社会经济因素对巴西东北部Lençóis Maranhenses国家公园爬行动物和哺乳动物知识的影响

IF 3.7 2区 医学 Q1 BIODIVERSITY CONSERVATION
Pedro Victor Cardoso Dos Santos, Felipe Silva Ferreira, Samuel Vieira Brito
{"title":"社会经济因素对巴西东北部Lençóis Maranhenses国家公园爬行动物和哺乳动物知识的影响","authors":"Pedro Victor Cardoso Dos Santos, Felipe Silva Ferreira, Samuel Vieira Brito","doi":"10.1186/s13002-025-00780-6","DOIUrl":null,"url":null,"abstract":"<p><p>Local ecological knowledge is transmitted across generations and arises from various human interactions with the environment. Cultural and socioeconomic variables such as age, sex, educational level and locality can influence both the acquisition and transmission of this knowledge. However, Brazil's diverse environmental contexts reveal gaps in information regarding interactions with local fauna. Given this scenario, this study aims to investigate whether socioeconomic factors influence knowledge about reptile and mammal species in Lençóis Maranhenses National Park. Additionally, it seeks to provide a list of the recognized animals and document interactions between residents and fauna. Data were collected through semi-structured questionnaires and open-ended interviews, resulting in records of 36 species (plus 6 identified only at genus level) in 33 families and 10 orders, of which 53% were non-avian reptile and 47% mammals. We observed three types of interactions between residents and fauna: dietary, medicinal and conflict-related. Among the variables analyzed using a generalized linear model, only locality significantly influenced traditional faunal knowledge in the communities studied.</p>","PeriodicalId":49162,"journal":{"name":"Journal of Ethnobiology and Ethnomedicine","volume":"21 1","pages":"44"},"PeriodicalIF":3.7000,"publicationDate":"2025-07-01","publicationTypes":"Journal Article","fieldsOfStudy":null,"isOpenAccess":false,"openAccessPdf":"https://www.ncbi.nlm.nih.gov/pmc/articles/PMC12211199/pdf/","citationCount":"0","resultStr":"{\"title\":\"The influence of socioeconomic factors on the knowledge of reptiles and mammals in the Lençóis Maranhenses National Park, Northeast Brazil.\",\"authors\":\"Pedro Victor Cardoso Dos Santos, Felipe Silva Ferreira, Samuel Vieira Brito\",\"doi\":\"10.1186/s13002-025-00780-6\",\"DOIUrl\":null,\"url\":null,\"abstract\":\"<p><p>Local ecological knowledge is transmitted across generations and arises from various human interactions with the environment. Cultural and socioeconomic variables such as age, sex, educational level and locality can influence both the acquisition and transmission of this knowledge. However, Brazil's diverse environmental contexts reveal gaps in information regarding interactions with local fauna. Given this scenario, this study aims to investigate whether socioeconomic factors influence knowledge about reptile and mammal species in Lençóis Maranhenses National Park. Additionally, it seeks to provide a list of the recognized animals and document interactions between residents and fauna. Data were collected through semi-structured questionnaires and open-ended interviews, resulting in records of 36 species (plus 6 identified only at genus level) in 33 families and 10 orders, of which 53% were non-avian reptile and 47% mammals. We observed three types of interactions between residents and fauna: dietary, medicinal and conflict-related. Among the variables analyzed using a generalized linear model, only locality significantly influenced traditional faunal knowledge in the communities studied.</p>\",\"PeriodicalId\":49162,\"journal\":{\"name\":\"Journal of Ethnobiology and Ethnomedicine\",\"volume\":\"21 1\",\"pages\":\"44\"},\"PeriodicalIF\":3.7000,\"publicationDate\":\"2025-07-01\",\"publicationTypes\":\"Journal Article\",\"fieldsOfStudy\":null,\"isOpenAccess\":false,\"openAccessPdf\":\"https://www.ncbi.nlm.nih.gov/pmc/articles/PMC12211199/pdf/\",\"citationCount\":\"0\",\"resultStr\":null,\"platform\":\"Semanticscholar\",\"paperid\":null,\"PeriodicalName\":\"Journal of Ethnobiology and Ethnomedicine\",\"FirstCategoryId\":\"3\",\"ListUrlMain\":\"https://doi.org/10.1186/s13002-025-00780-6\",\"RegionNum\":2,\"RegionCategory\":\"医学\",\"ArticlePicture\":[],\"TitleCN\":null,\"AbstractTextCN\":null,\"PMCID\":null,\"EPubDate\":\"\",\"PubModel\":\"\",\"JCR\":\"Q1\",\"JCRName\":\"BIODIVERSITY CONSERVATION\",\"Score\":null,\"Total\":0}","platform":"Semanticscholar","paperid":null,"PeriodicalName":"Journal of Ethnobiology and Ethnomedicine","FirstCategoryId":"3","ListUrlMain":"https://doi.org/10.1186/s13002-025-00780-6","RegionNum":2,"RegionCategory":"医学","ArticlePicture":[],"TitleCN":null,"AbstractTextCN":null,"PMCID":null,"EPubDate":"","PubModel":"","JCR":"Q1","JCRName":"BIODIVERSITY CONSERVATION","Score":null,"Total":0}
引用次数: 0

摘要

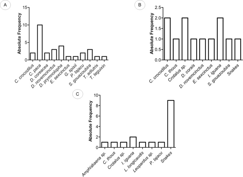
当地生态知识代代相传,源于人类与环境的各种互动。诸如年龄、性别、教育水平和地点等文化和社会经济变量可以影响这种知识的获取和传播。然而,巴西多样化的环境背景揭示了与当地动物群相互作用的信息差距。在此背景下,本研究旨在探讨社会经济因素是否影响Lençóis Maranhenses国家公园爬行动物和哺乳动物物种的知识。此外,它还试图提供一份已知动物的清单,并记录居民与动物之间的相互作用。通过半结构化问卷调查和开放式访谈收集数据,共记录了10目33科36种(外加6种属级鉴定),其中非鸟类爬行动物占53%,哺乳动物占47%。我们观察到居民与动物之间的三种相互作用:饮食、医疗和冲突相关。在采用广义线性模型分析的变量中,只有局部性对研究群落的传统区系知识有显著影响。
本文章由计算机程序翻译,如有差异,请以英文原文为准。

The influence of socioeconomic factors on the knowledge of reptiles and mammals in the Lençóis Maranhenses National Park, Northeast Brazil.

The influence of socioeconomic factors on the knowledge of reptiles and mammals in the Lençóis Maranhenses National Park, Northeast Brazil.

The influence of socioeconomic factors on the knowledge of reptiles and mammals in the Lençóis Maranhenses National Park, Northeast Brazil.

The influence of socioeconomic factors on the knowledge of reptiles and mammals in the Lençóis Maranhenses National Park, Northeast Brazil.

Local ecological knowledge is transmitted across generations and arises from various human interactions with the environment. Cultural and socioeconomic variables such as age, sex, educational level and locality can influence both the acquisition and transmission of this knowledge. However, Brazil's diverse environmental contexts reveal gaps in information regarding interactions with local fauna. Given this scenario, this study aims to investigate whether socioeconomic factors influence knowledge about reptile and mammal species in Lençóis Maranhenses National Park. Additionally, it seeks to provide a list of the recognized animals and document interactions between residents and fauna. Data were collected through semi-structured questionnaires and open-ended interviews, resulting in records of 36 species (plus 6 identified only at genus level) in 33 families and 10 orders, of which 53% were non-avian reptile and 47% mammals. We observed three types of interactions between residents and fauna: dietary, medicinal and conflict-related. Among the variables analyzed using a generalized linear model, only locality significantly influenced traditional faunal knowledge in the communities studied.

求助全文
通过发布文献求助,成功后即可免费获取论文全文。 去求助
来源期刊
CiteScore
7.30
自引率
16.70%
发文量
66
审稿时长
>12 weeks
期刊介绍: Journal of Ethnobiology and Ethnomedicine publishes original research focusing on cultural perceptions of nature and of human and animal health. Journal of Ethnobiology and Ethnomedicine invites research articles, reviews and commentaries concerning the investigations of the inextricable links between human societies and nature, food, and health. Specifically, the journal covers the following topics: ethnobotany, ethnomycology, ethnozoology, ethnoecology (including ethnopedology), ethnogastronomy, ethnomedicine, ethnoveterinary, as well as all related areas in environmental, nutritional, and medical anthropology. Research focusing on the implications that the inclusion of humanistic, cultural, and social dimensions have in understanding the biological word is also welcome, as well as its potential projections in public health-centred, nutritional, and environmental policies.
×
引用
GB/T 7714-2015
复制
MLA
复制
APA
复制
导出至
BibTeX EndNote RefMan NoteFirst NoteExpress
×
提示
您的信息不完整,为了账户安全,请先补充。
现在去补充
×
提示
您因"违规操作"
具体请查看互助需知
我知道了
×
提示
确定
请完成安全验证×
copy
已复制链接
快去分享给好友吧!
我知道了
右上角分享
点击右上角分享
0
联系我们:info@booksci.cn Book学术提供免费学术资源搜索服务,方便国内外学者检索中英文文献。致力于提供最便捷和优质的服务体验。 Copyright © 2023 布克学术 All rights reserved.
京ICP备2023020795号-1
ghs 京公网安备 11010802042870号
Book学术文献互助
Book学术文献互助群
群 号:604180095
Book学术官方微信