糖尿病儿童下肢神经血管并发症的患病率和表现:一项采用比例荟萃分析的系统综述。

IF 5.6 3区 医学 Q2 ENDOCRINOLOGY & METABOLISM
Pediatric Diabetes Pub Date : 2025-06-23 eCollection Date: 2025-01-01 DOI:10.1155/pedi/7664860
Iris Syifaa Fathiah Irwandy, Fiona Hawke, Andrea Coda, Richard G McGee, Stewart Birt, Antoni Fellas
{"title":"糖尿病儿童下肢神经血管并发症的患病率和表现:一项采用比例荟萃分析的系统综述。","authors":"Iris Syifaa Fathiah Irwandy, Fiona Hawke, Andrea Coda, Richard G McGee, Stewart Birt, Antoni Fellas","doi":"10.1155/pedi/7664860","DOIUrl":null,"url":null,"abstract":"<p><p><b>Introduction:</b> Disorders of the lower limb are common in people with diabetes and may result in significant long-term complications. Currently, most evidence for lower limb complications in children with diabetes relies on infrequent clinical observations and occasionally invasive assessments that can cause discomfort. Clinical guidelines do not provide explicit guidance on frequency of neurovascular assessments for children with diabetes. <b>Aim:</b> To systematically review the prevalence and presentation of clinical neuropathy and vasculopathy in children with diabetes. <b>Methods:</b> A systematic search of the literature was conducted in March 2024 using the EMBASE, Cochrane, PubMed (including MEDLINE) and CINAHL databases. At least two authors independently screened studies for inclusion and assessed methodological quality for each paper using the downs and black quality appraisal checklist. Extracted data was summarised and tabulated. Meta-analysis was also performed. <b>Results:</b> Eighteen studies with 3533 participants were included. Participants were aged 3.5-18 years, and 95% had type 1 diabetes, while 5% had type 2 diabetes. These studies used a range of assessments, including monofilament, vibrioception, sharp-blunt discrimination, temperature perception, reflexes, muscle strength and tone, joint perception, pedal pulses, and ankle brachial index (ABI). Prevalence of clinical neuropathy ranged from 0% to 57.1% with a prospective cohort study reporting a 2.6-fold increase in 5 years, while prevalence of vascular complications ranged from 0% to 37.8%. The meta-analysis reported 0%-7% of children could report abnormality on assessments for neuropathy. <b>Conclusion:</b> The broad range may be due to heterogeneous methodological designs and diagnostic assessments, and potentially inadequate reporting. There is emerging evidence that children with diabetes may develop complications before age 18, which provides impetus for clinical caution. Higher quality evidence, particularly from longitudinal studies, is required to guide clinical screening for lower limb vascular and neurological complications in this vulnerable and growing paediatric population.</p>","PeriodicalId":19797,"journal":{"name":"Pediatric Diabetes","volume":"2025 ","pages":"7664860"},"PeriodicalIF":5.6000,"publicationDate":"2025-06-23","publicationTypes":"Journal Article","fieldsOfStudy":null,"isOpenAccess":false,"openAccessPdf":"https://www.ncbi.nlm.nih.gov/pmc/articles/PMC12208751/pdf/","citationCount":"0","resultStr":"{\"title\":\"Prevalence and Presentation of Lower Limb Neurovascular Complications in Children With Diabetes: A Systematic Review With Proportion Meta-Analysis.\",\"authors\":\"Iris Syifaa Fathiah Irwandy, Fiona Hawke, Andrea Coda, Richard G McGee, Stewart Birt, Antoni Fellas\",\"doi\":\"10.1155/pedi/7664860\",\"DOIUrl\":null,\"url\":null,\"abstract\":\"<p><p><b>Introduction:</b> Disorders of the lower limb are common in people with diabetes and may result in significant long-term complications. Currently, most evidence for lower limb complications in children with diabetes relies on infrequent clinical observations and occasionally invasive assessments that can cause discomfort. Clinical guidelines do not provide explicit guidance on frequency of neurovascular assessments for children with diabetes. <b>Aim:</b> To systematically review the prevalence and presentation of clinical neuropathy and vasculopathy in children with diabetes. <b>Methods:</b> A systematic search of the literature was conducted in March 2024 using the EMBASE, Cochrane, PubMed (including MEDLINE) and CINAHL databases. At least two authors independently screened studies for inclusion and assessed methodological quality for each paper using the downs and black quality appraisal checklist. Extracted data was summarised and tabulated. Meta-analysis was also performed. <b>Results:</b> Eighteen studies with 3533 participants were included. Participants were aged 3.5-18 years, and 95% had type 1 diabetes, while 5% had type 2 diabetes. These studies used a range of assessments, including monofilament, vibrioception, sharp-blunt discrimination, temperature perception, reflexes, muscle strength and tone, joint perception, pedal pulses, and ankle brachial index (ABI). Prevalence of clinical neuropathy ranged from 0% to 57.1% with a prospective cohort study reporting a 2.6-fold increase in 5 years, while prevalence of vascular complications ranged from 0% to 37.8%. The meta-analysis reported 0%-7% of children could report abnormality on assessments for neuropathy. <b>Conclusion:</b> The broad range may be due to heterogeneous methodological designs and diagnostic assessments, and potentially inadequate reporting. There is emerging evidence that children with diabetes may develop complications before age 18, which provides impetus for clinical caution. Higher quality evidence, particularly from longitudinal studies, is required to guide clinical screening for lower limb vascular and neurological complications in this vulnerable and growing paediatric population.</p>\",\"PeriodicalId\":19797,\"journal\":{\"name\":\"Pediatric Diabetes\",\"volume\":\"2025 \",\"pages\":\"7664860\"},\"PeriodicalIF\":5.6000,\"publicationDate\":\"2025-06-23\",\"publicationTypes\":\"Journal Article\",\"fieldsOfStudy\":null,\"isOpenAccess\":false,\"openAccessPdf\":\"https://www.ncbi.nlm.nih.gov/pmc/articles/PMC12208751/pdf/\",\"citationCount\":\"0\",\"resultStr\":null,\"platform\":\"Semanticscholar\",\"paperid\":null,\"PeriodicalName\":\"Pediatric Diabetes\",\"FirstCategoryId\":\"3\",\"ListUrlMain\":\"https://doi.org/10.1155/pedi/7664860\",\"RegionNum\":3,\"RegionCategory\":\"医学\",\"ArticlePicture\":[],\"TitleCN\":null,\"AbstractTextCN\":null,\"PMCID\":null,\"EPubDate\":\"2025/1/1 0:00:00\",\"PubModel\":\"eCollection\",\"JCR\":\"Q2\",\"JCRName\":\"ENDOCRINOLOGY & METABOLISM\",\"Score\":null,\"Total\":0}","platform":"Semanticscholar","paperid":null,"PeriodicalName":"Pediatric Diabetes","FirstCategoryId":"3","ListUrlMain":"https://doi.org/10.1155/pedi/7664860","RegionNum":3,"RegionCategory":"医学","ArticlePicture":[],"TitleCN":null,"AbstractTextCN":null,"PMCID":null,"EPubDate":"2025/1/1 0:00:00","PubModel":"eCollection","JCR":"Q2","JCRName":"ENDOCRINOLOGY & METABOLISM","Score":null,"Total":0}
引用次数: 0

摘要

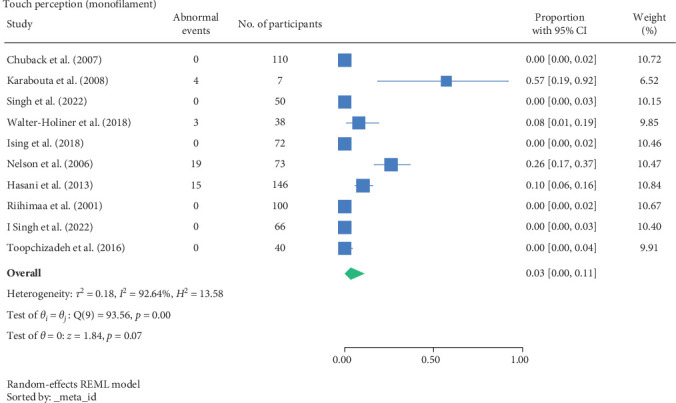
下肢疾病在糖尿病患者中很常见,并可能导致严重的长期并发症。目前,大多数关于糖尿病儿童下肢并发症的证据依赖于罕见的临床观察和偶尔可能引起不适的侵入性评估。临床指南没有对糖尿病儿童神经血管评估的频率提供明确的指导。目的:系统回顾糖尿病患儿的临床神经病变和血管病变的患病率和表现。方法:于2024年3月系统检索EMBASE、Cochrane、PubMed(含MEDLINE)和CINAHL数据库的文献。至少有两位作者独立筛选研究纳入,并使用downs和black质量评估清单评估每篇论文的方法学质量。对提取的数据进行汇总和制表。并进行meta分析。结果:纳入18项研究,共3533名受试者。参与者年龄在3.5-18岁之间,95%患有1型糖尿病,5%患有2型糖尿病。这些研究使用了一系列的评估,包括单丝、振动感受、锐钝辨别、温度感知、反射、肌肉力量和张力、关节感知、踏板脉冲和踝肱指数(ABI)。临床神经病变的患病率从0%到57.1%不等,一项前瞻性队列研究报告5年内增加2.6倍,而血管并发症的患病率从0%到37.8%不等。荟萃分析报告0%-7%的儿童在神经病变评估中报告异常。结论:广泛的范围可能是由于不同的方法设计和诊断评估,以及潜在的不充分的报告。有新的证据表明,患有糖尿病的儿童可能在18岁之前出现并发症,这为临床谨慎提供了动力。需要更高质量的证据,特别是来自纵向研究的证据,来指导在这一脆弱和不断增长的儿科人群中进行下肢血管和神经系统并发症的临床筛查。
本文章由计算机程序翻译,如有差异,请以英文原文为准。

Prevalence and Presentation of Lower Limb Neurovascular Complications in Children With Diabetes: A Systematic Review With Proportion Meta-Analysis.

Prevalence and Presentation of Lower Limb Neurovascular Complications in Children With Diabetes: A Systematic Review With Proportion Meta-Analysis.

Prevalence and Presentation of Lower Limb Neurovascular Complications in Children With Diabetes: A Systematic Review With Proportion Meta-Analysis.

Prevalence and Presentation of Lower Limb Neurovascular Complications in Children With Diabetes: A Systematic Review With Proportion Meta-Analysis.

Introduction: Disorders of the lower limb are common in people with diabetes and may result in significant long-term complications. Currently, most evidence for lower limb complications in children with diabetes relies on infrequent clinical observations and occasionally invasive assessments that can cause discomfort. Clinical guidelines do not provide explicit guidance on frequency of neurovascular assessments for children with diabetes. Aim: To systematically review the prevalence and presentation of clinical neuropathy and vasculopathy in children with diabetes. Methods: A systematic search of the literature was conducted in March 2024 using the EMBASE, Cochrane, PubMed (including MEDLINE) and CINAHL databases. At least two authors independently screened studies for inclusion and assessed methodological quality for each paper using the downs and black quality appraisal checklist. Extracted data was summarised and tabulated. Meta-analysis was also performed. Results: Eighteen studies with 3533 participants were included. Participants were aged 3.5-18 years, and 95% had type 1 diabetes, while 5% had type 2 diabetes. These studies used a range of assessments, including monofilament, vibrioception, sharp-blunt discrimination, temperature perception, reflexes, muscle strength and tone, joint perception, pedal pulses, and ankle brachial index (ABI). Prevalence of clinical neuropathy ranged from 0% to 57.1% with a prospective cohort study reporting a 2.6-fold increase in 5 years, while prevalence of vascular complications ranged from 0% to 37.8%. The meta-analysis reported 0%-7% of children could report abnormality on assessments for neuropathy. Conclusion: The broad range may be due to heterogeneous methodological designs and diagnostic assessments, and potentially inadequate reporting. There is emerging evidence that children with diabetes may develop complications before age 18, which provides impetus for clinical caution. Higher quality evidence, particularly from longitudinal studies, is required to guide clinical screening for lower limb vascular and neurological complications in this vulnerable and growing paediatric population.

求助全文
通过发布文献求助,成功后即可免费获取论文全文。 去求助
来源期刊
Pediatric Diabetes
Pediatric Diabetes 医学-内分泌学与代谢
CiteScore
6.60
自引率
14.70%
发文量
141
审稿时长
4-8 weeks
期刊介绍: Pediatric Diabetes is a bi-monthly journal devoted to disseminating new knowledge relating to the epidemiology, etiology, pathogenesis, management, complications and prevention of diabetes in childhood and adolescence. The aim of the journal is to become the leading vehicle for international dissemination of research and practice relating to diabetes in youth. Papers are considered for publication based on the rigor of scientific approach, novelty, and importance for understanding mechanisms involved in the epidemiology and etiology of this disease, especially its molecular, biochemical and physiological aspects. Work relating to the clinical presentation, course, management and outcome of diabetes, including its physical and emotional sequelae, is considered. In vitro studies using animal or human tissues, whole animal and clinical studies in humans are also considered. The journal reviews full-length papers, preliminary communications with important new information, clinical reports, and reviews of major topics. Invited editorials, commentaries, and perspectives are a regular feature. The editors, based in the USA, Europe, and Australasia, maintain regular communications to assure rapid turnaround time of submitted manuscripts.
×
引用
GB/T 7714-2015
复制
MLA
复制
APA
复制
导出至
BibTeX EndNote RefMan NoteFirst NoteExpress
×
提示
您的信息不完整,为了账户安全,请先补充。
现在去补充
×
提示
您因"违规操作"
具体请查看互助需知
我知道了
×
提示
确定
请完成安全验证×
copy
已复制链接
快去分享给好友吧!
我知道了
右上角分享
点击右上角分享
0
联系我们:info@booksci.cn Book学术提供免费学术资源搜索服务,方便国内外学者检索中英文文献。致力于提供最便捷和优质的服务体验。 Copyright © 2023 布克学术 All rights reserved.
京ICP备2023020795号-1
ghs 京公网安备 11010802042870号
Book学术文献互助
Book学术文献互助群
群 号:604180095
Book学术官方微信