通过组学整合研究结直肠癌的新型治疗特异性因果生物标志物。

IF 2.8 Q1 GENETICS & HEREDITY
NAR Genomics and Bioinformatics Pub Date : 2025-06-19 eCollection Date: 2025-06-01 DOI:10.1093/nargab/lqaf053
Akram Yazdani, Azam Yazdani, Raul Mendez-Giraldez, Gianluigi Pillonetto, Esmat Samiei, Reza Hadi, Heinz-Josef Lenz, Alan P Venook, Ahmad Samiei, Andrew B Nixon, Joseph A Lucci, Scott Kopetz, Monica M Bertagnolli, Federico Innocenti
{"title":"通过组学整合研究结直肠癌的新型治疗特异性因果生物标志物。","authors":"Akram Yazdani, Azam Yazdani, Raul Mendez-Giraldez, Gianluigi Pillonetto, Esmat Samiei, Reza Hadi, Heinz-Josef Lenz, Alan P Venook, Ahmad Samiei, Andrew B Nixon, Joseph A Lucci, Scott Kopetz, Monica M Bertagnolli, Federico Innocenti","doi":"10.1093/nargab/lqaf053","DOIUrl":null,"url":null,"abstract":"<p><p>While monoclonal antibody-based targeted therapies have substantially improved progression-free survival in cancer patients, the variability in individual responses poses a significant challenge in patient care. Therefore, identifying cancer subtypes and their associated biomarkers is required for assigning effective treatment. In this study, we integrated genotype and pre-treatment tissue RNA-seq data and identified biomarkers causally associated with the overall survival (OS) of colorectal cancer (CRC) patients treated with either cetuximab or bevacizumab. We performed enrichment analysis for specific consensus molecular subtypes (CMS) of CRC and evaluated differential expression of identified genes using paired tumor and normal tissue from an external cohort. In addition, we replicated the causal effect of these genes on OS using a validation cohort and assessed their association with The Cancer Genome Atlas Program data as an external cohort. One of the replicated findings was <i>WDR62</i>, whose overexpression shortened OS of patients treated with cetuximab. Enrichment of its overexpression in CMS1 and low expression in CMS4 suggests that patients with the CMS4 subtype may derive greater benefit from cetuximab. In summary, this study highlights the importance of integrating different omics data for identifying promising biomarkers specific to a treatment or a cancer subtype.</p>","PeriodicalId":33994,"journal":{"name":"NAR Genomics and Bioinformatics","volume":"7 2","pages":"lqaf053"},"PeriodicalIF":2.8000,"publicationDate":"2025-06-19","publicationTypes":"Journal Article","fieldsOfStudy":null,"isOpenAccess":false,"openAccessPdf":"https://www.ncbi.nlm.nih.gov/pmc/articles/PMC12204401/pdf/","citationCount":"0","resultStr":"{\"title\":\"Novel treatment-specific causal biomarkers for colorectal cancer by omics integration.\",\"authors\":\"Akram Yazdani, Azam Yazdani, Raul Mendez-Giraldez, Gianluigi Pillonetto, Esmat Samiei, Reza Hadi, Heinz-Josef Lenz, Alan P Venook, Ahmad Samiei, Andrew B Nixon, Joseph A Lucci, Scott Kopetz, Monica M Bertagnolli, Federico Innocenti\",\"doi\":\"10.1093/nargab/lqaf053\",\"DOIUrl\":null,\"url\":null,\"abstract\":\"<p><p>While monoclonal antibody-based targeted therapies have substantially improved progression-free survival in cancer patients, the variability in individual responses poses a significant challenge in patient care. Therefore, identifying cancer subtypes and their associated biomarkers is required for assigning effective treatment. In this study, we integrated genotype and pre-treatment tissue RNA-seq data and identified biomarkers causally associated with the overall survival (OS) of colorectal cancer (CRC) patients treated with either cetuximab or bevacizumab. We performed enrichment analysis for specific consensus molecular subtypes (CMS) of CRC and evaluated differential expression of identified genes using paired tumor and normal tissue from an external cohort. In addition, we replicated the causal effect of these genes on OS using a validation cohort and assessed their association with The Cancer Genome Atlas Program data as an external cohort. One of the replicated findings was <i>WDR62</i>, whose overexpression shortened OS of patients treated with cetuximab. Enrichment of its overexpression in CMS1 and low expression in CMS4 suggests that patients with the CMS4 subtype may derive greater benefit from cetuximab. In summary, this study highlights the importance of integrating different omics data for identifying promising biomarkers specific to a treatment or a cancer subtype.</p>\",\"PeriodicalId\":33994,\"journal\":{\"name\":\"NAR Genomics and Bioinformatics\",\"volume\":\"7 2\",\"pages\":\"lqaf053\"},\"PeriodicalIF\":2.8000,\"publicationDate\":\"2025-06-19\",\"publicationTypes\":\"Journal Article\",\"fieldsOfStudy\":null,\"isOpenAccess\":false,\"openAccessPdf\":\"https://www.ncbi.nlm.nih.gov/pmc/articles/PMC12204401/pdf/\",\"citationCount\":\"0\",\"resultStr\":null,\"platform\":\"Semanticscholar\",\"paperid\":null,\"PeriodicalName\":\"NAR Genomics and Bioinformatics\",\"FirstCategoryId\":\"1085\",\"ListUrlMain\":\"https://doi.org/10.1093/nargab/lqaf053\",\"RegionNum\":0,\"RegionCategory\":null,\"ArticlePicture\":[],\"TitleCN\":null,\"AbstractTextCN\":null,\"PMCID\":null,\"EPubDate\":\"2025/6/1 0:00:00\",\"PubModel\":\"eCollection\",\"JCR\":\"Q1\",\"JCRName\":\"GENETICS & HEREDITY\",\"Score\":null,\"Total\":0}","platform":"Semanticscholar","paperid":null,"PeriodicalName":"NAR Genomics and Bioinformatics","FirstCategoryId":"1085","ListUrlMain":"https://doi.org/10.1093/nargab/lqaf053","RegionNum":0,"RegionCategory":null,"ArticlePicture":[],"TitleCN":null,"AbstractTextCN":null,"PMCID":null,"EPubDate":"2025/6/1 0:00:00","PubModel":"eCollection","JCR":"Q1","JCRName":"GENETICS & HEREDITY","Score":null,"Total":0}
引用次数: 0

摘要

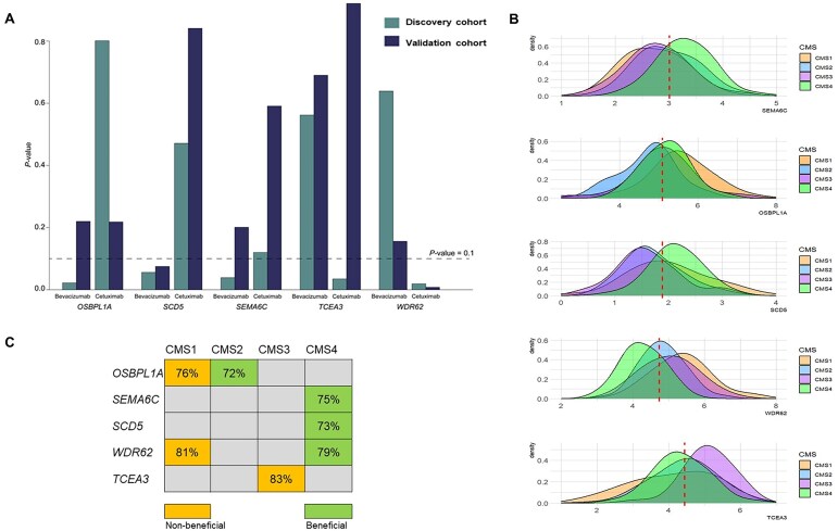
虽然以单克隆抗体为基础的靶向治疗大大提高了癌症患者的无进展生存期,但个体反应的可变性对患者护理提出了重大挑战。因此,确定癌症亚型及其相关的生物标志物是分配有效治疗的必要条件。在这项研究中,我们整合了基因型和治疗前组织RNA-seq数据,并鉴定了与西妥昔单抗或贝伐单抗治疗的结直肠癌(CRC)患者总生存率(OS)有因果关系的生物标志物。我们对CRC的特定共识分子亚型(CMS)进行富集分析,并使用来自外部队列的配对肿瘤和正常组织评估鉴定基因的差异表达。此外,我们使用验证队列复制了这些基因对OS的因果效应,并作为外部队列评估了它们与癌症基因组图谱计划数据的关联。其中一个重复的发现是WDR62,其过表达缩短了西妥昔单抗治疗患者的OS。其在CMS1中过表达的富集和在CMS4中的低表达表明CMS4亚型患者可能从西妥昔单抗中获得更大的益处。总之,本研究强调了整合不同组学数据对于识别特定于治疗或癌症亚型的有前途的生物标志物的重要性。
本文章由计算机程序翻译,如有差异,请以英文原文为准。

Novel treatment-specific causal biomarkers for colorectal cancer by omics integration.

Novel treatment-specific causal biomarkers for colorectal cancer by omics integration.

Novel treatment-specific causal biomarkers for colorectal cancer by omics integration.

Novel treatment-specific causal biomarkers for colorectal cancer by omics integration.

While monoclonal antibody-based targeted therapies have substantially improved progression-free survival in cancer patients, the variability in individual responses poses a significant challenge in patient care. Therefore, identifying cancer subtypes and their associated biomarkers is required for assigning effective treatment. In this study, we integrated genotype and pre-treatment tissue RNA-seq data and identified biomarkers causally associated with the overall survival (OS) of colorectal cancer (CRC) patients treated with either cetuximab or bevacizumab. We performed enrichment analysis for specific consensus molecular subtypes (CMS) of CRC and evaluated differential expression of identified genes using paired tumor and normal tissue from an external cohort. In addition, we replicated the causal effect of these genes on OS using a validation cohort and assessed their association with The Cancer Genome Atlas Program data as an external cohort. One of the replicated findings was WDR62, whose overexpression shortened OS of patients treated with cetuximab. Enrichment of its overexpression in CMS1 and low expression in CMS4 suggests that patients with the CMS4 subtype may derive greater benefit from cetuximab. In summary, this study highlights the importance of integrating different omics data for identifying promising biomarkers specific to a treatment or a cancer subtype.

求助全文
通过发布文献求助,成功后即可免费获取论文全文。 去求助
来源期刊
CiteScore
8.00
自引率
2.20%
发文量
95
审稿时长
15 weeks
×
引用
GB/T 7714-2015
复制
MLA
复制
APA
复制
导出至
BibTeX EndNote RefMan NoteFirst NoteExpress
×
提示
您的信息不完整,为了账户安全,请先补充。
现在去补充
×
提示
您因"违规操作"
具体请查看互助需知
我知道了
×
提示
确定
请完成安全验证×
copy
已复制链接
快去分享给好友吧!
我知道了
右上角分享
点击右上角分享
0
联系我们:info@booksci.cn Book学术提供免费学术资源搜索服务,方便国内外学者检索中英文文献。致力于提供最便捷和优质的服务体验。 Copyright © 2023 布克学术 All rights reserved.
京ICP备2023020795号-1
ghs 京公网安备 11010802042870号
Book学术文献互助
Book学术文献互助群
群 号:604180095
Book学术官方微信