放疗束对MCF-7乳腺癌异种移植物转录组谱的比较。

IF 2.9
Breast cancer (Tokyo, Japan) Pub Date : 2025-09-01 Epub Date: 2025-06-27 DOI:10.1007/s12282-025-01735-1
Tuğba Kul Köprülü, Serhat Aras, Burçin Erkal Çam, Altan Kara
{"title":"放疗束对MCF-7乳腺癌异种移植物转录组谱的比较。","authors":"Tuğba Kul Köprülü, Serhat Aras, Burçin Erkal Çam, Altan Kara","doi":"10.1007/s12282-025-01735-1","DOIUrl":null,"url":null,"abstract":"<p><p>The objective of this study was to investigate the acute radiobiological mechanisms underlying Flattening Filter (FF) and Flattening Filter Free (FFF) radiotherapy-induced inhibition of breast cancer (BCa) by detecting changes in gene expression levels. The study involved thirty-six adult nude mice models that were randomly divided into five groups: control (G1), breast cancer (BCa) (G2), FF-400 (G3), FFF-1120 (G4), and FFF-1820 (G5). The control group had no radiation or treatment, while the BCa group had a cancer model but no radiation. The BCa models were subjected to a single dose of 20 Gy of radiotherapy at varying dose rates: 400, 1120, and 1820 MU/min (G3, G4, and G5, respectively). Twenty days after implantation of the MCF-7 cancer cell line, nude mice were irradiated and sacrificed 48 h later for genetic analysis. A transcriptome library was created by extracting RNA from tissue samples. In the differentially expressed genes (DEG) analysis, a total of 1565 genes were found to be significantly altered in the G2 vs. G1 groups. When radiotherapy groups (G3, G4, and G5) were analyzed, 334 DEGs (231 down, 103 up) were identified in G3 vs G2 data, 167 DEGs (103 down, 64 up) in G4 vs G2 data, and 187 DEGs (116 down, 71 up) in G5 vs G2 data. Gene Ontology molecular function analysis revealed significant differences between groups G3 and G2, with an emphasis on protein binding, glutamate receptor activity, and interleukin-8 receptor activation. Similar features were observed when comparing groups G5 and G2. The analysis showed significant differences in the expression of the key ERAD pathway genes Ufd1 and Cav1 between the BCa and radiotherapy groups. It was concluded that the FFF beam significantly alters the processes underlying the ERAD pathway and glutamate receptor activation compared to the FF beam.</p>","PeriodicalId":520574,"journal":{"name":"Breast cancer (Tokyo, Japan)","volume":" ","pages":"1052-1060"},"PeriodicalIF":2.9000,"publicationDate":"2025-09-01","publicationTypes":"Journal Article","fieldsOfStudy":null,"isOpenAccess":false,"openAccessPdf":"https://www.ncbi.nlm.nih.gov/pmc/articles/PMC12394338/pdf/","citationCount":"0","resultStr":"{\"title\":\"Comparison of transcriptome profiles of radiotherapy beams on MCF-7 breast cancer xenografts.\",\"authors\":\"Tuğba Kul Köprülü, Serhat Aras, Burçin Erkal Çam, Altan Kara\",\"doi\":\"10.1007/s12282-025-01735-1\",\"DOIUrl\":null,\"url\":null,\"abstract\":\"<p><p>The objective of this study was to investigate the acute radiobiological mechanisms underlying Flattening Filter (FF) and Flattening Filter Free (FFF) radiotherapy-induced inhibition of breast cancer (BCa) by detecting changes in gene expression levels. The study involved thirty-six adult nude mice models that were randomly divided into five groups: control (G1), breast cancer (BCa) (G2), FF-400 (G3), FFF-1120 (G4), and FFF-1820 (G5). The control group had no radiation or treatment, while the BCa group had a cancer model but no radiation. The BCa models were subjected to a single dose of 20 Gy of radiotherapy at varying dose rates: 400, 1120, and 1820 MU/min (G3, G4, and G5, respectively). Twenty days after implantation of the MCF-7 cancer cell line, nude mice were irradiated and sacrificed 48 h later for genetic analysis. A transcriptome library was created by extracting RNA from tissue samples. In the differentially expressed genes (DEG) analysis, a total of 1565 genes were found to be significantly altered in the G2 vs. G1 groups. When radiotherapy groups (G3, G4, and G5) were analyzed, 334 DEGs (231 down, 103 up) were identified in G3 vs G2 data, 167 DEGs (103 down, 64 up) in G4 vs G2 data, and 187 DEGs (116 down, 71 up) in G5 vs G2 data. Gene Ontology molecular function analysis revealed significant differences between groups G3 and G2, with an emphasis on protein binding, glutamate receptor activity, and interleukin-8 receptor activation. Similar features were observed when comparing groups G5 and G2. The analysis showed significant differences in the expression of the key ERAD pathway genes Ufd1 and Cav1 between the BCa and radiotherapy groups. It was concluded that the FFF beam significantly alters the processes underlying the ERAD pathway and glutamate receptor activation compared to the FF beam.</p>\",\"PeriodicalId\":520574,\"journal\":{\"name\":\"Breast cancer (Tokyo, Japan)\",\"volume\":\" \",\"pages\":\"1052-1060\"},\"PeriodicalIF\":2.9000,\"publicationDate\":\"2025-09-01\",\"publicationTypes\":\"Journal Article\",\"fieldsOfStudy\":null,\"isOpenAccess\":false,\"openAccessPdf\":\"https://www.ncbi.nlm.nih.gov/pmc/articles/PMC12394338/pdf/\",\"citationCount\":\"0\",\"resultStr\":null,\"platform\":\"Semanticscholar\",\"paperid\":null,\"PeriodicalName\":\"Breast cancer (Tokyo, Japan)\",\"FirstCategoryId\":\"1085\",\"ListUrlMain\":\"https://doi.org/10.1007/s12282-025-01735-1\",\"RegionNum\":0,\"RegionCategory\":null,\"ArticlePicture\":[],\"TitleCN\":null,\"AbstractTextCN\":null,\"PMCID\":null,\"EPubDate\":\"2025/6/27 0:00:00\",\"PubModel\":\"Epub\",\"JCR\":\"\",\"JCRName\":\"\",\"Score\":null,\"Total\":0}","platform":"Semanticscholar","paperid":null,"PeriodicalName":"Breast cancer (Tokyo, Japan)","FirstCategoryId":"1085","ListUrlMain":"https://doi.org/10.1007/s12282-025-01735-1","RegionNum":0,"RegionCategory":null,"ArticlePicture":[],"TitleCN":null,"AbstractTextCN":null,"PMCID":null,"EPubDate":"2025/6/27 0:00:00","PubModel":"Epub","JCR":"","JCRName":"","Score":null,"Total":0}
引用次数: 0

摘要

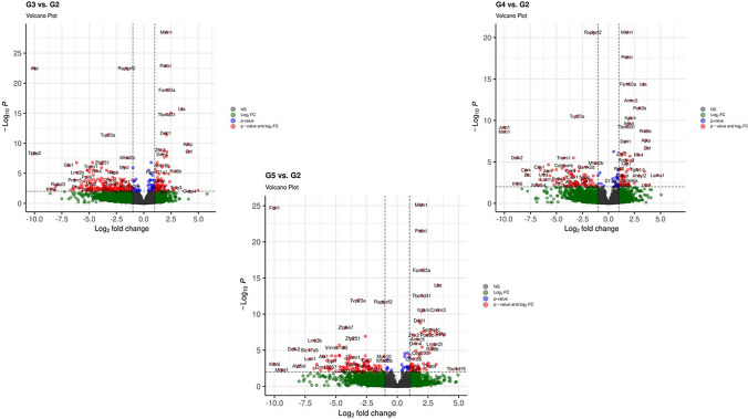
本研究的目的是通过检测基因表达水平的变化,探讨平坦滤光剂(FF)和无平坦滤光剂(FFF)放疗诱导的乳腺癌(BCa)抑制的急性放射生物学机制。采用成年裸鼠模型36只,随机分为5组:对照组(G1)、乳腺癌(BCa) (G2)、FF-400 (G3)、FFF-1120 (G4)、FFF-1820 (G5)。对照组不做放射治疗,BCa组做肿瘤模型,不做放射治疗。BCa模型接受单剂量20 Gy放疗,剂量率分别为400、1120和1820 MU/min(分别为G3、G4和G5)。MCF-7癌细胞系植入20天后,照射裸鼠,48 h后处死进行遗传分析。从组织样本中提取RNA,建立转录组文库。在差异表达基因(DEG)分析中,共发现1565个基因在G2组和G1组中发生显著改变。对放疗组(G3、G4、G5)进行分析,G3与G2数据共鉴定出334个deg(下降231个,上升103个),G4与G2数据共鉴定出167个deg(下降103个,上升64个),G5与G2数据共鉴定出187个deg(下降116个,上升71个)。基因本体分子功能分析显示,G3组与G2组在蛋白结合、谷氨酸受体活性、白细胞介素-8受体活化等方面存在显著差异。在比较G5组和G2组时观察到类似的特征。分析显示,BCa组与放疗组ERAD关键通路基因Ufd1、Cav1的表达差异有统计学意义。结果表明,与FF束相比,FFF束显著改变了ERAD通路和谷氨酸受体激活的过程。
本文章由计算机程序翻译,如有差异,请以英文原文为准。

Comparison of transcriptome profiles of radiotherapy beams on MCF-7 breast cancer xenografts.

Comparison of transcriptome profiles of radiotherapy beams on MCF-7 breast cancer xenografts.

Comparison of transcriptome profiles of radiotherapy beams on MCF-7 breast cancer xenografts.

Comparison of transcriptome profiles of radiotherapy beams on MCF-7 breast cancer xenografts.

The objective of this study was to investigate the acute radiobiological mechanisms underlying Flattening Filter (FF) and Flattening Filter Free (FFF) radiotherapy-induced inhibition of breast cancer (BCa) by detecting changes in gene expression levels. The study involved thirty-six adult nude mice models that were randomly divided into five groups: control (G1), breast cancer (BCa) (G2), FF-400 (G3), FFF-1120 (G4), and FFF-1820 (G5). The control group had no radiation or treatment, while the BCa group had a cancer model but no radiation. The BCa models were subjected to a single dose of 20 Gy of radiotherapy at varying dose rates: 400, 1120, and 1820 MU/min (G3, G4, and G5, respectively). Twenty days after implantation of the MCF-7 cancer cell line, nude mice were irradiated and sacrificed 48 h later for genetic analysis. A transcriptome library was created by extracting RNA from tissue samples. In the differentially expressed genes (DEG) analysis, a total of 1565 genes were found to be significantly altered in the G2 vs. G1 groups. When radiotherapy groups (G3, G4, and G5) were analyzed, 334 DEGs (231 down, 103 up) were identified in G3 vs G2 data, 167 DEGs (103 down, 64 up) in G4 vs G2 data, and 187 DEGs (116 down, 71 up) in G5 vs G2 data. Gene Ontology molecular function analysis revealed significant differences between groups G3 and G2, with an emphasis on protein binding, glutamate receptor activity, and interleukin-8 receptor activation. Similar features were observed when comparing groups G5 and G2. The analysis showed significant differences in the expression of the key ERAD pathway genes Ufd1 and Cav1 between the BCa and radiotherapy groups. It was concluded that the FFF beam significantly alters the processes underlying the ERAD pathway and glutamate receptor activation compared to the FF beam.

求助全文
通过发布文献求助,成功后即可免费获取论文全文。 去求助
来源期刊
自引率
0.00%
发文量
0
×
引用
GB/T 7714-2015
复制
MLA
复制
APA
复制
导出至
BibTeX EndNote RefMan NoteFirst NoteExpress
×
提示
您的信息不完整,为了账户安全,请先补充。
现在去补充
×
提示
您因"违规操作"
具体请查看互助需知
我知道了
×
提示
确定
请完成安全验证×
copy
已复制链接
快去分享给好友吧!
我知道了
右上角分享
点击右上角分享
0
联系我们:info@booksci.cn Book学术提供免费学术资源搜索服务,方便国内外学者检索中英文文献。致力于提供最便捷和优质的服务体验。 Copyright © 2023 布克学术 All rights reserved.
京ICP备2023020795号-1
ghs 京公网安备 11010802042870号
Book学术文献互助
Book学术文献互助群
群 号:604180095
Book学术官方微信