基于智能手机的青少年长期心理健康监测数字表型的设计与可行性

IF 7.7
Debbie Huang, Patrick Emedom-Nnamdi, Jukka-Pekka Onnela, Anna Van Meter
{"title":"基于智能手机的青少年长期心理健康监测数字表型的设计与可行性","authors":"Debbie Huang, Patrick Emedom-Nnamdi, Jukka-Pekka Onnela, Anna Van Meter","doi":"10.1371/journal.pdig.0000883","DOIUrl":null,"url":null,"abstract":"<p><p>Assessment of psychiatric symptoms relies on subjective self-report, which can be unreliable. Digital phenotyping collects data from smartphones to provide near-continuous behavioral monitoring. It can be used to provide objective information about an individual's mental state to improve clinical decision-making for both diagnosis and prognostication. The goal of this study was to evaluate the feasibility and acceptability of smartphone-based digital phenotyping for long-term mental health monitoring in adolescents with bipolar disorder and typically developing peers. Participants (aged 14-19) with bipolar disorder (BD) or with no mental health diagnoses were recruited for an 18-month observational study. Participants installed the Beiwe digital phenotyping app on their phones to collect passive data from their smartphone sensors and thrice-weekly surveys. Participants and caregivers were interviewed monthly to assess changes in the participant's mental health. Analyses focused on 48 participants who had completed participation. Average age at baseline was 15.85 years old (SD = 1.37). Approximately half (54%) identified as female, and 54% identified with a minoritized racial/ethnic background. Completion rates across data types were high, with 99% (826/835) of clinical interviews completed, 89% of passive data collected (22,233/25,029), and 47% (4,945/10,448) of thrice-weekly surveys submitted. The proportion of days passive data were collected was consistent over time for both groups; the clinical interview and active survey completion decreased over the study course. Results of this study suggest digital phenotyping has significant potential as a method of long-term mental health monitoring in adolescents. In contrast to traditional methods, including interview and self-report, it is lower burden and provides more complete data over time. A necessary next step is to determine how well the digital data capture changes in mental health to determine the clinical utility of this approach.</p>","PeriodicalId":74465,"journal":{"name":"PLOS digital health","volume":"4 7","pages":"e0000883"},"PeriodicalIF":7.7000,"publicationDate":"2025-07-01","publicationTypes":"Journal Article","fieldsOfStudy":null,"isOpenAccess":false,"openAccessPdf":"https://www.ncbi.nlm.nih.gov/pmc/articles/PMC12212497/pdf/","citationCount":"0","resultStr":"{\"title\":\"Design and feasibility of smartphone-based digital phenotyping for long-term mental health monitoring in adolescents.\",\"authors\":\"Debbie Huang, Patrick Emedom-Nnamdi, Jukka-Pekka Onnela, Anna Van Meter\",\"doi\":\"10.1371/journal.pdig.0000883\",\"DOIUrl\":null,\"url\":null,\"abstract\":\"<p><p>Assessment of psychiatric symptoms relies on subjective self-report, which can be unreliable. Digital phenotyping collects data from smartphones to provide near-continuous behavioral monitoring. It can be used to provide objective information about an individual's mental state to improve clinical decision-making for both diagnosis and prognostication. The goal of this study was to evaluate the feasibility and acceptability of smartphone-based digital phenotyping for long-term mental health monitoring in adolescents with bipolar disorder and typically developing peers. Participants (aged 14-19) with bipolar disorder (BD) or with no mental health diagnoses were recruited for an 18-month observational study. Participants installed the Beiwe digital phenotyping app on their phones to collect passive data from their smartphone sensors and thrice-weekly surveys. Participants and caregivers were interviewed monthly to assess changes in the participant's mental health. Analyses focused on 48 participants who had completed participation. Average age at baseline was 15.85 years old (SD = 1.37). Approximately half (54%) identified as female, and 54% identified with a minoritized racial/ethnic background. Completion rates across data types were high, with 99% (826/835) of clinical interviews completed, 89% of passive data collected (22,233/25,029), and 47% (4,945/10,448) of thrice-weekly surveys submitted. The proportion of days passive data were collected was consistent over time for both groups; the clinical interview and active survey completion decreased over the study course. Results of this study suggest digital phenotyping has significant potential as a method of long-term mental health monitoring in adolescents. In contrast to traditional methods, including interview and self-report, it is lower burden and provides more complete data over time. A necessary next step is to determine how well the digital data capture changes in mental health to determine the clinical utility of this approach.</p>\",\"PeriodicalId\":74465,\"journal\":{\"name\":\"PLOS digital health\",\"volume\":\"4 7\",\"pages\":\"e0000883\"},\"PeriodicalIF\":7.7000,\"publicationDate\":\"2025-07-01\",\"publicationTypes\":\"Journal Article\",\"fieldsOfStudy\":null,\"isOpenAccess\":false,\"openAccessPdf\":\"https://www.ncbi.nlm.nih.gov/pmc/articles/PMC12212497/pdf/\",\"citationCount\":\"0\",\"resultStr\":null,\"platform\":\"Semanticscholar\",\"paperid\":null,\"PeriodicalName\":\"PLOS digital health\",\"FirstCategoryId\":\"1085\",\"ListUrlMain\":\"https://doi.org/10.1371/journal.pdig.0000883\",\"RegionNum\":0,\"RegionCategory\":null,\"ArticlePicture\":[],\"TitleCN\":null,\"AbstractTextCN\":null,\"PMCID\":null,\"EPubDate\":\"\",\"PubModel\":\"\",\"JCR\":\"\",\"JCRName\":\"\",\"Score\":null,\"Total\":0}","platform":"Semanticscholar","paperid":null,"PeriodicalName":"PLOS digital health","FirstCategoryId":"1085","ListUrlMain":"https://doi.org/10.1371/journal.pdig.0000883","RegionNum":0,"RegionCategory":null,"ArticlePicture":[],"TitleCN":null,"AbstractTextCN":null,"PMCID":null,"EPubDate":"","PubModel":"","JCR":"","JCRName":"","Score":null,"Total":0}
引用次数: 0

摘要

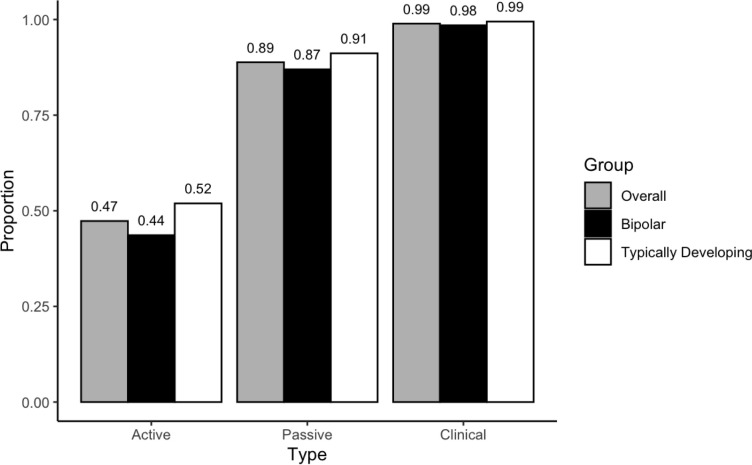
精神症状的评估依赖于主观的自我报告,这可能是不可靠的。数字表型从智能手机收集数据,提供近乎连续的行为监测。它可以用来提供关于个人精神状态的客观信息,以改善诊断和预后的临床决策。本研究的目的是评估基于智能手机的数字表型用于双相情感障碍青少年和典型发展同伴的长期心理健康监测的可行性和可接受性。参与者(14-19岁)患有双相情感障碍(BD)或没有精神健康诊断被招募进行为期18个月的观察性研究。参与者在手机上安装了Beiwe数字表型应用程序,从他们的智能手机传感器和每周三次的调查中收集被动数据。参与者和护理人员每月接受一次访谈,以评估参与者心理健康的变化。分析集中在48名完成参与的参与者身上。基线时平均年龄15.85岁(SD = 1.37)。大约一半(54%)的人认为自己是女性,54%的人认为自己有少数种族/民族背景。数据类型的完成率很高,99%(826/835)的临床访谈完成,89%的被动数据收集(22233 /25,029),47%(4,945/10,448)的每周三次调查提交。两组被动数据收集的天数比例随时间的推移是一致的;临床访谈和主动调查完成率在研究过程中有所下降。本研究的结果表明,数字表型作为一种长期监测青少年心理健康的方法具有重要的潜力。与传统的访谈和自我报告的方法相比,它的负担更轻,而且随着时间的推移,它提供的数据更完整。下一步必须确定数字数据捕获心理健康变化的程度,以确定这种方法的临床效用。
本文章由计算机程序翻译,如有差异,请以英文原文为准。

Design and feasibility of smartphone-based digital phenotyping for long-term mental health monitoring in adolescents.

Design and feasibility of smartphone-based digital phenotyping for long-term mental health monitoring in adolescents.

Design and feasibility of smartphone-based digital phenotyping for long-term mental health monitoring in adolescents.

Design and feasibility of smartphone-based digital phenotyping for long-term mental health monitoring in adolescents.

Assessment of psychiatric symptoms relies on subjective self-report, which can be unreliable. Digital phenotyping collects data from smartphones to provide near-continuous behavioral monitoring. It can be used to provide objective information about an individual's mental state to improve clinical decision-making for both diagnosis and prognostication. The goal of this study was to evaluate the feasibility and acceptability of smartphone-based digital phenotyping for long-term mental health monitoring in adolescents with bipolar disorder and typically developing peers. Participants (aged 14-19) with bipolar disorder (BD) or with no mental health diagnoses were recruited for an 18-month observational study. Participants installed the Beiwe digital phenotyping app on their phones to collect passive data from their smartphone sensors and thrice-weekly surveys. Participants and caregivers were interviewed monthly to assess changes in the participant's mental health. Analyses focused on 48 participants who had completed participation. Average age at baseline was 15.85 years old (SD = 1.37). Approximately half (54%) identified as female, and 54% identified with a minoritized racial/ethnic background. Completion rates across data types were high, with 99% (826/835) of clinical interviews completed, 89% of passive data collected (22,233/25,029), and 47% (4,945/10,448) of thrice-weekly surveys submitted. The proportion of days passive data were collected was consistent over time for both groups; the clinical interview and active survey completion decreased over the study course. Results of this study suggest digital phenotyping has significant potential as a method of long-term mental health monitoring in adolescents. In contrast to traditional methods, including interview and self-report, it is lower burden and provides more complete data over time. A necessary next step is to determine how well the digital data capture changes in mental health to determine the clinical utility of this approach.

求助全文
通过发布文献求助,成功后即可免费获取论文全文。 去求助
来源期刊
自引率
0.00%
发文量
0
×
引用
GB/T 7714-2015
复制
MLA
复制
APA
复制
导出至
BibTeX EndNote RefMan NoteFirst NoteExpress
×
提示
您的信息不完整,为了账户安全,请先补充。
现在去补充
×
提示
您因"违规操作"
具体请查看互助需知
我知道了
×
提示
确定
请完成安全验证×
copy
已复制链接
快去分享给好友吧!
我知道了
右上角分享
点击右上角分享
0
联系我们:info@booksci.cn Book学术提供免费学术资源搜索服务,方便国内外学者检索中英文文献。致力于提供最便捷和优质的服务体验。 Copyright © 2023 布克学术 All rights reserved.
京ICP备2023020795号-1
ghs 京公网安备 11010802042870号
Book学术文献互助
Book学术文献互助群
群 号:604180095
Book学术官方微信