ICU后生活质量:有和无COVID患者随访1年。

IF 3.1
M Rauseo, G Ferrara, A Cotoia, F Cardinale, S Padalino, N Latronico, L Mirabella, G Cinnella
{"title":"ICU后生活质量:有和无COVID患者随访1年。","authors":"M Rauseo, G Ferrara, A Cotoia, F Cardinale, S Padalino, N Latronico, L Mirabella, G Cinnella","doi":"10.1186/s44158-025-00253-y","DOIUrl":null,"url":null,"abstract":"<p><strong>Background: </strong>The purpose of this study was to perform a 1-year follow-up after ICU discharge and evaluate post-intensive care syndrome (PICS) in both COVID (GroupCov) and NON COVID (GroupNCov) patients.</p><p><strong>Methods: </strong>All consecutive patients discharged from our Intensive Care Unit (ICU) from June to December 2022 were prospectively screened. Scheduled in-person visits were carried on 3, 6, and 12 months after ICU discharge to evaluate physical, cognitive, and mental health status using different scale evaluations (SF-36, Barthel Index, ISI score, PCL-5 score, MNA-sf score, Fatigue Severity Score, MoCA Test, HADS and GDS) by means of standardized questionnaires.</p><p><strong>Results: </strong>Eighty patients (50 GroupCov vs 30 GroupNCov) were initially included, but some patients did not attend all follow-up visits. At 1-year follow-up, 60 patients (30 COVID-19 and 30 non-COVID) completed all evaluations. Both groups showed PICS, but GroupCov had a better nutritional status, better outcomes in physical evaluations, and a better perception of Quality of Life (QoL) and mental health status, but a worse cognitive assessment in the MoCA Test. Moreover, heterogeneity analysis showed that GroupNCov patients had the same trend during follow-up, while in GroupCov different trends were observed over time, especially a worse nutritional state, often found in older patients, that was related to a longer hospital stay and worse psychophysical outcomes.</p><p><strong>Conclusions: </strong>This study shows that PICS in SARS-COV2 patients is not always homogeneous, and that different clusters of psychophysical patterns may develop over time. Although our study was only observational, it seems from our preliminary results that performing a follow-up could be the basis for a secondary prevention and to develop new therapeutic strategies after patients discharge from ICU.</p>","PeriodicalId":73597,"journal":{"name":"Journal of Anesthesia, Analgesia and Critical Care (Online)","volume":"5 1","pages":"36"},"PeriodicalIF":3.1000,"publicationDate":"2025-07-01","publicationTypes":"Journal Article","fieldsOfStudy":null,"isOpenAccess":false,"openAccessPdf":"https://www.ncbi.nlm.nih.gov/pmc/articles/PMC12211204/pdf/","citationCount":"0","resultStr":"{\"title\":\"Quality of life after ICU: 1-year follow-up in patients with and without COVID.\",\"authors\":\"M Rauseo, G Ferrara, A Cotoia, F Cardinale, S Padalino, N Latronico, L Mirabella, G Cinnella\",\"doi\":\"10.1186/s44158-025-00253-y\",\"DOIUrl\":null,\"url\":null,\"abstract\":\"<p><strong>Background: </strong>The purpose of this study was to perform a 1-year follow-up after ICU discharge and evaluate post-intensive care syndrome (PICS) in both COVID (GroupCov) and NON COVID (GroupNCov) patients.</p><p><strong>Methods: </strong>All consecutive patients discharged from our Intensive Care Unit (ICU) from June to December 2022 were prospectively screened. Scheduled in-person visits were carried on 3, 6, and 12 months after ICU discharge to evaluate physical, cognitive, and mental health status using different scale evaluations (SF-36, Barthel Index, ISI score, PCL-5 score, MNA-sf score, Fatigue Severity Score, MoCA Test, HADS and GDS) by means of standardized questionnaires.</p><p><strong>Results: </strong>Eighty patients (50 GroupCov vs 30 GroupNCov) were initially included, but some patients did not attend all follow-up visits. At 1-year follow-up, 60 patients (30 COVID-19 and 30 non-COVID) completed all evaluations. Both groups showed PICS, but GroupCov had a better nutritional status, better outcomes in physical evaluations, and a better perception of Quality of Life (QoL) and mental health status, but a worse cognitive assessment in the MoCA Test. Moreover, heterogeneity analysis showed that GroupNCov patients had the same trend during follow-up, while in GroupCov different trends were observed over time, especially a worse nutritional state, often found in older patients, that was related to a longer hospital stay and worse psychophysical outcomes.</p><p><strong>Conclusions: </strong>This study shows that PICS in SARS-COV2 patients is not always homogeneous, and that different clusters of psychophysical patterns may develop over time. Although our study was only observational, it seems from our preliminary results that performing a follow-up could be the basis for a secondary prevention and to develop new therapeutic strategies after patients discharge from ICU.</p>\",\"PeriodicalId\":73597,\"journal\":{\"name\":\"Journal of Anesthesia, Analgesia and Critical Care (Online)\",\"volume\":\"5 1\",\"pages\":\"36\"},\"PeriodicalIF\":3.1000,\"publicationDate\":\"2025-07-01\",\"publicationTypes\":\"Journal Article\",\"fieldsOfStudy\":null,\"isOpenAccess\":false,\"openAccessPdf\":\"https://www.ncbi.nlm.nih.gov/pmc/articles/PMC12211204/pdf/\",\"citationCount\":\"0\",\"resultStr\":null,\"platform\":\"Semanticscholar\",\"paperid\":null,\"PeriodicalName\":\"Journal of Anesthesia, Analgesia and Critical Care (Online)\",\"FirstCategoryId\":\"1085\",\"ListUrlMain\":\"https://doi.org/10.1186/s44158-025-00253-y\",\"RegionNum\":0,\"RegionCategory\":null,\"ArticlePicture\":[],\"TitleCN\":null,\"AbstractTextCN\":null,\"PMCID\":null,\"EPubDate\":\"\",\"PubModel\":\"\",\"JCR\":\"\",\"JCRName\":\"\",\"Score\":null,\"Total\":0}","platform":"Semanticscholar","paperid":null,"PeriodicalName":"Journal of Anesthesia, Analgesia and Critical Care (Online)","FirstCategoryId":"1085","ListUrlMain":"https://doi.org/10.1186/s44158-025-00253-y","RegionNum":0,"RegionCategory":null,"ArticlePicture":[],"TitleCN":null,"AbstractTextCN":null,"PMCID":null,"EPubDate":"","PubModel":"","JCR":"","JCRName":"","Score":null,"Total":0}
引用次数: 0

摘要

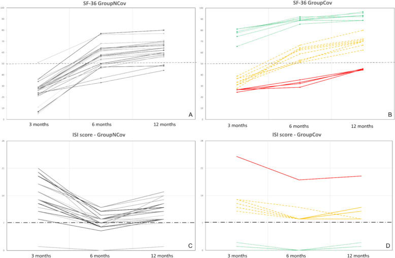
背景:本研究的目的是在ICU出院后进行1年随访,评估COVID (GroupCov)和NON - COVID (GroupNCov)患者的重症监护后综合征(PICS)。方法:对2022年6月至12月从我院重症监护室(ICU)连续出院的所有患者进行前瞻性筛查。在ICU出院后3、6、12个月进行定期访视,采用标准化问卷的不同量表(SF-36、Barthel指数、ISI评分、PCL-5评分、MNA-sf评分、疲劳严重程度评分、MoCA测试、HADS和GDS)评估患者的身体、认知和心理健康状况。结果:最初纳入80例患者(50例GroupCov vs 30例GroupNCov),但一些患者未参加所有随访。随访1年,60例患者(30例COVID-19和30例非COVID-19)完成所有评估。两组均表现出PICS,但GroupCov的营养状况更好,身体评估结果更好,生活质量(QoL)和心理健康状况更好,但MoCA测试的认知评估更差。此外,异质性分析显示,GroupNCov患者在随访期间具有相同的趋势,而GroupCov患者随着时间的推移观察到不同的趋势,特别是老年患者的营养状况更差,这与更长的住院时间和更差的心理生理结果有关。结论:本研究表明,SARS-COV2患者的PICS并不总是均匀的,随着时间的推移,不同的心理物理模式集群可能会发展。虽然我们的研究只是观察性的,但从我们的初步结果来看,进行随访似乎可以作为二级预防的基础,并在患者从ICU出院后制定新的治疗策略。
本文章由计算机程序翻译,如有差异,请以英文原文为准。

Quality of life after ICU: 1-year follow-up in patients with and without COVID.

Quality of life after ICU: 1-year follow-up in patients with and without COVID.

Quality of life after ICU: 1-year follow-up in patients with and without COVID.

Quality of life after ICU: 1-year follow-up in patients with and without COVID.

Background: The purpose of this study was to perform a 1-year follow-up after ICU discharge and evaluate post-intensive care syndrome (PICS) in both COVID (GroupCov) and NON COVID (GroupNCov) patients.

Methods: All consecutive patients discharged from our Intensive Care Unit (ICU) from June to December 2022 were prospectively screened. Scheduled in-person visits were carried on 3, 6, and 12 months after ICU discharge to evaluate physical, cognitive, and mental health status using different scale evaluations (SF-36, Barthel Index, ISI score, PCL-5 score, MNA-sf score, Fatigue Severity Score, MoCA Test, HADS and GDS) by means of standardized questionnaires.

Results: Eighty patients (50 GroupCov vs 30 GroupNCov) were initially included, but some patients did not attend all follow-up visits. At 1-year follow-up, 60 patients (30 COVID-19 and 30 non-COVID) completed all evaluations. Both groups showed PICS, but GroupCov had a better nutritional status, better outcomes in physical evaluations, and a better perception of Quality of Life (QoL) and mental health status, but a worse cognitive assessment in the MoCA Test. Moreover, heterogeneity analysis showed that GroupNCov patients had the same trend during follow-up, while in GroupCov different trends were observed over time, especially a worse nutritional state, often found in older patients, that was related to a longer hospital stay and worse psychophysical outcomes.

Conclusions: This study shows that PICS in SARS-COV2 patients is not always homogeneous, and that different clusters of psychophysical patterns may develop over time. Although our study was only observational, it seems from our preliminary results that performing a follow-up could be the basis for a secondary prevention and to develop new therapeutic strategies after patients discharge from ICU.

求助全文
通过发布文献求助,成功后即可免费获取论文全文。 去求助
来源期刊
CiteScore
1.40
自引率
0.00%
发文量
0
×
引用
GB/T 7714-2015
复制
MLA
复制
APA
复制
导出至
BibTeX EndNote RefMan NoteFirst NoteExpress
×
提示
您的信息不完整,为了账户安全,请先补充。
现在去补充
×
提示
您因"违规操作"
具体请查看互助需知
我知道了
×
提示
确定
请完成安全验证×
copy
已复制链接
快去分享给好友吧!
我知道了
右上角分享
点击右上角分享
0
联系我们:info@booksci.cn Book学术提供免费学术资源搜索服务,方便国内外学者检索中英文文献。致力于提供最便捷和优质的服务体验。 Copyright © 2023 布克学术 All rights reserved.
京ICP备2023020795号-1
ghs 京公网安备 11010802042870号
Book学术文献互助
Book学术文献互助群
群 号:604180095
Book学术官方微信