在平节螺旋藻回旋池养殖系统中增强混合、传质和CO 2固定的集成杂交巢瓶光生物反应器。

IF 6.1 1区 工程技术 Q1 BIOTECHNOLOGY & APPLIED MICROBIOLOGY
Ameer Ali Kubar, Shahid Mehmood, Michael Schagerl, Santosh Kumar, Xinjuan Hu, Feifei Zhu, Xiangru Xu, Jiheng Ni, Shuhao Huo
{"title":"在平节螺旋藻回旋池养殖系统中增强混合、传质和CO 2固定的集成杂交巢瓶光生物反应器。","authors":"Ameer Ali Kubar,&nbsp;Shahid Mehmood,&nbsp;Michael Schagerl,&nbsp;Santosh Kumar,&nbsp;Xinjuan Hu,&nbsp;Feifei Zhu,&nbsp;Xiangru Xu,&nbsp;Jiheng Ni,&nbsp;Shuhao Huo","doi":"10.1186/s13068-025-02670-1","DOIUrl":null,"url":null,"abstract":"<div><p>This study introduces a novel hybrid photobioreactor system that integrates an open raceway pond (ORWP) with a Nested-bottled photobioreactor (NB-PBR) in a closed-loop configuration to enhance microalgal biomass production and CO₂ fixation. The system facilitates continuous culture circulation, improving mass transfer and mixing efficiency while ensuring optimal light exposure and CO₂ dissolution. This design resulted in a 38% increase in dry mass (3.1 g/L) and improved mass transfer and mixing times by 16.6% and 15.3%, respectively. The optimized cultivation conditions led to a 39.9% enhancement in CO₂ fixation and an 8.7% increase in photosynthetic efficiency (Fv/Fm) compared to traditional systems. The strategic movement of poorly illuminated ORWP to the NB-PBR maximized light absorption and nutrient uptake, significantly boosting overall productivity. These findings highlight the potential of hybrid photobioreactor systems in improving microalgal growth efficiency and advancing sustainable algal cultivation for commercial applications.</p></div>","PeriodicalId":494,"journal":{"name":"Biotechnology for Biofuels","volume":"18 1","pages":""},"PeriodicalIF":6.1000,"publicationDate":"2025-07-02","publicationTypes":"Journal Article","fieldsOfStudy":null,"isOpenAccess":false,"openAccessPdf":"https://www.ncbi.nlm.nih.gov/pmc/articles/PMC12224621/pdf/","citationCount":"0","resultStr":"{\"title\":\"Integrated hybrid Nested-bottled photobioreactor for enhanced mixing, mass transfer, and CO₂ fixation in Arthrospira platensis raceway pond cultivation systems\",\"authors\":\"Ameer Ali Kubar,&nbsp;Shahid Mehmood,&nbsp;Michael Schagerl,&nbsp;Santosh Kumar,&nbsp;Xinjuan Hu,&nbsp;Feifei Zhu,&nbsp;Xiangru Xu,&nbsp;Jiheng Ni,&nbsp;Shuhao Huo\",\"doi\":\"10.1186/s13068-025-02670-1\",\"DOIUrl\":null,\"url\":null,\"abstract\":\"<div><p>This study introduces a novel hybrid photobioreactor system that integrates an open raceway pond (ORWP) with a Nested-bottled photobioreactor (NB-PBR) in a closed-loop configuration to enhance microalgal biomass production and CO₂ fixation. The system facilitates continuous culture circulation, improving mass transfer and mixing efficiency while ensuring optimal light exposure and CO₂ dissolution. This design resulted in a 38% increase in dry mass (3.1 g/L) and improved mass transfer and mixing times by 16.6% and 15.3%, respectively. The optimized cultivation conditions led to a 39.9% enhancement in CO₂ fixation and an 8.7% increase in photosynthetic efficiency (Fv/Fm) compared to traditional systems. The strategic movement of poorly illuminated ORWP to the NB-PBR maximized light absorption and nutrient uptake, significantly boosting overall productivity. These findings highlight the potential of hybrid photobioreactor systems in improving microalgal growth efficiency and advancing sustainable algal cultivation for commercial applications.</p></div>\",\"PeriodicalId\":494,\"journal\":{\"name\":\"Biotechnology for Biofuels\",\"volume\":\"18 1\",\"pages\":\"\"},\"PeriodicalIF\":6.1000,\"publicationDate\":\"2025-07-02\",\"publicationTypes\":\"Journal Article\",\"fieldsOfStudy\":null,\"isOpenAccess\":false,\"openAccessPdf\":\"https://www.ncbi.nlm.nih.gov/pmc/articles/PMC12224621/pdf/\",\"citationCount\":\"0\",\"resultStr\":null,\"platform\":\"Semanticscholar\",\"paperid\":null,\"PeriodicalName\":\"Biotechnology for Biofuels\",\"FirstCategoryId\":\"5\",\"ListUrlMain\":\"https://link.springer.com/article/10.1186/s13068-025-02670-1\",\"RegionNum\":1,\"RegionCategory\":\"工程技术\",\"ArticlePicture\":[],\"TitleCN\":null,\"AbstractTextCN\":null,\"PMCID\":null,\"EPubDate\":\"\",\"PubModel\":\"\",\"JCR\":\"Q1\",\"JCRName\":\"BIOTECHNOLOGY & APPLIED MICROBIOLOGY\",\"Score\":null,\"Total\":0}","platform":"Semanticscholar","paperid":null,"PeriodicalName":"Biotechnology for Biofuels","FirstCategoryId":"5","ListUrlMain":"https://link.springer.com/article/10.1186/s13068-025-02670-1","RegionNum":1,"RegionCategory":"工程技术","ArticlePicture":[],"TitleCN":null,"AbstractTextCN":null,"PMCID":null,"EPubDate":"","PubModel":"","JCR":"Q1","JCRName":"BIOTECHNOLOGY & APPLIED MICROBIOLOGY","Score":null,"Total":0}
引用次数: 0

摘要

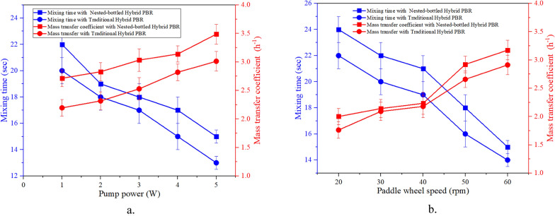
本研究介绍了一种新型的混合光生物反应器系统,该系统将开放式沟道池(ORWP)与巢式瓶装光生物反应器(NB-PBR)集成在闭环配置中,以提高微藻生物量生产和CO 2固定。该系统促进连续培养循环,提高传质和混合效率,同时确保最佳的光照和CO₂溶解。该设计使干质量增加38% (3.1 g/L),传质和混合时间分别提高16.6%和15.3%。与传统栽培体系相比,优化后的栽培体系co2固着力提高了39.9%,光合效率(Fv/Fm)提高了8.7%。光照不足的ORWP向NB-PBR的策略性移动最大化了光吸收和养分吸收,显著提高了整体生产力。这些发现突出了混合光生物反应器系统在提高微藻生长效率和推进可持续藻类培养商业化应用方面的潜力。
本文章由计算机程序翻译,如有差异,请以英文原文为准。

Integrated hybrid Nested-bottled photobioreactor for enhanced mixing, mass transfer, and CO₂ fixation in Arthrospira platensis raceway pond cultivation systems

Integrated hybrid Nested-bottled photobioreactor for enhanced mixing, mass transfer, and CO₂ fixation in Arthrospira platensis raceway pond cultivation systems

Integrated hybrid Nested-bottled photobioreactor for enhanced mixing, mass transfer, and CO₂ fixation in Arthrospira platensis raceway pond cultivation systems

Integrated hybrid Nested-bottled photobioreactor for enhanced mixing, mass transfer, and CO₂ fixation in Arthrospira platensis raceway pond cultivation systems

This study introduces a novel hybrid photobioreactor system that integrates an open raceway pond (ORWP) with a Nested-bottled photobioreactor (NB-PBR) in a closed-loop configuration to enhance microalgal biomass production and CO₂ fixation. The system facilitates continuous culture circulation, improving mass transfer and mixing efficiency while ensuring optimal light exposure and CO₂ dissolution. This design resulted in a 38% increase in dry mass (3.1 g/L) and improved mass transfer and mixing times by 16.6% and 15.3%, respectively. The optimized cultivation conditions led to a 39.9% enhancement in CO₂ fixation and an 8.7% increase in photosynthetic efficiency (Fv/Fm) compared to traditional systems. The strategic movement of poorly illuminated ORWP to the NB-PBR maximized light absorption and nutrient uptake, significantly boosting overall productivity. These findings highlight the potential of hybrid photobioreactor systems in improving microalgal growth efficiency and advancing sustainable algal cultivation for commercial applications.

求助全文
通过发布文献求助,成功后即可免费获取论文全文。 去求助
来源期刊
Biotechnology for Biofuels
Biotechnology for Biofuels 工程技术-生物工程与应用微生物
自引率
0.00%
发文量
0
审稿时长
2.7 months
期刊介绍: Biotechnology for Biofuels is an open access peer-reviewed journal featuring high-quality studies describing technological and operational advances in the production of biofuels, chemicals and other bioproducts. The journal emphasizes understanding and advancing the application of biotechnology and synergistic operations to improve plants and biological conversion systems for the biological production of these products from biomass, intermediates derived from biomass, or CO2, as well as upstream or downstream operations that are integral to biological conversion of biomass. Biotechnology for Biofuels focuses on the following areas: • Development of terrestrial plant feedstocks • Development of algal feedstocks • Biomass pretreatment, fractionation and extraction for biological conversion • Enzyme engineering, production and analysis • Bacterial genetics, physiology and metabolic engineering • Fungal/yeast genetics, physiology and metabolic engineering • Fermentation, biocatalytic conversion and reaction dynamics • Biological production of chemicals and bioproducts from biomass • Anaerobic digestion, biohydrogen and bioelectricity • Bioprocess integration, techno-economic analysis, modelling and policy • Life cycle assessment and environmental impact analysis
×
引用
GB/T 7714-2015
复制
MLA
复制
APA
复制
导出至
BibTeX EndNote RefMan NoteFirst NoteExpress
×
提示
您的信息不完整,为了账户安全,请先补充。
现在去补充
×
提示
您因"违规操作"
具体请查看互助需知
我知道了
×
提示
确定
请完成安全验证×
copy
已复制链接
快去分享给好友吧!
我知道了
右上角分享
点击右上角分享
0
联系我们:info@booksci.cn Book学术提供免费学术资源搜索服务,方便国内外学者检索中英文文献。致力于提供最便捷和优质的服务体验。 Copyright © 2023 布克学术 All rights reserved.
京ICP备2023020795号-1
ghs 京公网安备 11010802042870号
Book学术文献互助
Book学术文献互助群
群 号:604180095
Book学术官方微信