Charm是一个灵活的管道,用于模拟hi - c样数据上的染色体重排。

IF 2.8 Q1 GENETICS & HEREDITY
NAR Genomics and Bioinformatics Pub Date : 2025-06-19 eCollection Date: 2025-06-01 DOI:10.1093/nargab/lqaf081
Miroslav Nuriddinov, Polina Belokopytova, Veniamin Fishman
{"title":"Charm是一个灵活的管道,用于模拟hi - c样数据上的染色体重排。","authors":"Miroslav Nuriddinov, Polina Belokopytova, Veniamin Fishman","doi":"10.1093/nargab/lqaf081","DOIUrl":null,"url":null,"abstract":"<p><p>Identifying structural variants (SVs) remains a pivotal challenge within genomic studies. The recent advent of chromosome conformation capture (3C) techniques has emerged as a promising avenue for the accurate identification of SVs. However, development and validation of computational methods leveraging 3C data necessitate comprehensive datasets of well-characterized chromosomal rearrangements, which are presently lacking. In this study, we introduce Charm (https://github.com/genomech/Charm): a robust computational framework tailored for Hi-C data simulation. Our findings demonstrate Charm's efficacy in benchmarking both novel and established tools for SV detection. Additionally, we furnish an extensive dataset of simulated Hi-C maps, paving the way for subsequent benchmarking endeavors.</p>","PeriodicalId":33994,"journal":{"name":"NAR Genomics and Bioinformatics","volume":"7 2","pages":"lqaf081"},"PeriodicalIF":2.8000,"publicationDate":"2025-06-19","publicationTypes":"Journal Article","fieldsOfStudy":null,"isOpenAccess":false,"openAccessPdf":"https://www.ncbi.nlm.nih.gov/pmc/articles/PMC12204402/pdf/","citationCount":"0","resultStr":"{\"title\":\"Charm is a flexible pipeline to simulate chromosomal rearrangements on Hi-C-like data.\",\"authors\":\"Miroslav Nuriddinov, Polina Belokopytova, Veniamin Fishman\",\"doi\":\"10.1093/nargab/lqaf081\",\"DOIUrl\":null,\"url\":null,\"abstract\":\"<p><p>Identifying structural variants (SVs) remains a pivotal challenge within genomic studies. The recent advent of chromosome conformation capture (3C) techniques has emerged as a promising avenue for the accurate identification of SVs. However, development and validation of computational methods leveraging 3C data necessitate comprehensive datasets of well-characterized chromosomal rearrangements, which are presently lacking. In this study, we introduce Charm (https://github.com/genomech/Charm): a robust computational framework tailored for Hi-C data simulation. Our findings demonstrate Charm's efficacy in benchmarking both novel and established tools for SV detection. Additionally, we furnish an extensive dataset of simulated Hi-C maps, paving the way for subsequent benchmarking endeavors.</p>\",\"PeriodicalId\":33994,\"journal\":{\"name\":\"NAR Genomics and Bioinformatics\",\"volume\":\"7 2\",\"pages\":\"lqaf081\"},\"PeriodicalIF\":2.8000,\"publicationDate\":\"2025-06-19\",\"publicationTypes\":\"Journal Article\",\"fieldsOfStudy\":null,\"isOpenAccess\":false,\"openAccessPdf\":\"https://www.ncbi.nlm.nih.gov/pmc/articles/PMC12204402/pdf/\",\"citationCount\":\"0\",\"resultStr\":null,\"platform\":\"Semanticscholar\",\"paperid\":null,\"PeriodicalName\":\"NAR Genomics and Bioinformatics\",\"FirstCategoryId\":\"1085\",\"ListUrlMain\":\"https://doi.org/10.1093/nargab/lqaf081\",\"RegionNum\":0,\"RegionCategory\":null,\"ArticlePicture\":[],\"TitleCN\":null,\"AbstractTextCN\":null,\"PMCID\":null,\"EPubDate\":\"2025/6/1 0:00:00\",\"PubModel\":\"eCollection\",\"JCR\":\"Q1\",\"JCRName\":\"GENETICS & HEREDITY\",\"Score\":null,\"Total\":0}","platform":"Semanticscholar","paperid":null,"PeriodicalName":"NAR Genomics and Bioinformatics","FirstCategoryId":"1085","ListUrlMain":"https://doi.org/10.1093/nargab/lqaf081","RegionNum":0,"RegionCategory":null,"ArticlePicture":[],"TitleCN":null,"AbstractTextCN":null,"PMCID":null,"EPubDate":"2025/6/1 0:00:00","PubModel":"eCollection","JCR":"Q1","JCRName":"GENETICS & HEREDITY","Score":null,"Total":0}
引用次数: 0

摘要

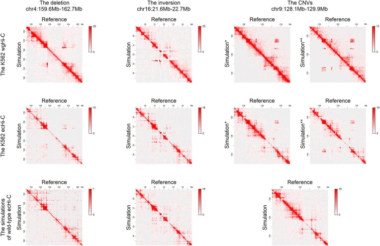
识别结构变异(SVs)仍然是基因组研究中的关键挑战。最近出现的染色体构象捕获(3C)技术已经成为准确鉴定sv的有前途的途径。然而,利用3C数据的计算方法的开发和验证需要具有良好特征的染色体重排的综合数据集,这是目前所缺乏的。在本研究中,我们介绍了Charm (https://github.com/genomech/Charm):一个为Hi-C数据模拟量身定制的健壮计算框架。我们的研究结果证明了Charm在对SV检测的新工具和现有工具进行基准测试方面的有效性。此外,我们还提供了模拟Hi-C地图的广泛数据集,为随后的基准测试工作铺平了道路。
本文章由计算机程序翻译,如有差异,请以英文原文为准。

Charm is a flexible pipeline to simulate chromosomal rearrangements on Hi-C-like data.

Charm is a flexible pipeline to simulate chromosomal rearrangements on Hi-C-like data.

Charm is a flexible pipeline to simulate chromosomal rearrangements on Hi-C-like data.

Charm is a flexible pipeline to simulate chromosomal rearrangements on Hi-C-like data.

Identifying structural variants (SVs) remains a pivotal challenge within genomic studies. The recent advent of chromosome conformation capture (3C) techniques has emerged as a promising avenue for the accurate identification of SVs. However, development and validation of computational methods leveraging 3C data necessitate comprehensive datasets of well-characterized chromosomal rearrangements, which are presently lacking. In this study, we introduce Charm (https://github.com/genomech/Charm): a robust computational framework tailored for Hi-C data simulation. Our findings demonstrate Charm's efficacy in benchmarking both novel and established tools for SV detection. Additionally, we furnish an extensive dataset of simulated Hi-C maps, paving the way for subsequent benchmarking endeavors.

求助全文
通过发布文献求助,成功后即可免费获取论文全文。 去求助
来源期刊
CiteScore
8.00
自引率
2.20%
发文量
95
审稿时长
15 weeks
×
引用
GB/T 7714-2015
复制
MLA
复制
APA
复制
导出至
BibTeX EndNote RefMan NoteFirst NoteExpress
×
提示
您的信息不完整,为了账户安全,请先补充。
现在去补充
×
提示
您因"违规操作"
具体请查看互助需知
我知道了
×
提示
确定
请完成安全验证×
copy
已复制链接
快去分享给好友吧!
我知道了
右上角分享
点击右上角分享
0
联系我们:info@booksci.cn Book学术提供免费学术资源搜索服务,方便国内外学者检索中英文文献。致力于提供最便捷和优质的服务体验。 Copyright © 2023 布克学术 All rights reserved.
京ICP备2023020795号-1
ghs 京公网安备 11010802042870号
Book学术文献互助
Book学术文献互助群
群 号:604180095
Book学术官方微信