机器学习识别肝硬化中肌肉减少症的潜在生物标志物。

IF 2.5 Q2 GASTROENTEROLOGY & HEPATOLOGY
Qian-Yu Liang, Jun Wang, Yun-Feng Yang, Kai Zhao, Rui-Li Luo, Ye Tian, Feng-Xia Li
{"title":"机器学习识别肝硬化中肌肉减少症的潜在生物标志物。","authors":"Qian-Yu Liang, Jun Wang, Yun-Feng Yang, Kai Zhao, Rui-Li Luo, Ye Tian, Feng-Xia Li","doi":"10.4254/wjh.v17.i6.105332","DOIUrl":null,"url":null,"abstract":"<p><strong>Background: </strong>The prevalence of sarcopenia progressively increases with as liver function deteriorates. Muscle wasting has been shown to independently predict adverse outcomes in liver cirrhosis patients.</p><p><strong>Aim: </strong>To screen effective biomarkers for sarcopenia in liver cirrhosis.</p><p><strong>Methods: </strong>Untargeted metabolomics were performed on serum from 62 liver cirrhosis patients, including 41 with sarcopenia and 21 without sarcopenia. Candidate metabolite biomarkers were screened based on three machine-learning algorithms. The diagnostic or predictive value of potential biomarkers was evaluated by drawing receiver operating characteristic curves.</p><p><strong>Results: </strong>A total of 60 differential metabolites between cirrhotic sarcopenia and the non-sarcopenia group were identified. Kyoto Encyclopedia of Genes and Genomes pathway enrichment analysis revealed differential metabolites primarily involved in glycerophospholipid metabolism, alpha-linolenic acid metabolism, retrograde endocannabinoid signaling, and choline metabolism in cancer. Finally, four potential biomarkers were screened through machine learning algorithms, namely N-Acetylcarnosine, 2-Stearylcitrate, CerP (d18:1/12:0), and 3-Methyl-alpha-ionylacetate. Among these, N-Acetylcarnosine can provide better diagnostic accuracy.</p><p><strong>Conclusion: </strong>This study unveiled different plasma metabolic profiles of liver cirrhosis patients with and without sarcopenia. These valuable biomarkers have the potential to improve the prognosis of liver patients with cirrhosis by early detection or prediction of sarcopenia.</p>","PeriodicalId":23687,"journal":{"name":"World Journal of Hepatology","volume":"17 6","pages":"105332"},"PeriodicalIF":2.5000,"publicationDate":"2025-06-27","publicationTypes":"Journal Article","fieldsOfStudy":null,"isOpenAccess":false,"openAccessPdf":"https://www.ncbi.nlm.nih.gov/pmc/articles/PMC12210171/pdf/","citationCount":"0","resultStr":"{\"title\":\"Machine learning to identify potential biomarkers for sarcopenia in liver cirrhosis.\",\"authors\":\"Qian-Yu Liang, Jun Wang, Yun-Feng Yang, Kai Zhao, Rui-Li Luo, Ye Tian, Feng-Xia Li\",\"doi\":\"10.4254/wjh.v17.i6.105332\",\"DOIUrl\":null,\"url\":null,\"abstract\":\"<p><strong>Background: </strong>The prevalence of sarcopenia progressively increases with as liver function deteriorates. Muscle wasting has been shown to independently predict adverse outcomes in liver cirrhosis patients.</p><p><strong>Aim: </strong>To screen effective biomarkers for sarcopenia in liver cirrhosis.</p><p><strong>Methods: </strong>Untargeted metabolomics were performed on serum from 62 liver cirrhosis patients, including 41 with sarcopenia and 21 without sarcopenia. Candidate metabolite biomarkers were screened based on three machine-learning algorithms. The diagnostic or predictive value of potential biomarkers was evaluated by drawing receiver operating characteristic curves.</p><p><strong>Results: </strong>A total of 60 differential metabolites between cirrhotic sarcopenia and the non-sarcopenia group were identified. Kyoto Encyclopedia of Genes and Genomes pathway enrichment analysis revealed differential metabolites primarily involved in glycerophospholipid metabolism, alpha-linolenic acid metabolism, retrograde endocannabinoid signaling, and choline metabolism in cancer. Finally, four potential biomarkers were screened through machine learning algorithms, namely N-Acetylcarnosine, 2-Stearylcitrate, CerP (d18:1/12:0), and 3-Methyl-alpha-ionylacetate. Among these, N-Acetylcarnosine can provide better diagnostic accuracy.</p><p><strong>Conclusion: </strong>This study unveiled different plasma metabolic profiles of liver cirrhosis patients with and without sarcopenia. These valuable biomarkers have the potential to improve the prognosis of liver patients with cirrhosis by early detection or prediction of sarcopenia.</p>\",\"PeriodicalId\":23687,\"journal\":{\"name\":\"World Journal of Hepatology\",\"volume\":\"17 6\",\"pages\":\"105332\"},\"PeriodicalIF\":2.5000,\"publicationDate\":\"2025-06-27\",\"publicationTypes\":\"Journal Article\",\"fieldsOfStudy\":null,\"isOpenAccess\":false,\"openAccessPdf\":\"https://www.ncbi.nlm.nih.gov/pmc/articles/PMC12210171/pdf/\",\"citationCount\":\"0\",\"resultStr\":null,\"platform\":\"Semanticscholar\",\"paperid\":null,\"PeriodicalName\":\"World Journal of Hepatology\",\"FirstCategoryId\":\"1085\",\"ListUrlMain\":\"https://doi.org/10.4254/wjh.v17.i6.105332\",\"RegionNum\":0,\"RegionCategory\":null,\"ArticlePicture\":[],\"TitleCN\":null,\"AbstractTextCN\":null,\"PMCID\":null,\"EPubDate\":\"\",\"PubModel\":\"\",\"JCR\":\"Q2\",\"JCRName\":\"GASTROENTEROLOGY & HEPATOLOGY\",\"Score\":null,\"Total\":0}","platform":"Semanticscholar","paperid":null,"PeriodicalName":"World Journal of Hepatology","FirstCategoryId":"1085","ListUrlMain":"https://doi.org/10.4254/wjh.v17.i6.105332","RegionNum":0,"RegionCategory":null,"ArticlePicture":[],"TitleCN":null,"AbstractTextCN":null,"PMCID":null,"EPubDate":"","PubModel":"","JCR":"Q2","JCRName":"GASTROENTEROLOGY & HEPATOLOGY","Score":null,"Total":0}
引用次数: 0

摘要

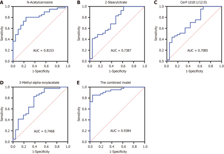
背景:随着肝功能的恶化,肌肉减少症的患病率逐渐增加。肌肉萎缩已被证明可以独立预测肝硬化患者的不良结局。目的:筛选肝硬化患者肌肉减少症的有效生物标志物。方法:对62例肝硬化患者血清进行非靶向代谢组学分析,其中肌肉减少症患者41例,非肌肉减少症患者21例。候选代谢物生物标志物基于三种机器学习算法进行筛选。通过绘制受试者工作特征曲线来评估潜在生物标志物的诊断或预测价值。结果:在肝硬化肌少症组和非肌少症组之间共鉴定出60种差异代谢物。京都基因和基因组百科全书途径富集分析显示,癌症中主要参与甘油磷脂代谢、α -亚麻酸代谢、逆行内源性大麻素信号传导和胆碱代谢的差异代谢物。最后,通过机器学习算法筛选4种潜在的生物标志物,分别是n -乙酰肌肽、2-硬脂酸柠檬酸、CerP (d18:1/12:0)和3-甲基- α -离子乙酸酯。其中,n -乙酰肌肽能提供较好的诊断准确性。结论:本研究揭示了肝硬化伴和不伴肌肉减少症患者血浆代谢谱的不同。这些有价值的生物标志物有潜力通过早期发现或预测肌肉减少症来改善肝硬化患者的预后。
本文章由计算机程序翻译,如有差异,请以英文原文为准。

Machine learning to identify potential biomarkers for sarcopenia in liver cirrhosis.

Machine learning to identify potential biomarkers for sarcopenia in liver cirrhosis.

Machine learning to identify potential biomarkers for sarcopenia in liver cirrhosis.

Machine learning to identify potential biomarkers for sarcopenia in liver cirrhosis.

Background: The prevalence of sarcopenia progressively increases with as liver function deteriorates. Muscle wasting has been shown to independently predict adverse outcomes in liver cirrhosis patients.

Aim: To screen effective biomarkers for sarcopenia in liver cirrhosis.

Methods: Untargeted metabolomics were performed on serum from 62 liver cirrhosis patients, including 41 with sarcopenia and 21 without sarcopenia. Candidate metabolite biomarkers were screened based on three machine-learning algorithms. The diagnostic or predictive value of potential biomarkers was evaluated by drawing receiver operating characteristic curves.

Results: A total of 60 differential metabolites between cirrhotic sarcopenia and the non-sarcopenia group were identified. Kyoto Encyclopedia of Genes and Genomes pathway enrichment analysis revealed differential metabolites primarily involved in glycerophospholipid metabolism, alpha-linolenic acid metabolism, retrograde endocannabinoid signaling, and choline metabolism in cancer. Finally, four potential biomarkers were screened through machine learning algorithms, namely N-Acetylcarnosine, 2-Stearylcitrate, CerP (d18:1/12:0), and 3-Methyl-alpha-ionylacetate. Among these, N-Acetylcarnosine can provide better diagnostic accuracy.

Conclusion: This study unveiled different plasma metabolic profiles of liver cirrhosis patients with and without sarcopenia. These valuable biomarkers have the potential to improve the prognosis of liver patients with cirrhosis by early detection or prediction of sarcopenia.

求助全文
通过发布文献求助,成功后即可免费获取论文全文。 去求助
来源期刊
World Journal of Hepatology
World Journal of Hepatology GASTROENTEROLOGY & HEPATOLOGY-
CiteScore
4.10
自引率
4.20%
发文量
172
×
引用
GB/T 7714-2015
复制
MLA
复制
APA
复制
导出至
BibTeX EndNote RefMan NoteFirst NoteExpress
×
提示
您的信息不完整,为了账户安全,请先补充。
现在去补充
×
提示
您因"违规操作"
具体请查看互助需知
我知道了
×
提示
确定
请完成安全验证×
copy
已复制链接
快去分享给好友吧!
我知道了
右上角分享
点击右上角分享
0
联系我们:info@booksci.cn Book学术提供免费学术资源搜索服务,方便国内外学者检索中英文文献。致力于提供最便捷和优质的服务体验。 Copyright © 2023 布克学术 All rights reserved.
京ICP备2023020795号-1
ghs 京公网安备 11010802042870号
Book学术文献互助
Book学术文献互助群
群 号:604180095
Book学术官方微信