因果推理、预测和描述性研究的变量选择:建议的叙述性回顾。

European heart journal open Pub Date : 2025-06-04 eCollection Date: 2025-05-01 DOI:10.1093/ehjopen/oeaf070
Brett P Dyer
{"title":"因果推理、预测和描述性研究的变量选择:建议的叙述性回顾。","authors":"Brett P Dyer","doi":"10.1093/ehjopen/oeaf070","DOIUrl":null,"url":null,"abstract":"<p><p>There is a growing appreciation that the methods and analyses of medical studies should be tailored towards the type of research question. However, frequent conflation exists with respect to the reasons for statistically adjusting for variables in analyses and the methods that should be used for variable selection in regression models. Non-randomized causal studies require statistical adjustment for confounders that may bias the causal effect estimate. Predictor/prognostic factor studies may present unadjusted associations and/or present associations statistically adjusted for existing predictors to establish the added predictive value of the candidate predictor over and above known predictors. Prediction models aim to identify a set of variables that are clinically useable and are collectively the best at predicting the outcome. Descriptive studies may want to characterize the outcome distribution with respect to an additional variable or standardize with respect to a nuisance variable for which the study sample differs from the target population. This narrative review summarizes background theory and existing advice on how variable selection should differ for causal research, prediction modelling, predictor/prognostic factor research, and descriptive research. Examples of variable selection approaches from published cardiovascular research are also provided.</p>","PeriodicalId":93995,"journal":{"name":"European heart journal open","volume":"5 3","pages":"oeaf070"},"PeriodicalIF":0.0000,"publicationDate":"2025-06-04","publicationTypes":"Journal Article","fieldsOfStudy":null,"isOpenAccess":false,"openAccessPdf":"https://www.ncbi.nlm.nih.gov/pmc/articles/PMC12204189/pdf/","citationCount":"0","resultStr":"{\"title\":\"Variable selection for causal inference, prediction, and descriptive research: a narrative review of recommendations.\",\"authors\":\"Brett P Dyer\",\"doi\":\"10.1093/ehjopen/oeaf070\",\"DOIUrl\":null,\"url\":null,\"abstract\":\"<p><p>There is a growing appreciation that the methods and analyses of medical studies should be tailored towards the type of research question. However, frequent conflation exists with respect to the reasons for statistically adjusting for variables in analyses and the methods that should be used for variable selection in regression models. Non-randomized causal studies require statistical adjustment for confounders that may bias the causal effect estimate. Predictor/prognostic factor studies may present unadjusted associations and/or present associations statistically adjusted for existing predictors to establish the added predictive value of the candidate predictor over and above known predictors. Prediction models aim to identify a set of variables that are clinically useable and are collectively the best at predicting the outcome. Descriptive studies may want to characterize the outcome distribution with respect to an additional variable or standardize with respect to a nuisance variable for which the study sample differs from the target population. This narrative review summarizes background theory and existing advice on how variable selection should differ for causal research, prediction modelling, predictor/prognostic factor research, and descriptive research. Examples of variable selection approaches from published cardiovascular research are also provided.</p>\",\"PeriodicalId\":93995,\"journal\":{\"name\":\"European heart journal open\",\"volume\":\"5 3\",\"pages\":\"oeaf070\"},\"PeriodicalIF\":0.0000,\"publicationDate\":\"2025-06-04\",\"publicationTypes\":\"Journal Article\",\"fieldsOfStudy\":null,\"isOpenAccess\":false,\"openAccessPdf\":\"https://www.ncbi.nlm.nih.gov/pmc/articles/PMC12204189/pdf/\",\"citationCount\":\"0\",\"resultStr\":null,\"platform\":\"Semanticscholar\",\"paperid\":null,\"PeriodicalName\":\"European heart journal open\",\"FirstCategoryId\":\"1085\",\"ListUrlMain\":\"https://doi.org/10.1093/ehjopen/oeaf070\",\"RegionNum\":0,\"RegionCategory\":null,\"ArticlePicture\":[],\"TitleCN\":null,\"AbstractTextCN\":null,\"PMCID\":null,\"EPubDate\":\"2025/5/1 0:00:00\",\"PubModel\":\"eCollection\",\"JCR\":\"\",\"JCRName\":\"\",\"Score\":null,\"Total\":0}","platform":"Semanticscholar","paperid":null,"PeriodicalName":"European heart journal open","FirstCategoryId":"1085","ListUrlMain":"https://doi.org/10.1093/ehjopen/oeaf070","RegionNum":0,"RegionCategory":null,"ArticlePicture":[],"TitleCN":null,"AbstractTextCN":null,"PMCID":null,"EPubDate":"2025/5/1 0:00:00","PubModel":"eCollection","JCR":"","JCRName":"","Score":null,"Total":0}
引用次数: 0

摘要

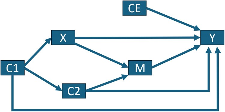
人们越来越认识到,医学研究的方法和分析应该针对研究问题的类型进行调整。然而,在分析中对变量进行统计调整的原因和在回归模型中应该用于变量选择的方法方面,经常存在混淆。非随机因果研究需要对可能导致因果效应估计偏倚的混杂因素进行统计调整。预测因子/预后因子研究可能呈现未经调整的关联和/或呈现对现有预测因子进行统计调整的关联,以确定候选预测因子在已知预测因子之上的附加预测价值。预测模型旨在确定一组临床可用的变量,这些变量在预测结果方面是最好的。描述性研究可能想要描述关于一个额外变量的结果分布特征,或者标准化关于一个研究样本不同于目标人群的讨厌变量。这篇叙述性综述总结了背景理论和现有的关于变量选择在因果研究、预测建模、预测因子/预后因子研究和描述性研究中应该如何不同的建议。还提供了已发表的心血管研究中变量选择方法的例子。
本文章由计算机程序翻译,如有差异,请以英文原文为准。

Variable selection for causal inference, prediction, and descriptive research: a narrative review of recommendations.

Variable selection for causal inference, prediction, and descriptive research: a narrative review of recommendations.

Variable selection for causal inference, prediction, and descriptive research: a narrative review of recommendations.

Variable selection for causal inference, prediction, and descriptive research: a narrative review of recommendations.

There is a growing appreciation that the methods and analyses of medical studies should be tailored towards the type of research question. However, frequent conflation exists with respect to the reasons for statistically adjusting for variables in analyses and the methods that should be used for variable selection in regression models. Non-randomized causal studies require statistical adjustment for confounders that may bias the causal effect estimate. Predictor/prognostic factor studies may present unadjusted associations and/or present associations statistically adjusted for existing predictors to establish the added predictive value of the candidate predictor over and above known predictors. Prediction models aim to identify a set of variables that are clinically useable and are collectively the best at predicting the outcome. Descriptive studies may want to characterize the outcome distribution with respect to an additional variable or standardize with respect to a nuisance variable for which the study sample differs from the target population. This narrative review summarizes background theory and existing advice on how variable selection should differ for causal research, prediction modelling, predictor/prognostic factor research, and descriptive research. Examples of variable selection approaches from published cardiovascular research are also provided.

求助全文
通过发布文献求助,成功后即可免费获取论文全文。 去求助
来源期刊
CiteScore
2.80
自引率
0.00%
发文量
0
×
引用
GB/T 7714-2015
复制
MLA
复制
APA
复制
导出至
BibTeX EndNote RefMan NoteFirst NoteExpress
×
提示
您的信息不完整,为了账户安全,请先补充。
现在去补充
×
提示
您因"违规操作"
具体请查看互助需知
我知道了
×
提示
确定
请完成安全验证×
copy
已复制链接
快去分享给好友吧!
我知道了
右上角分享
点击右上角分享
0
联系我们:info@booksci.cn Book学术提供免费学术资源搜索服务,方便国内外学者检索中英文文献。致力于提供最便捷和优质的服务体验。 Copyright © 2023 布克学术 All rights reserved.
京ICP备2023020795号-1
ghs 京公网安备 11010802042870号
Book学术文献互助
Book学术文献互助群
群 号:604180095
Book学术官方微信