单核细胞来源巨噬细胞的转录组特征与前列腺癌雄激素受体途径抑制剂进展相关。

IF 2.5 3区 医学 Q3 ENDOCRINOLOGY & METABOLISM
Prostate Pub Date : 2025-09-01 Epub Date: 2025-07-02 DOI:10.1002/pros.70000
Marina Nasrin Sharifi, Erika Heninger, Matthew Leeson Bootsma, Emma Elizabeth Recchia, Matthew Thomas Breneman, Amy Kristine Taylor, Shuang George Zhao, Aaron Matthew LeBeau, David Kosoff
{"title":"单核细胞来源巨噬细胞的转录组特征与前列腺癌雄激素受体途径抑制剂进展相关。","authors":"Marina Nasrin Sharifi, Erika Heninger, Matthew Leeson Bootsma, Emma Elizabeth Recchia, Matthew Thomas Breneman, Amy Kristine Taylor, Shuang George Zhao, Aaron Matthew LeBeau, David Kosoff","doi":"10.1002/pros.70000","DOIUrl":null,"url":null,"abstract":"<p><strong>Background: </strong>Androgen receptor pathway inhibitors (ARPIs) have significantly improved clinical outcomes for patients with metastatic prostate cancer (PC) but acquired ARPI resistance remains universal. Maximizing ARPI treatment duration is crucial to optimal clinical outcomes, but current clinical tools to detect acquired ARPI resistance, including serum Prostate Specific Antigen (PSA) and radiographic disease monitoring, are limited in both sensitivity and specificity. Since prostate cancer disease progression is associated with an increase in systemic inflammation, we hypothesized that circulating monocytes and monocyte-derived macrophages (MDMs) in patients with PC would express an increased pro-inflammatory phenotype in the context of disease progression.</p><p><strong>Methods: </strong>Monocytes and MDMs were isolated from peripheral blood samples from 16 patients with PC who were receiving ARPI therapies and performed transcriptomic and functional analysis both alone and in ex vivo coculture with prostate tumor cells utilizing a novel microscale coculture platform.</p><p><strong>Results: </strong>We identified a pro-inflammatory transcriptional signature in MDMs cultured with tumor cells that was associated with current, recent, and impending disease progression. Furthermore, we found that the pro-inflammatory phenotype of MDMs derived from patients with clinical progression was associated with paracrine anti-tumorigenic signaling that sensitized tumor cells to ARPI treatment in vitro. Finally, a transcriptional score generated from the MDM transcriptional signature of progressing patients could accurately identify current treatment response status as well as patients with recent/impending changes in response status.</p><p><strong>Conclusions: </strong>Disease progression in patients with prostate cancer receiving ARPI therapy is associated with a pro-inflammatory gene signature in peripheral monocyte-derived macrophages. We were able to develop a scoring signature based on this pro-inflammatory gene signature that has the potential to identify patients with recent and impending changes in disease response status that is not detectable using conventional disease assessment criteria. Further research will be needed to validate these findings.</p>","PeriodicalId":54544,"journal":{"name":"Prostate","volume":" ","pages":"1168-1180"},"PeriodicalIF":2.5000,"publicationDate":"2025-09-01","publicationTypes":"Journal Article","fieldsOfStudy":null,"isOpenAccess":false,"openAccessPdf":"https://www.ncbi.nlm.nih.gov/pmc/articles/PMC12268948/pdf/","citationCount":"0","resultStr":"{\"title\":\"Transcriptomic Signatures of Monocyte-Derived Macrophages Associate With Androgen Receptor Pathway Inhibitor Progression in Prostate Cancer.\",\"authors\":\"Marina Nasrin Sharifi, Erika Heninger, Matthew Leeson Bootsma, Emma Elizabeth Recchia, Matthew Thomas Breneman, Amy Kristine Taylor, Shuang George Zhao, Aaron Matthew LeBeau, David Kosoff\",\"doi\":\"10.1002/pros.70000\",\"DOIUrl\":null,\"url\":null,\"abstract\":\"<p><strong>Background: </strong>Androgen receptor pathway inhibitors (ARPIs) have significantly improved clinical outcomes for patients with metastatic prostate cancer (PC) but acquired ARPI resistance remains universal. Maximizing ARPI treatment duration is crucial to optimal clinical outcomes, but current clinical tools to detect acquired ARPI resistance, including serum Prostate Specific Antigen (PSA) and radiographic disease monitoring, are limited in both sensitivity and specificity. Since prostate cancer disease progression is associated with an increase in systemic inflammation, we hypothesized that circulating monocytes and monocyte-derived macrophages (MDMs) in patients with PC would express an increased pro-inflammatory phenotype in the context of disease progression.</p><p><strong>Methods: </strong>Monocytes and MDMs were isolated from peripheral blood samples from 16 patients with PC who were receiving ARPI therapies and performed transcriptomic and functional analysis both alone and in ex vivo coculture with prostate tumor cells utilizing a novel microscale coculture platform.</p><p><strong>Results: </strong>We identified a pro-inflammatory transcriptional signature in MDMs cultured with tumor cells that was associated with current, recent, and impending disease progression. Furthermore, we found that the pro-inflammatory phenotype of MDMs derived from patients with clinical progression was associated with paracrine anti-tumorigenic signaling that sensitized tumor cells to ARPI treatment in vitro. Finally, a transcriptional score generated from the MDM transcriptional signature of progressing patients could accurately identify current treatment response status as well as patients with recent/impending changes in response status.</p><p><strong>Conclusions: </strong>Disease progression in patients with prostate cancer receiving ARPI therapy is associated with a pro-inflammatory gene signature in peripheral monocyte-derived macrophages. We were able to develop a scoring signature based on this pro-inflammatory gene signature that has the potential to identify patients with recent and impending changes in disease response status that is not detectable using conventional disease assessment criteria. Further research will be needed to validate these findings.</p>\",\"PeriodicalId\":54544,\"journal\":{\"name\":\"Prostate\",\"volume\":\" \",\"pages\":\"1168-1180\"},\"PeriodicalIF\":2.5000,\"publicationDate\":\"2025-09-01\",\"publicationTypes\":\"Journal Article\",\"fieldsOfStudy\":null,\"isOpenAccess\":false,\"openAccessPdf\":\"https://www.ncbi.nlm.nih.gov/pmc/articles/PMC12268948/pdf/\",\"citationCount\":\"0\",\"resultStr\":null,\"platform\":\"Semanticscholar\",\"paperid\":null,\"PeriodicalName\":\"Prostate\",\"FirstCategoryId\":\"3\",\"ListUrlMain\":\"https://doi.org/10.1002/pros.70000\",\"RegionNum\":3,\"RegionCategory\":\"医学\",\"ArticlePicture\":[],\"TitleCN\":null,\"AbstractTextCN\":null,\"PMCID\":null,\"EPubDate\":\"2025/7/2 0:00:00\",\"PubModel\":\"Epub\",\"JCR\":\"Q3\",\"JCRName\":\"ENDOCRINOLOGY & METABOLISM\",\"Score\":null,\"Total\":0}","platform":"Semanticscholar","paperid":null,"PeriodicalName":"Prostate","FirstCategoryId":"3","ListUrlMain":"https://doi.org/10.1002/pros.70000","RegionNum":3,"RegionCategory":"医学","ArticlePicture":[],"TitleCN":null,"AbstractTextCN":null,"PMCID":null,"EPubDate":"2025/7/2 0:00:00","PubModel":"Epub","JCR":"Q3","JCRName":"ENDOCRINOLOGY & METABOLISM","Score":null,"Total":0}
引用次数: 0

摘要

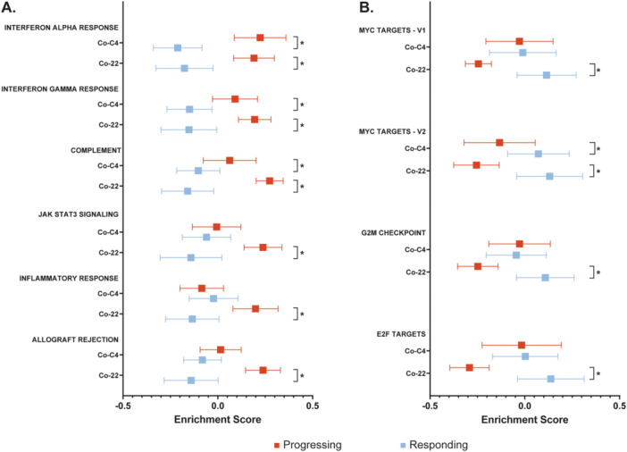
背景:雄激素受体途径抑制剂(ARPI)可以显著改善转移性前列腺癌(PC)患者的临床结果,但获得性ARPI耐药仍然普遍存在。最大化ARPI治疗时间对于获得最佳临床结果至关重要,但目前检测获得性ARPI耐药性的临床工具,包括血清前列腺特异性抗原(PSA)和影像学疾病监测,在敏感性和特异性方面都有限。由于前列腺癌疾病进展与全身性炎症增加相关,我们假设PC患者的循环单核细胞和单核细胞源性巨噬细胞(MDMs)在疾病进展背景下表达增加的促炎表型。方法:从16例接受ARPI治疗的前列腺癌患者的外周血样本中分离单核细胞和MDMs,并利用新型微型共培养平台单独和体外与前列腺肿瘤细胞共培养进行转录组学和功能分析。结果:我们在与肿瘤细胞培养的MDMs中发现了一个促炎转录特征,该特征与当前、近期和即将发生的疾病进展相关。此外,我们发现来自临床进展患者的MDMs的促炎表型与旁分泌抗肿瘤信号有关,该信号使肿瘤细胞对体外ARPI治疗敏感。最后,根据进展患者的MDM转录特征生成的转录评分可以准确识别当前的治疗反应状态以及最近或即将发生反应状态变化的患者。结论:接受ARPI治疗的前列腺癌患者的疾病进展与外周单核细胞源性巨噬细胞中的促炎基因信号相关。我们能够开发基于这种促炎基因标记的评分标记,该标记有可能识别使用传统疾病评估标准无法检测到的疾病反应状态近期和即将发生变化的患者。需要进一步的研究来验证这些发现。
本文章由计算机程序翻译,如有差异,请以英文原文为准。

Transcriptomic Signatures of Monocyte-Derived Macrophages Associate With Androgen Receptor Pathway Inhibitor Progression in Prostate Cancer.

Transcriptomic Signatures of Monocyte-Derived Macrophages Associate With Androgen Receptor Pathway Inhibitor Progression in Prostate Cancer.

Transcriptomic Signatures of Monocyte-Derived Macrophages Associate With Androgen Receptor Pathway Inhibitor Progression in Prostate Cancer.

Transcriptomic Signatures of Monocyte-Derived Macrophages Associate With Androgen Receptor Pathway Inhibitor Progression in Prostate Cancer.

Background: Androgen receptor pathway inhibitors (ARPIs) have significantly improved clinical outcomes for patients with metastatic prostate cancer (PC) but acquired ARPI resistance remains universal. Maximizing ARPI treatment duration is crucial to optimal clinical outcomes, but current clinical tools to detect acquired ARPI resistance, including serum Prostate Specific Antigen (PSA) and radiographic disease monitoring, are limited in both sensitivity and specificity. Since prostate cancer disease progression is associated with an increase in systemic inflammation, we hypothesized that circulating monocytes and monocyte-derived macrophages (MDMs) in patients with PC would express an increased pro-inflammatory phenotype in the context of disease progression.

Methods: Monocytes and MDMs were isolated from peripheral blood samples from 16 patients with PC who were receiving ARPI therapies and performed transcriptomic and functional analysis both alone and in ex vivo coculture with prostate tumor cells utilizing a novel microscale coculture platform.

Results: We identified a pro-inflammatory transcriptional signature in MDMs cultured with tumor cells that was associated with current, recent, and impending disease progression. Furthermore, we found that the pro-inflammatory phenotype of MDMs derived from patients with clinical progression was associated with paracrine anti-tumorigenic signaling that sensitized tumor cells to ARPI treatment in vitro. Finally, a transcriptional score generated from the MDM transcriptional signature of progressing patients could accurately identify current treatment response status as well as patients with recent/impending changes in response status.

Conclusions: Disease progression in patients with prostate cancer receiving ARPI therapy is associated with a pro-inflammatory gene signature in peripheral monocyte-derived macrophages. We were able to develop a scoring signature based on this pro-inflammatory gene signature that has the potential to identify patients with recent and impending changes in disease response status that is not detectable using conventional disease assessment criteria. Further research will be needed to validate these findings.

求助全文
通过发布文献求助,成功后即可免费获取论文全文。 去求助
来源期刊
Prostate
Prostate 医学-泌尿学与肾脏学
CiteScore
5.10
自引率
3.60%
发文量
180
审稿时长
1.5 months
期刊介绍: The Prostate is a peer-reviewed journal dedicated to original studies of this organ and the male accessory glands. It serves as an international medium for these studies, presenting comprehensive coverage of clinical, anatomic, embryologic, physiologic, endocrinologic, and biochemical studies.
×
引用
GB/T 7714-2015
复制
MLA
复制
APA
复制
导出至
BibTeX EndNote RefMan NoteFirst NoteExpress
×
提示
您的信息不完整,为了账户安全,请先补充。
现在去补充
×
提示
您因"违规操作"
具体请查看互助需知
我知道了
×
提示
确定
请完成安全验证×
copy
已复制链接
快去分享给好友吧!
我知道了
右上角分享
点击右上角分享
0
联系我们:info@booksci.cn Book学术提供免费学术资源搜索服务,方便国内外学者检索中英文文献。致力于提供最便捷和优质的服务体验。 Copyright © 2023 布克学术 All rights reserved.
京ICP备2023020795号-1
ghs 京公网安备 11010802042870号
Book学术文献互助
Book学术文献互助群
群 号:604180095
Book学术官方微信