accuracy relative to the LCPI.ResultsAmong 51 clinicians with complete responses, the median years in practice was 7 (interquartile range 3.5-19), 14 (27.5%) were female, 23 (45.1%) practiced in a community oncology setting, and baseline accuracy was 54.9% (95% confidence interval [CI] 47.0-62.8) across all vignettes. ML presentation improved accuracy (mean change relative to baseline 20.9%, 95% CI 13.9-27.9, <i>P</i> < 0.001). ML outputs using an absolute presentation strategy alone (mean change 27.4%, 95% 16.8-38.1, <i>P</i> < 0.001) or with reference dependence (mean change 33.4%, 95% 23.9-42.8, <i>P</i> < 0.001) improved accuracy, but reference dependence alone did not (mean change 2.0% [95% CI -11.1 to 15.0], <i>P</i> = 0.77). ML presentation did not change the rates of recommending ACP nor PC referral (mean change 1.3% and 0.7%, respectively).LimitationsThe singular use case of prognosis in mNSCLC, low initial response rate.ConclusionsML-based assessments may improve prognostic accuracy but not result in changed decision making.ImplicationsML prognostic algorithms prioritizing explainability and absolute prognoses may have greater impact on clinician decision making.Trial Registration: CT.gov: NCT06463977HighlightsWhile machine learning (ML) algorithms may accurately predict mortality, the impact of prognostic ML on clinicians' prognostic accuracy and decision making and optimal presentation strategies for ML outputs are unclear.In this multicenter randomized survey study among vignettes of patients with advanced cancer, prognostic accuracy improved by 20.9% when clinicians reviewed vignettes with a hypothetical ML mortality risk prediction, with absolute risk presentation strategies resulting in greater accuracy gains than reference-dependent presentations alone.However, ML presentation did not change the rates of recommending advance care planning or palliative care referral (1.3% and 0.7%, respectively).ML-based prognostic assessments without explanations improve prognostic accuracy but do not change decisions around palliative care referral or advance care planning.</p>\",\"PeriodicalId\":49839,\"journal\":{\"name\":\"Medical Decision Making\",\"volume\":\" \",\"pages\":\"690-702\"},\"PeriodicalIF\":3.1000,\"publicationDate\":\"2025-08-01\",\"publicationTypes\":\"Journal Article\",\"fieldsOfStudy\":null,\"isOpenAccess\":false,\"openAccessPdf\":\"https://www.ncbi.nlm.nih.gov/pmc/articles/PMC12233153/pdf/\",\"citationCount\":\"0\",\"resultStr\":null,\"platform\":\"Semanticscholar\",\"paperid\":null,\"PeriodicalName\":\"Medical Decision Making\",\"FirstCategoryId\":\"3\",\"ListUrlMain\":\"https://doi.org/10.1177/0272989X251349489\",\"RegionNum\":3,\"RegionCategory\":\"医学\",\"ArticlePicture\":[],\"TitleCN\":null,\"AbstractTextCN\":null,\"PMCID\":null,\"EPubDate\":\"2025/7/4 0:00:00\",\"PubModel\":\"Epub\",\"JCR\":\"Q2\",\"JCRName\":\"HEALTH CARE SCIENCES & SERVICES\",\"Score\":null,\"Total\":0}","platform":"Semanticscholar","paperid":null,"PeriodicalName":"Medical Decision Making","FirstCategoryId":"3","ListUrlMain":"https://doi.org/10.1177/0272989X251349489","RegionNum":3,"RegionCategory":"医学","ArticlePicture":[],"TitleCN":null,"AbstractTextCN":null,"PMCID":null,"EPubDate":"2025/7/4 0:00:00","PubModel":"Epub","JCR":"Q2","JCRName":"HEALTH CARE SCIENCES & SERVICES","Score":null,"Total":0}
引用次数: 0

摘要

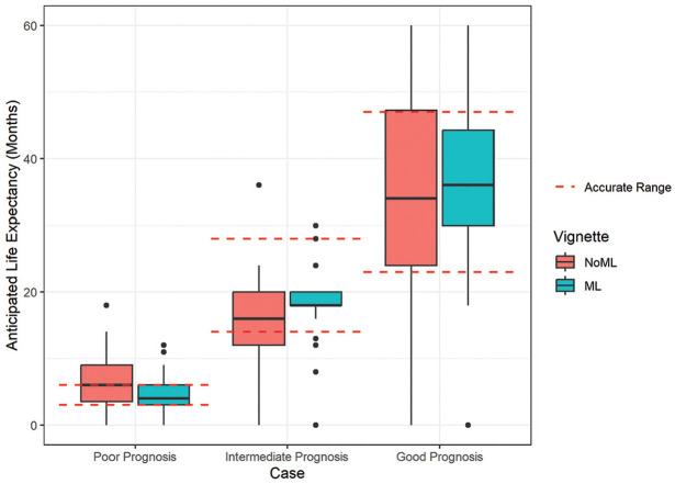
机器学习(ML)算法可以改善癌症等严重疾病的预后,识别可能受益于早期姑息治疗(PC)或提前护理计划(ACP)的患者。我们评估了假设ML算法的各种呈现策略对临床医生预后准确性和决策的影响。方法:这是一项随机临床调查研究,研究对象是治疗转移性非小细胞肺癌(mNSCLC)的内科肿瘤学家。在2023年3月至6月期间,临床医生展示了3个小片段的小细胞肺癌患者。根据肺癌预后指数(LCPI)的定义,不同患者的预后风险不同。临床医生以月为单位估计预期寿命,并对PC和ACP提出建议。然后向临床医生展示相同的小插曲,并根据黑盒ML算法进行假设的生存估计;临床医生随机接受使用绝对和/或参考依赖预后估计的ML预测。主要结果是相对于LCPI的预后准确性。结果在51名完全缓解的临床医生中,实践的中位数为7年(四分位数范围为3.5-19),14名(27.5%)为女性,23名(45.1%)在社区肿瘤学环境中实践,基线准确性为54.9%(95%置信区间[CI] 47.0-62.8)。ML表现提高了准确性(相对于基线的平均变化20.9%,95% CI 13.9-27.9, P P P P = 0.77)。ML表现没有改变ACP和PC推荐率(平均变化分别为1.3%和0.7%)。局限:在小细胞肺癌中预后的单一用例,初始缓解率低。结论基于sml的评估可提高预后准确性,但不会导致决策改变。结论:优先考虑可解释性和绝对预后的sml预测算法可能对临床医生的决策有更大的影响。虽然机器学习(ML)算法可以准确地预测死亡率,但预后ML对临床医生的预后准确性和决策制定以及ML输出的最佳呈现策略的影响尚不清楚。在这项针对晚期癌症患者的多中心随机调查研究中,当临床医生使用假设的ML死亡风险预测来评估小样本时,预后准确性提高了20.9%,绝对风险表现策略比单独参考依赖表现获得更高的准确性。然而,ML表现并没有改变推荐提前护理计划或姑息治疗转诊的比率(分别为1.3%和0.7%)。无解释的基于ml的预后评估可提高预后准确性,但不会改变有关姑息治疗转诊或预先护理计划的决定。
本文章由计算机程序翻译,如有差异,请以英文原文为准。

The Impact of Machine Learning Mortality Risk Prediction on Clinician Prognostic Accuracy and Decision Support: A Randomized Vignette Study.

The Impact of Machine Learning Mortality Risk Prediction on Clinician Prognostic Accuracy and Decision Support: A Randomized Vignette Study.

The Impact of Machine Learning Mortality Risk Prediction on Clinician Prognostic Accuracy and Decision Support: A Randomized Vignette Study.

The Impact of Machine Learning Mortality Risk Prediction on Clinician Prognostic Accuracy and Decision Support: A Randomized Vignette Study.

BackgroundMachine learning (ML) algorithms may improve the prognosis for serious illnesses such as cancer, identifying patients who may benefit from earlier palliative care (PC) or advance care planning (ACP). We evaluated the impact of various presentation strategies of a hypothetical ML algorithm on clinician prognostic accuracy and decision making.MethodsThis was a randomized clinical vignette survey study among medical oncologists who treat metastatic non-small-cell lung cancer (mNSCLC). Between March and June 2023, clinicians were shown 3 vignettes of patients presenting with mNSCLC. The vignettes varied by prognostic risk, as defined from the Lung Cancer Prognostic Index (LCPI). Clinicians estimated life expectancy in months and made recommendations about PC and ACP. Clinicians were then shown the same vignette with a hypothetical survival estimate from a black-box ML algorithm; clinicians were randomized to receive the ML prediction using absolute and/or reference-dependent prognostic estimates. The primary outcome was prognostic accuracy relative to the LCPI.ResultsAmong 51 clinicians with complete responses, the median years in practice was 7 (interquartile range 3.5-19), 14 (27.5%) were female, 23 (45.1%) practiced in a community oncology setting, and baseline accuracy was 54.9% (95% confidence interval [CI] 47.0-62.8) across all vignettes. ML presentation improved accuracy (mean change relative to baseline 20.9%, 95% CI 13.9-27.9, P < 0.001). ML outputs using an absolute presentation strategy alone (mean change 27.4%, 95% 16.8-38.1, P < 0.001) or with reference dependence (mean change 33.4%, 95% 23.9-42.8, P < 0.001) improved accuracy, but reference dependence alone did not (mean change 2.0% [95% CI -11.1 to 15.0], P = 0.77). ML presentation did not change the rates of recommending ACP nor PC referral (mean change 1.3% and 0.7%, respectively).LimitationsThe singular use case of prognosis in mNSCLC, low initial response rate.ConclusionsML-based assessments may improve prognostic accuracy but not result in changed decision making.ImplicationsML prognostic algorithms prioritizing explainability and absolute prognoses may have greater impact on clinician decision making.Trial Registration: CT.gov: NCT06463977HighlightsWhile machine learning (ML) algorithms may accurately predict mortality, the impact of prognostic ML on clinicians' prognostic accuracy and decision making and optimal presentation strategies for ML outputs are unclear.In this multicenter randomized survey study among vignettes of patients with advanced cancer, prognostic accuracy improved by 20.9% when clinicians reviewed vignettes with a hypothetical ML mortality risk prediction, with absolute risk presentation strategies resulting in greater accuracy gains than reference-dependent presentations alone.However, ML presentation did not change the rates of recommending advance care planning or palliative care referral (1.3% and 0.7%, respectively).ML-based prognostic assessments without explanations improve prognostic accuracy but do not change decisions around palliative care referral or advance care planning.

求助全文
通过发布文献求助,成功后即可免费获取论文全文。 去求助
来源期刊
Medical Decision Making
Medical Decision Making 医学-卫生保健
CiteScore
6.50
自引率
5.60%
发文量
146
审稿时长
6-12 weeks
期刊介绍: Medical Decision Making offers rigorous and systematic approaches to decision making that are designed to improve the health and clinical care of individuals and to assist with health care policy development. Using the fundamentals of decision analysis and theory, economic evaluation, and evidence based quality assessment, Medical Decision Making presents both theoretical and practical statistical and modeling techniques and methods from a variety of disciplines.
×
引用
GB/T 7714-2015
复制
MLA
复制
APA
复制
导出至
BibTeX EndNote RefMan NoteFirst NoteExpress
×
提示
您的信息不完整,为了账户安全,请先补充。
现在去补充
×
提示
您因"违规操作"
具体请查看互助需知
我知道了
×
提示
确定
请完成安全验证×
copy
已复制链接
快去分享给好友吧!
我知道了
右上角分享
点击右上角分享
0
联系我们:info@booksci.cn Book学术提供免费学术资源搜索服务,方便国内外学者检索中英文文献。致力于提供最便捷和优质的服务体验。 Copyright © 2023 布克学术 All rights reserved.
京ICP备2023020795号-1
ghs 京公网安备 11010802042870号
Book学术文献互助
Book学术文献互助群
群 号:604180095
Book学术官方微信