利用电子健康记录数据和临床登记数据预测外周血管干预患者再入院的神经网络模型。

IF 1.6 Q2 SURGERY
BMJ Surgery Interventions Health Technologies Pub Date : 2025-06-26 eCollection Date: 2025-01-01 DOI:10.1136/bmjsit-2025-000387
Jialin Mao, Philip Goodney, Samprit Banerjee, Zoran Kostic, Kim Smolderen, Carlos Mena-Hurtado, Michael E Matheny
{"title":"利用电子健康记录数据和临床登记数据预测外周血管干预患者再入院的神经网络模型。","authors":"Jialin Mao, Philip Goodney, Samprit Banerjee, Zoran Kostic, Kim Smolderen, Carlos Mena-Hurtado, Michael E Matheny","doi":"10.1136/bmjsit-2025-000387","DOIUrl":null,"url":null,"abstract":"<p><strong>Objectives: </strong>To determine whether neural network models based on electronic health record (EHR) data can match and augment the performance of models based on clinical registry data in predicting readmission after peripheral vascular intervention (PVI).</p><p><strong>Design: </strong>Observational cohort study.</p><p><strong>Setting: </strong>Vascular Quality Initiative registry and INSIGHT Clinical Research Network EHR data from multiple academic institutions in New York City.</p><p><strong>Participants: </strong>Patients undergoing PVI during January 1, 2013 to September 30, 2021.</p><p><strong>Main outcome measures: </strong>Our outcome variable was 90-day readmission. We developed logistic regression (LR), multilevel perceptron (MLP), and recurrent neural network (RNN) models using registry alone, EHR data alone, and combined registry-EHR data. EHR data were evaluated using derived variables to match registry variables (EHR-derived data) and clinically meaningful code aggregation (EHR-direct data). Models were evaluated using area under the curve (AUC) for discrimination, Spiegelhalter z score for calibration, and Brier score for overall performance.</p><p><strong>Results: </strong>The analytical cohort included 2348 patients undergoing PVI (mean age: 69.9±11.5 years). 832 (35%) patients were readmitted within 90 days. LR to predict 90-day readmission based on registry data alone had an AUC of 0.710, Spiegelhalter z score of 1.021, and Brier score of 0.211. MLP based on registry data alone had similar performance. MLP and RNN based on EHR-direct data (MLP: AUC=0.742, Spiegelhalter z=0.933, Brier=0.204; RNN: AUC=0.737, Spiegelhalter z=1.026, Brier=0.206) and registry+EHR-direct data (MLP: AUC=0.756, Spiegelhalter z=0.794, Brier=0.199; RNN: AUC=0.751, Spiegelhalter z=1.057, Brier=0.200) had improved performances. LR based on EHR-direct data and combined registry+EHR-direct data had worse performances.</p><p><strong>Conclusions: </strong>EHR data, when used with neural network models, can be useful to establish readmission predictive models or augment clinical registry data. EHR-based models can be potentially embedded in the clinical workflow, but model performance may be constrained by the absence of certain information in clinical encounters, such as social determinants of health.</p>","PeriodicalId":33349,"journal":{"name":"BMJ Surgery Interventions Health Technologies","volume":"7 1","pages":"e000387"},"PeriodicalIF":1.6000,"publicationDate":"2025-06-26","publicationTypes":"Journal Article","fieldsOfStudy":null,"isOpenAccess":false,"openAccessPdf":"https://www.ncbi.nlm.nih.gov/pmc/articles/PMC12207173/pdf/","citationCount":"0","resultStr":"{\"title\":\"Neural network models for predicting readmission among patients undergoing peripheral vascular intervention using electronic health record data and clinical registry data.\",\"authors\":\"Jialin Mao, Philip Goodney, Samprit Banerjee, Zoran Kostic, Kim Smolderen, Carlos Mena-Hurtado, Michael E Matheny\",\"doi\":\"10.1136/bmjsit-2025-000387\",\"DOIUrl\":null,\"url\":null,\"abstract\":\"<p><strong>Objectives: </strong>To determine whether neural network models based on electronic health record (EHR) data can match and augment the performance of models based on clinical registry data in predicting readmission after peripheral vascular intervention (PVI).</p><p><strong>Design: </strong>Observational cohort study.</p><p><strong>Setting: </strong>Vascular Quality Initiative registry and INSIGHT Clinical Research Network EHR data from multiple academic institutions in New York City.</p><p><strong>Participants: </strong>Patients undergoing PVI during January 1, 2013 to September 30, 2021.</p><p><strong>Main outcome measures: </strong>Our outcome variable was 90-day readmission. We developed logistic regression (LR), multilevel perceptron (MLP), and recurrent neural network (RNN) models using registry alone, EHR data alone, and combined registry-EHR data. EHR data were evaluated using derived variables to match registry variables (EHR-derived data) and clinically meaningful code aggregation (EHR-direct data). Models were evaluated using area under the curve (AUC) for discrimination, Spiegelhalter z score for calibration, and Brier score for overall performance.</p><p><strong>Results: </strong>The analytical cohort included 2348 patients undergoing PVI (mean age: 69.9±11.5 years). 832 (35%) patients were readmitted within 90 days. LR to predict 90-day readmission based on registry data alone had an AUC of 0.710, Spiegelhalter z score of 1.021, and Brier score of 0.211. MLP based on registry data alone had similar performance. MLP and RNN based on EHR-direct data (MLP: AUC=0.742, Spiegelhalter z=0.933, Brier=0.204; RNN: AUC=0.737, Spiegelhalter z=1.026, Brier=0.206) and registry+EHR-direct data (MLP: AUC=0.756, Spiegelhalter z=0.794, Brier=0.199; RNN: AUC=0.751, Spiegelhalter z=1.057, Brier=0.200) had improved performances. LR based on EHR-direct data and combined registry+EHR-direct data had worse performances.</p><p><strong>Conclusions: </strong>EHR data, when used with neural network models, can be useful to establish readmission predictive models or augment clinical registry data. EHR-based models can be potentially embedded in the clinical workflow, but model performance may be constrained by the absence of certain information in clinical encounters, such as social determinants of health.</p>\",\"PeriodicalId\":33349,\"journal\":{\"name\":\"BMJ Surgery Interventions Health Technologies\",\"volume\":\"7 1\",\"pages\":\"e000387\"},\"PeriodicalIF\":1.6000,\"publicationDate\":\"2025-06-26\",\"publicationTypes\":\"Journal Article\",\"fieldsOfStudy\":null,\"isOpenAccess\":false,\"openAccessPdf\":\"https://www.ncbi.nlm.nih.gov/pmc/articles/PMC12207173/pdf/\",\"citationCount\":\"0\",\"resultStr\":null,\"platform\":\"Semanticscholar\",\"paperid\":null,\"PeriodicalName\":\"BMJ Surgery Interventions Health Technologies\",\"FirstCategoryId\":\"1085\",\"ListUrlMain\":\"https://doi.org/10.1136/bmjsit-2025-000387\",\"RegionNum\":0,\"RegionCategory\":null,\"ArticlePicture\":[],\"TitleCN\":null,\"AbstractTextCN\":null,\"PMCID\":null,\"EPubDate\":\"2025/1/1 0:00:00\",\"PubModel\":\"eCollection\",\"JCR\":\"Q2\",\"JCRName\":\"SURGERY\",\"Score\":null,\"Total\":0}","platform":"Semanticscholar","paperid":null,"PeriodicalName":"BMJ Surgery Interventions Health Technologies","FirstCategoryId":"1085","ListUrlMain":"https://doi.org/10.1136/bmjsit-2025-000387","RegionNum":0,"RegionCategory":null,"ArticlePicture":[],"TitleCN":null,"AbstractTextCN":null,"PMCID":null,"EPubDate":"2025/1/1 0:00:00","PubModel":"eCollection","JCR":"Q2","JCRName":"SURGERY","Score":null,"Total":0}
引用次数: 0

摘要

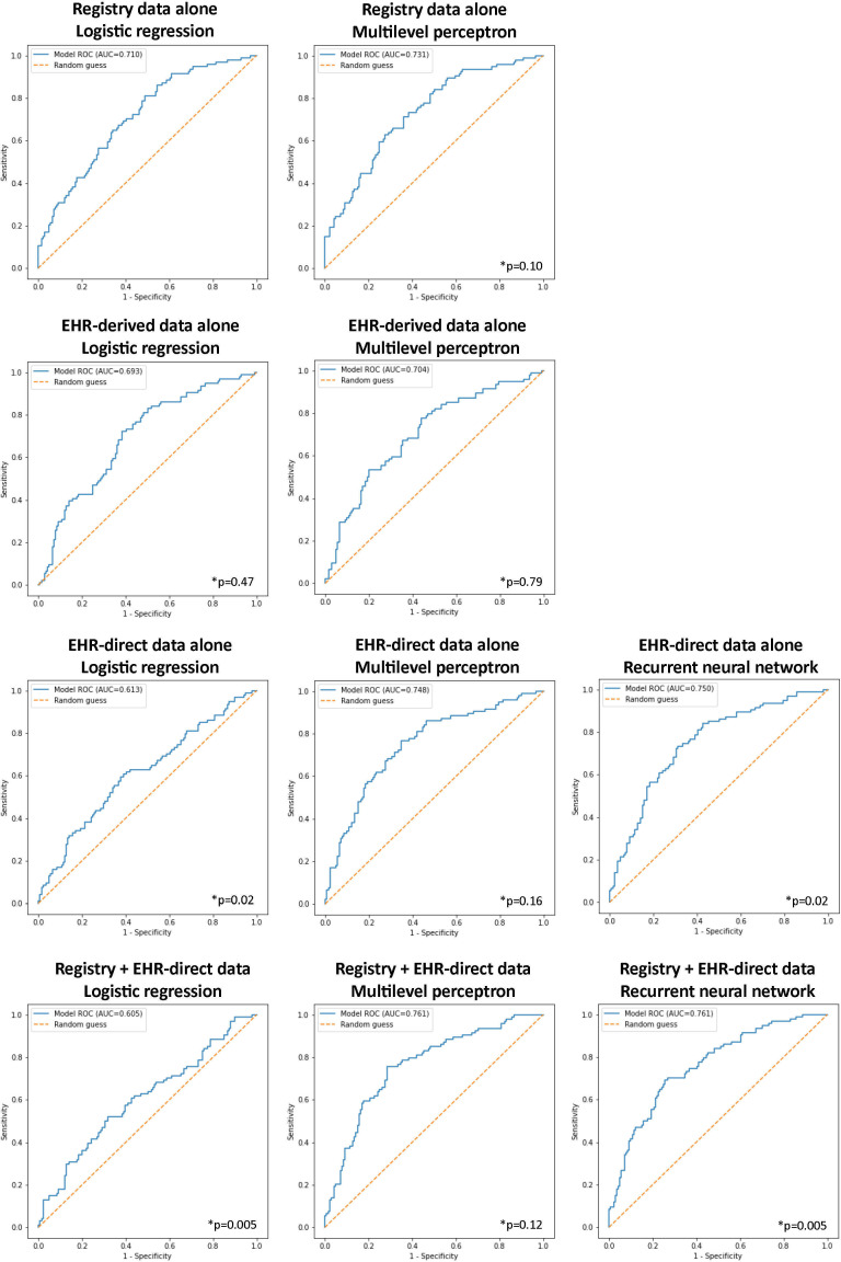
目的:确定基于电子健康记录(EHR)数据的神经网络模型是否可以匹配并增强基于临床注册数据的模型在预测外周血管干预(PVI)后再入院方面的表现。设计:观察性队列研究。环境:来自纽约市多个学术机构的血管质量倡议注册表和INSIGHT临床研究网络电子病历数据。参与者:2013年1月1日至2021年9月30日期间接受PVI治疗的患者。主要结局指标:我们的结局变量为90天再入院。我们开发了逻辑回归(LR)、多层感知器(MLP)和循环神经网络(RNN)模型,分别使用单独的注册表数据、单独的电子病历数据以及注册表-电子病历数据的组合。使用衍生变量来评估EHR数据,以匹配注册变量(EHR衍生数据)和临床有意义的代码聚合(EHR直接数据)。使用曲线下面积(AUC)进行判别,Spiegelhalter z评分进行校准,Brier评分进行总体性能评估。结果:分析队列包括2348例PVI患者(平均年龄:69.9±11.5岁)。832例(35%)患者在90天内再次入院。仅基于注册表数据预测90天再入院的LR AUC为0.710,Spiegelhalter z评分为1.021,Brier评分为0.211。仅基于注册表数据的MLP具有类似的性能。基于EHR-direct数据的MLP和RNN (MLP: AUC=0.742, Spiegelhalter z=0.933, Brier=0.204;RNN: AUC=0.737, Spiegelhalter z=1.026, Brier=0.206)和注册表+EHR-direct数据(MLP: AUC=0.756, Spiegelhalter z=0.794, Brier=0.199;RNN: AUC=0.751, Spiegelhalter z=1.057, Brier=0.200)提高了性能。基于EHR-direct数据和结合注册表+EHR-direct数据的LR表现较差。结论:当电子病历数据与神经网络模型结合使用时,可用于建立再入院预测模型或增加临床登记数据。基于电子病历的模型可以潜在地嵌入到临床工作流程中,但模型的性能可能会受到临床接触中缺乏某些信息(如健康的社会决定因素)的限制。
本文章由计算机程序翻译,如有差异,请以英文原文为准。

Neural network models for predicting readmission among patients undergoing peripheral vascular intervention using electronic health record data and clinical registry data.

Neural network models for predicting readmission among patients undergoing peripheral vascular intervention using electronic health record data and clinical registry data.

Neural network models for predicting readmission among patients undergoing peripheral vascular intervention using electronic health record data and clinical registry data.

Neural network models for predicting readmission among patients undergoing peripheral vascular intervention using electronic health record data and clinical registry data.

Objectives: To determine whether neural network models based on electronic health record (EHR) data can match and augment the performance of models based on clinical registry data in predicting readmission after peripheral vascular intervention (PVI).

Design: Observational cohort study.

Setting: Vascular Quality Initiative registry and INSIGHT Clinical Research Network EHR data from multiple academic institutions in New York City.

Participants: Patients undergoing PVI during January 1, 2013 to September 30, 2021.

Main outcome measures: Our outcome variable was 90-day readmission. We developed logistic regression (LR), multilevel perceptron (MLP), and recurrent neural network (RNN) models using registry alone, EHR data alone, and combined registry-EHR data. EHR data were evaluated using derived variables to match registry variables (EHR-derived data) and clinically meaningful code aggregation (EHR-direct data). Models were evaluated using area under the curve (AUC) for discrimination, Spiegelhalter z score for calibration, and Brier score for overall performance.

Results: The analytical cohort included 2348 patients undergoing PVI (mean age: 69.9±11.5 years). 832 (35%) patients were readmitted within 90 days. LR to predict 90-day readmission based on registry data alone had an AUC of 0.710, Spiegelhalter z score of 1.021, and Brier score of 0.211. MLP based on registry data alone had similar performance. MLP and RNN based on EHR-direct data (MLP: AUC=0.742, Spiegelhalter z=0.933, Brier=0.204; RNN: AUC=0.737, Spiegelhalter z=1.026, Brier=0.206) and registry+EHR-direct data (MLP: AUC=0.756, Spiegelhalter z=0.794, Brier=0.199; RNN: AUC=0.751, Spiegelhalter z=1.057, Brier=0.200) had improved performances. LR based on EHR-direct data and combined registry+EHR-direct data had worse performances.

Conclusions: EHR data, when used with neural network models, can be useful to establish readmission predictive models or augment clinical registry data. EHR-based models can be potentially embedded in the clinical workflow, but model performance may be constrained by the absence of certain information in clinical encounters, such as social determinants of health.

求助全文
通过发布文献求助,成功后即可免费获取论文全文。 去求助
来源期刊
CiteScore
2.80
自引率
0.00%
发文量
22
审稿时长
17 weeks
×
引用
GB/T 7714-2015
复制
MLA
复制
APA
复制
导出至
BibTeX EndNote RefMan NoteFirst NoteExpress
×
提示
您的信息不完整,为了账户安全,请先补充。
现在去补充
×
提示
您因"违规操作"
具体请查看互助需知
我知道了
×
提示
确定
请完成安全验证×
copy
已复制链接
快去分享给好友吧!
我知道了
右上角分享
点击右上角分享
0
联系我们:info@booksci.cn Book学术提供免费学术资源搜索服务,方便国内外学者检索中英文文献。致力于提供最便捷和优质的服务体验。 Copyright © 2023 布克学术 All rights reserved.
京ICP备2023020795号-1
ghs 京公网安备 11010802042870号
Book学术文献互助
Book学术文献互助群
群 号:604180095
Book学术官方微信