COVID-19感染后原发性醛固酮增多症患者发生阻塞性睡眠呼吸暂停:一项健康全球联合网络分析

IF 2.8 3区 医学 Q2 PHARMACOLOGY & PHARMACY
Therapeutic Advances in Chronic Disease Pub Date : 2025-06-30 eCollection Date: 2025-01-01 DOI:10.1177/20406223251351779
Wen-Kai Chu, Chih-Cheng Lai, Tai-Shuan Lai, Yen-Hung Lin, Vin-Cent Wu
{"title":"COVID-19感染后原发性醛固酮增多症患者发生阻塞性睡眠呼吸暂停:一项健康全球联合网络分析","authors":"Wen-Kai Chu, Chih-Cheng Lai, Tai-Shuan Lai, Yen-Hung Lin, Vin-Cent Wu","doi":"10.1177/20406223251351779","DOIUrl":null,"url":null,"abstract":"<p><strong>Background: </strong>In the context of the COVID-19 pandemic, there is growing concern about the virus's effects on individuals with existing endocrine disorders such as primary aldosteronism (PA).</p><p><strong>Objectives: </strong>This study explores the potential relationship between PA and the risk of developing obstructive sleep apnea (OSA) after a COVID-19 infection.</p><p><strong>Design: </strong>In this retrospective cohort study, we utilized data from the TriNetX database, covering the period from January 2019 to January 2023. We identified essential hypertension (EH) patients as the control group, employing 1:1 propensity score matching.</p><p><strong>Methods: </strong>The endpoints included incident OSA and all-cause mortality.</p><p><strong>Results: </strong>Among 11,422,001 patients with PCR-positive COVID-19, we identified 3628 PA patients (mean 63.1 years, male 38.1%). After a median follow-up of 1.9 years, the rate of OSA was 28.9 per 1000 person-years in PA patients compared to EH with 16.7. We showed a significant increase in incident OSA (adjusted hazard ratio (aHR) 1.58, <i>p</i> < 0.001) and mortality (aHR 1.12, <i>p</i> = 0.04) in PA patients than EH post-COVID-19. The horizon plot revealed that patients with pre-existing PA had the highest risk of OSA at 2 months (aHR = 2.34) post-COVID-19. In subgroup analysis, PA patients with a high body mass index (⩾30 kg/m<sup>2</sup>; aHR 1.81, <i>p</i> = 0.001) or preserved kidney function (aHR 2.00, <i>p</i> < 0.001) had increased OSA incidences post-COVID-19.</p><p><strong>Conclusion: </strong>Our study underscores a notable rise in incident OSA among PA patients post-COVID-19, highlighting the imperative for diligent OSA screening, particularly among individuals with obesity or preserved kidney function.</p>","PeriodicalId":22960,"journal":{"name":"Therapeutic Advances in Chronic Disease","volume":"16 ","pages":"20406223251351779"},"PeriodicalIF":2.8000,"publicationDate":"2025-06-30","publicationTypes":"Journal Article","fieldsOfStudy":null,"isOpenAccess":false,"openAccessPdf":"https://www.ncbi.nlm.nih.gov/pmc/articles/PMC12214305/pdf/","citationCount":"0","resultStr":"{\"title\":\"Incident obstructive sleep apnea in patients with primary aldosteronism following COVID-19 infection: a health global federated network analysis.\",\"authors\":\"Wen-Kai Chu, Chih-Cheng Lai, Tai-Shuan Lai, Yen-Hung Lin, Vin-Cent Wu\",\"doi\":\"10.1177/20406223251351779\",\"DOIUrl\":null,\"url\":null,\"abstract\":\"<p><strong>Background: </strong>In the context of the COVID-19 pandemic, there is growing concern about the virus's effects on individuals with existing endocrine disorders such as primary aldosteronism (PA).</p><p><strong>Objectives: </strong>This study explores the potential relationship between PA and the risk of developing obstructive sleep apnea (OSA) after a COVID-19 infection.</p><p><strong>Design: </strong>In this retrospective cohort study, we utilized data from the TriNetX database, covering the period from January 2019 to January 2023. We identified essential hypertension (EH) patients as the control group, employing 1:1 propensity score matching.</p><p><strong>Methods: </strong>The endpoints included incident OSA and all-cause mortality.</p><p><strong>Results: </strong>Among 11,422,001 patients with PCR-positive COVID-19, we identified 3628 PA patients (mean 63.1 years, male 38.1%). After a median follow-up of 1.9 years, the rate of OSA was 28.9 per 1000 person-years in PA patients compared to EH with 16.7. We showed a significant increase in incident OSA (adjusted hazard ratio (aHR) 1.58, <i>p</i> < 0.001) and mortality (aHR 1.12, <i>p</i> = 0.04) in PA patients than EH post-COVID-19. The horizon plot revealed that patients with pre-existing PA had the highest risk of OSA at 2 months (aHR = 2.34) post-COVID-19. In subgroup analysis, PA patients with a high body mass index (⩾30 kg/m<sup>2</sup>; aHR 1.81, <i>p</i> = 0.001) or preserved kidney function (aHR 2.00, <i>p</i> < 0.001) had increased OSA incidences post-COVID-19.</p><p><strong>Conclusion: </strong>Our study underscores a notable rise in incident OSA among PA patients post-COVID-19, highlighting the imperative for diligent OSA screening, particularly among individuals with obesity or preserved kidney function.</p>\",\"PeriodicalId\":22960,\"journal\":{\"name\":\"Therapeutic Advances in Chronic Disease\",\"volume\":\"16 \",\"pages\":\"20406223251351779\"},\"PeriodicalIF\":2.8000,\"publicationDate\":\"2025-06-30\",\"publicationTypes\":\"Journal Article\",\"fieldsOfStudy\":null,\"isOpenAccess\":false,\"openAccessPdf\":\"https://www.ncbi.nlm.nih.gov/pmc/articles/PMC12214305/pdf/\",\"citationCount\":\"0\",\"resultStr\":null,\"platform\":\"Semanticscholar\",\"paperid\":null,\"PeriodicalName\":\"Therapeutic Advances in Chronic Disease\",\"FirstCategoryId\":\"3\",\"ListUrlMain\":\"https://doi.org/10.1177/20406223251351779\",\"RegionNum\":3,\"RegionCategory\":\"医学\",\"ArticlePicture\":[],\"TitleCN\":null,\"AbstractTextCN\":null,\"PMCID\":null,\"EPubDate\":\"2025/1/1 0:00:00\",\"PubModel\":\"eCollection\",\"JCR\":\"Q2\",\"JCRName\":\"PHARMACOLOGY & PHARMACY\",\"Score\":null,\"Total\":0}","platform":"Semanticscholar","paperid":null,"PeriodicalName":"Therapeutic Advances in Chronic Disease","FirstCategoryId":"3","ListUrlMain":"https://doi.org/10.1177/20406223251351779","RegionNum":3,"RegionCategory":"医学","ArticlePicture":[],"TitleCN":null,"AbstractTextCN":null,"PMCID":null,"EPubDate":"2025/1/1 0:00:00","PubModel":"eCollection","JCR":"Q2","JCRName":"PHARMACOLOGY & PHARMACY","Score":null,"Total":0}
引用次数: 0

摘要

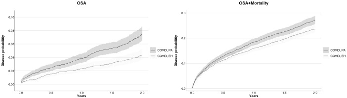
背景:在2019冠状病毒病大流行的背景下,人们越来越关注该病毒对原发性醛固酮增多症(PA)等内分泌疾病患者的影响。目的:本研究探讨COVID-19感染后PA与阻塞性睡眠呼吸暂停(OSA)风险之间的潜在关系。设计:在这项回顾性队列研究中,我们使用了TriNetX数据库的数据,覆盖时间为2019年1月至2023年1月。我们将原发性高血压(EH)患者作为对照组,采用1:1倾向评分匹配。方法:终点包括OSA事件和全因死亡率。结果:在11,422,001例pcr阳性的COVID-19患者中,我们发现了3628例PA患者(平均63.1岁,男性38.1%)。中位随访1.9年后,PA患者的OSA发生率为28.9 / 1000人-年,EH为16.7 / 1000人-年。我们发现,与新冠肺炎后EH患者相比,PA患者的OSA发生率显著增加(校正风险比(aHR) 1.58, p p = 0.04)。地平线图显示,已存在PA的患者在covid -19后2个月发生OSA的风险最高(aHR = 2.34)。在亚组分析中,体重指数大于或等于30 kg/m2的PA患者;结论:我们的研究强调了covid -19后PA患者中OSA发生率的显着上升,强调了认真筛查OSA的必要性,特别是在肥胖或肾功能保留的个体中。
本文章由计算机程序翻译,如有差异,请以英文原文为准。

Incident obstructive sleep apnea in patients with primary aldosteronism following COVID-19 infection: a health global federated network analysis.

Incident obstructive sleep apnea in patients with primary aldosteronism following COVID-19 infection: a health global federated network analysis.

Incident obstructive sleep apnea in patients with primary aldosteronism following COVID-19 infection: a health global federated network analysis.

Incident obstructive sleep apnea in patients with primary aldosteronism following COVID-19 infection: a health global federated network analysis.

Background: In the context of the COVID-19 pandemic, there is growing concern about the virus's effects on individuals with existing endocrine disorders such as primary aldosteronism (PA).

Objectives: This study explores the potential relationship between PA and the risk of developing obstructive sleep apnea (OSA) after a COVID-19 infection.

Design: In this retrospective cohort study, we utilized data from the TriNetX database, covering the period from January 2019 to January 2023. We identified essential hypertension (EH) patients as the control group, employing 1:1 propensity score matching.

Methods: The endpoints included incident OSA and all-cause mortality.

Results: Among 11,422,001 patients with PCR-positive COVID-19, we identified 3628 PA patients (mean 63.1 years, male 38.1%). After a median follow-up of 1.9 years, the rate of OSA was 28.9 per 1000 person-years in PA patients compared to EH with 16.7. We showed a significant increase in incident OSA (adjusted hazard ratio (aHR) 1.58, p < 0.001) and mortality (aHR 1.12, p = 0.04) in PA patients than EH post-COVID-19. The horizon plot revealed that patients with pre-existing PA had the highest risk of OSA at 2 months (aHR = 2.34) post-COVID-19. In subgroup analysis, PA patients with a high body mass index (⩾30 kg/m2; aHR 1.81, p = 0.001) or preserved kidney function (aHR 2.00, p < 0.001) had increased OSA incidences post-COVID-19.

Conclusion: Our study underscores a notable rise in incident OSA among PA patients post-COVID-19, highlighting the imperative for diligent OSA screening, particularly among individuals with obesity or preserved kidney function.

求助全文
通过发布文献求助,成功后即可免费获取论文全文。 去求助
来源期刊
Therapeutic Advances in Chronic Disease
Therapeutic Advances in Chronic Disease Medicine-Medicine (miscellaneous)
CiteScore
6.20
自引率
0.00%
发文量
108
审稿时长
12 weeks
期刊介绍: Therapeutic Advances in Chronic Disease publishes the highest quality peer-reviewed research, reviews and scholarly comment in the drug treatment of all chronic diseases. The journal has a strong clinical and pharmacological focus and is aimed at clinicians and researchers involved in the medical treatment of chronic disease, providing a forum in print and online for publishing the highest quality articles in this area.
×
引用
GB/T 7714-2015
复制
MLA
复制
APA
复制
导出至
BibTeX EndNote RefMan NoteFirst NoteExpress
×
提示
您的信息不完整,为了账户安全,请先补充。
现在去补充
×
提示
您因"违规操作"
具体请查看互助需知
我知道了
×
提示
确定
请完成安全验证×
copy
已复制链接
快去分享给好友吧!
我知道了
右上角分享
点击右上角分享
0
联系我们:info@booksci.cn Book学术提供免费学术资源搜索服务,方便国内外学者检索中英文文献。致力于提供最便捷和优质的服务体验。 Copyright © 2023 布克学术 All rights reserved.
京ICP备2023020795号-1
ghs 京公网安备 11010802042870号
Book学术文献互助
Book学术文献互助群
群 号:604180095
Book学术官方微信