基于智能手机应用程序的生活方式干预或加上营养师支持的行为依从性对减肥和代谢特征的影响:一项随机对照试验

IF 6.2 Q2 GENETICS & HEREDITY
Phenomics (Cham, Switzerland) Pub Date : 2025-01-30 eCollection Date: 2025-04-01 DOI:10.1007/s43657-024-00162-0
Xue Li, Ling Lu, Liang Sun, Yunxia Xie, Kang Huang, Changzheng Yuan, Liying Chen, Xu Lin
{"title":"基于智能手机应用程序的生活方式干预或加上营养师支持的行为依从性对减肥和代谢特征的影响:一项随机对照试验","authors":"Xue Li, Ling Lu, Liang Sun, Yunxia Xie, Kang Huang, Changzheng Yuan, Liying Chen, Xu Lin","doi":"10.1007/s43657-024-00162-0","DOIUrl":null,"url":null,"abstract":"<p><p>Mobile health technologies provided innovative solutions for lifestyle interventions and offered reliable methods to evaluate behavioral phenotypes during such interventions. To systematically quantify the impacts of behavioral compliance on weight-loss and metabolic profiles during lifestyle intervention, a total of 395 Chinese adults with overweight/obesity (BMI ≥ 24 kg/m<sup>2</sup>) or central obesity (waistline ≥ 90 cm for men or ≥ 80 cm for women) were randomly assigned to a smartphone app-based arm (SAA, n = 197) or smartphone app plus dietitian arm (SADA, n = 198) for 6 months. Compliance scores (0-5) were determined based on fulfilling five behavioral tasks: completing online courses, wearing a smart band, and recording weight, food intake, and blood pressure. SADA had greater weight-loss (- 4.94% vs. - 2.28%, <i>p</i> < 0.001) and lower triglyceride, but higher HDL-C levels (both <i>p</i> < 0.05) than SAA after six months. Between-group weight-loss differences were attenuated at compliance scores ≥ 3 (SADA: - 6.30% vs. SAA: - 4.79%, <i>p</i> = 0.07). Mediation analysis suggested that compliance scores explained approximately 30% of the additional weight loss in the SADA (<i>p</i> < 0.001), and self-weighing was the primary mediator (<i>p</i> < 0.05). Higher educational levels, greater initial weight loss, self-perceived simplicity, and satisfaction with the program were potential determinants of intervention compliance. Overall, the superior weight loss and metabolic improvements in the SADA group could be mediated by behavioral compliance, which was possibly influenced by some demographic and intervention response features. Our findings highlighted the roles of behavioral phenotypes and adherence in app-based lifestyle interventions, and added evidence for the future development of more precise strategies in long-term weight management.</p><p><strong>Supplementary information: </strong>The online version contains supplementary material available at 10.1007/s43657-024-00162-0.</p>","PeriodicalId":74435,"journal":{"name":"Phenomics (Cham, Switzerland)","volume":"5 2","pages":"154-168"},"PeriodicalIF":6.2000,"publicationDate":"2025-01-30","publicationTypes":"Journal Article","fieldsOfStudy":null,"isOpenAccess":false,"openAccessPdf":"https://www.ncbi.nlm.nih.gov/pmc/articles/PMC12209060/pdf/","citationCount":"0","resultStr":"{\"title\":\"Impacts of Behavioral Compliance on Weight-Loss and Metabolic Profile in a Smartphone App-Based Lifestyle Intervention or Plus Dietitian Supporting: A Randomized and Controlled Trial Among Chinese.\",\"authors\":\"Xue Li, Ling Lu, Liang Sun, Yunxia Xie, Kang Huang, Changzheng Yuan, Liying Chen, Xu Lin\",\"doi\":\"10.1007/s43657-024-00162-0\",\"DOIUrl\":null,\"url\":null,\"abstract\":\"<p><p>Mobile health technologies provided innovative solutions for lifestyle interventions and offered reliable methods to evaluate behavioral phenotypes during such interventions. To systematically quantify the impacts of behavioral compliance on weight-loss and metabolic profiles during lifestyle intervention, a total of 395 Chinese adults with overweight/obesity (BMI ≥ 24 kg/m<sup>2</sup>) or central obesity (waistline ≥ 90 cm for men or ≥ 80 cm for women) were randomly assigned to a smartphone app-based arm (SAA, n = 197) or smartphone app plus dietitian arm (SADA, n = 198) for 6 months. Compliance scores (0-5) were determined based on fulfilling five behavioral tasks: completing online courses, wearing a smart band, and recording weight, food intake, and blood pressure. SADA had greater weight-loss (- 4.94% vs. - 2.28%, <i>p</i> < 0.001) and lower triglyceride, but higher HDL-C levels (both <i>p</i> < 0.05) than SAA after six months. Between-group weight-loss differences were attenuated at compliance scores ≥ 3 (SADA: - 6.30% vs. SAA: - 4.79%, <i>p</i> = 0.07). Mediation analysis suggested that compliance scores explained approximately 30% of the additional weight loss in the SADA (<i>p</i> < 0.001), and self-weighing was the primary mediator (<i>p</i> < 0.05). Higher educational levels, greater initial weight loss, self-perceived simplicity, and satisfaction with the program were potential determinants of intervention compliance. Overall, the superior weight loss and metabolic improvements in the SADA group could be mediated by behavioral compliance, which was possibly influenced by some demographic and intervention response features. Our findings highlighted the roles of behavioral phenotypes and adherence in app-based lifestyle interventions, and added evidence for the future development of more precise strategies in long-term weight management.</p><p><strong>Supplementary information: </strong>The online version contains supplementary material available at 10.1007/s43657-024-00162-0.</p>\",\"PeriodicalId\":74435,\"journal\":{\"name\":\"Phenomics (Cham, Switzerland)\",\"volume\":\"5 2\",\"pages\":\"154-168\"},\"PeriodicalIF\":6.2000,\"publicationDate\":\"2025-01-30\",\"publicationTypes\":\"Journal Article\",\"fieldsOfStudy\":null,\"isOpenAccess\":false,\"openAccessPdf\":\"https://www.ncbi.nlm.nih.gov/pmc/articles/PMC12209060/pdf/\",\"citationCount\":\"0\",\"resultStr\":null,\"platform\":\"Semanticscholar\",\"paperid\":null,\"PeriodicalName\":\"Phenomics (Cham, Switzerland)\",\"FirstCategoryId\":\"1085\",\"ListUrlMain\":\"https://doi.org/10.1007/s43657-024-00162-0\",\"RegionNum\":0,\"RegionCategory\":null,\"ArticlePicture\":[],\"TitleCN\":null,\"AbstractTextCN\":null,\"PMCID\":null,\"EPubDate\":\"2025/4/1 0:00:00\",\"PubModel\":\"eCollection\",\"JCR\":\"Q2\",\"JCRName\":\"GENETICS & HEREDITY\",\"Score\":null,\"Total\":0}","platform":"Semanticscholar","paperid":null,"PeriodicalName":"Phenomics (Cham, Switzerland)","FirstCategoryId":"1085","ListUrlMain":"https://doi.org/10.1007/s43657-024-00162-0","RegionNum":0,"RegionCategory":null,"ArticlePicture":[],"TitleCN":null,"AbstractTextCN":null,"PMCID":null,"EPubDate":"2025/4/1 0:00:00","PubModel":"eCollection","JCR":"Q2","JCRName":"GENETICS & HEREDITY","Score":null,"Total":0}
引用次数: 0

摘要

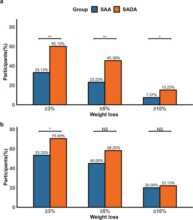
移动医疗技术为生活方式干预提供了创新的解决方案,并提供了评估此类干预期间行为表型的可靠方法。为了系统地量化行为依从性对生活方式干预期间减肥和代谢特征的影响,共有395名超重/肥胖(BMI≥24 kg/m2)或中心性肥胖(男性腰围≥90 cm或女性腰围≥80 cm)的中国成年人被随机分配到基于智能手机应用程序的组(SAA, n = 197)或智能手机应用程序加营养师组(SADA, n = 198),为期6个月。依从性分数(0-5分)是根据完成在线课程、佩戴智能手环、记录体重、食物摄入量和血压等5项行为任务来确定的。萨达曾大减肥(- 4.94%比2.28%,p p p = 0.07)。调解分析表明,依从性评分解释了SADA中大约30%的额外体重减轻(p p)补充信息:在线版本包含补充材料,可在10.1007/s43657-024-00162-0获得。
本文章由计算机程序翻译,如有差异,请以英文原文为准。

Impacts of Behavioral Compliance on Weight-Loss and Metabolic Profile in a Smartphone App-Based Lifestyle Intervention or Plus Dietitian Supporting: A Randomized and Controlled Trial Among Chinese.

Impacts of Behavioral Compliance on Weight-Loss and Metabolic Profile in a Smartphone App-Based Lifestyle Intervention or Plus Dietitian Supporting: A Randomized and Controlled Trial Among Chinese.

Impacts of Behavioral Compliance on Weight-Loss and Metabolic Profile in a Smartphone App-Based Lifestyle Intervention or Plus Dietitian Supporting: A Randomized and Controlled Trial Among Chinese.

Impacts of Behavioral Compliance on Weight-Loss and Metabolic Profile in a Smartphone App-Based Lifestyle Intervention or Plus Dietitian Supporting: A Randomized and Controlled Trial Among Chinese.

Mobile health technologies provided innovative solutions for lifestyle interventions and offered reliable methods to evaluate behavioral phenotypes during such interventions. To systematically quantify the impacts of behavioral compliance on weight-loss and metabolic profiles during lifestyle intervention, a total of 395 Chinese adults with overweight/obesity (BMI ≥ 24 kg/m2) or central obesity (waistline ≥ 90 cm for men or ≥ 80 cm for women) were randomly assigned to a smartphone app-based arm (SAA, n = 197) or smartphone app plus dietitian arm (SADA, n = 198) for 6 months. Compliance scores (0-5) were determined based on fulfilling five behavioral tasks: completing online courses, wearing a smart band, and recording weight, food intake, and blood pressure. SADA had greater weight-loss (- 4.94% vs. - 2.28%, p < 0.001) and lower triglyceride, but higher HDL-C levels (both p < 0.05) than SAA after six months. Between-group weight-loss differences were attenuated at compliance scores ≥ 3 (SADA: - 6.30% vs. SAA: - 4.79%, p = 0.07). Mediation analysis suggested that compliance scores explained approximately 30% of the additional weight loss in the SADA (p < 0.001), and self-weighing was the primary mediator (p < 0.05). Higher educational levels, greater initial weight loss, self-perceived simplicity, and satisfaction with the program were potential determinants of intervention compliance. Overall, the superior weight loss and metabolic improvements in the SADA group could be mediated by behavioral compliance, which was possibly influenced by some demographic and intervention response features. Our findings highlighted the roles of behavioral phenotypes and adherence in app-based lifestyle interventions, and added evidence for the future development of more precise strategies in long-term weight management.

Supplementary information: The online version contains supplementary material available at 10.1007/s43657-024-00162-0.

求助全文
通过发布文献求助,成功后即可免费获取论文全文。 去求助
来源期刊
自引率
0.00%
发文量
0
×
引用
GB/T 7714-2015
复制
MLA
复制
APA
复制
导出至
BibTeX EndNote RefMan NoteFirst NoteExpress
×
提示
您的信息不完整,为了账户安全,请先补充。
现在去补充
×
提示
您因"违规操作"
具体请查看互助需知
我知道了
×
提示
确定
请完成安全验证×
copy
已复制链接
快去分享给好友吧!
我知道了
右上角分享
点击右上角分享
0
联系我们:info@booksci.cn Book学术提供免费学术资源搜索服务,方便国内外学者检索中英文文献。致力于提供最便捷和优质的服务体验。 Copyright © 2023 布克学术 All rights reserved.
京ICP备2023020795号-1
ghs 京公网安备 11010802042870号
Book学术文献互助
Book学术文献互助群
群 号:604180095
Book学术官方微信