建模与平衡方法来解决加权中的工具变量:结果自适应套索,稳定平衡加权和稳定混杂选择的比较。

IF 2.4 4区 医学 Q3 PHARMACOLOGY & PHARMACY
Byeong Yeob Choi, M Alan Brookhart
{"title":"建模与平衡方法来解决加权中的工具变量:结果自适应套索,稳定平衡加权和稳定混杂选择的比较。","authors":"Byeong Yeob Choi, M Alan Brookhart","doi":"10.1002/pds.70173","DOIUrl":null,"url":null,"abstract":"<p><strong>Background: </strong>Variable selection is essential for propensity score (PS)-weighted estimators. Recent work shows that including instrumental variables (IVs), associated with only treatment but not with the outcome, can impact both the bias and precision of the PS-weighted estimators.</p><p><strong>Methods: </strong>The outcome-adaptive lasso (OAL) is an innovative model-based method adapting the popular adaptive lasso variable selection to causal inference. It attempts to identify IVs, so one can exclude them from the PS model. Unlike the model-based approach, stable balancing weighting (SBW) estimates inverse probability weights directly while minimizing the variance of the weights and covariate imbalance simultaneously. Based on its variance optimization algorithm, SBW may provide some protection against the impact of IVs. Lastly, we considered stable confounder selection (SCS), which assesses the stability of model-based effect estimates.</p><p><strong>Results: </strong>The authors present the results of simulation studies to investigate which method performs the best when moderate or strong IVs are used. The simulation studies consider IVs and spurious variables to generate extreme PSs. In simulations, SBW generally outperformed OAL and SCS in terms of reducing mean squared error, notably when the IVs were strong, and many covariates were highly correlated. Our empirical application to the effect of abciximab treatment demonstrates that SBW is a robust method to effectively handle limited overlap.</p><p><strong>Conclusions: </strong>Our numerical results support the use of SBW in situations where IVs or near-IVs may lead to practical violations of positivity assumptions.</p>","PeriodicalId":19782,"journal":{"name":"Pharmacoepidemiology and Drug Safety","volume":"34 7","pages":"e70173"},"PeriodicalIF":2.4000,"publicationDate":"2025-07-01","publicationTypes":"Journal Article","fieldsOfStudy":null,"isOpenAccess":false,"openAccessPdf":"https://www.ncbi.nlm.nih.gov/pmc/articles/PMC12203767/pdf/","citationCount":"0","resultStr":"{\"title\":\"Modeling Versus Balancing Approaches to Addressing Instrumental Variables in Weighting: A Comparison of the Outcome-Adaptive Lasso, Stable Balancing Weighting, and Stable Confounder Selection.\",\"authors\":\"Byeong Yeob Choi, M Alan Brookhart\",\"doi\":\"10.1002/pds.70173\",\"DOIUrl\":null,\"url\":null,\"abstract\":\"<p><strong>Background: </strong>Variable selection is essential for propensity score (PS)-weighted estimators. Recent work shows that including instrumental variables (IVs), associated with only treatment but not with the outcome, can impact both the bias and precision of the PS-weighted estimators.</p><p><strong>Methods: </strong>The outcome-adaptive lasso (OAL) is an innovative model-based method adapting the popular adaptive lasso variable selection to causal inference. It attempts to identify IVs, so one can exclude them from the PS model. Unlike the model-based approach, stable balancing weighting (SBW) estimates inverse probability weights directly while minimizing the variance of the weights and covariate imbalance simultaneously. Based on its variance optimization algorithm, SBW may provide some protection against the impact of IVs. Lastly, we considered stable confounder selection (SCS), which assesses the stability of model-based effect estimates.</p><p><strong>Results: </strong>The authors present the results of simulation studies to investigate which method performs the best when moderate or strong IVs are used. The simulation studies consider IVs and spurious variables to generate extreme PSs. In simulations, SBW generally outperformed OAL and SCS in terms of reducing mean squared error, notably when the IVs were strong, and many covariates were highly correlated. Our empirical application to the effect of abciximab treatment demonstrates that SBW is a robust method to effectively handle limited overlap.</p><p><strong>Conclusions: </strong>Our numerical results support the use of SBW in situations where IVs or near-IVs may lead to practical violations of positivity assumptions.</p>\",\"PeriodicalId\":19782,\"journal\":{\"name\":\"Pharmacoepidemiology and Drug Safety\",\"volume\":\"34 7\",\"pages\":\"e70173\"},\"PeriodicalIF\":2.4000,\"publicationDate\":\"2025-07-01\",\"publicationTypes\":\"Journal Article\",\"fieldsOfStudy\":null,\"isOpenAccess\":false,\"openAccessPdf\":\"https://www.ncbi.nlm.nih.gov/pmc/articles/PMC12203767/pdf/\",\"citationCount\":\"0\",\"resultStr\":null,\"platform\":\"Semanticscholar\",\"paperid\":null,\"PeriodicalName\":\"Pharmacoepidemiology and Drug Safety\",\"FirstCategoryId\":\"3\",\"ListUrlMain\":\"https://doi.org/10.1002/pds.70173\",\"RegionNum\":4,\"RegionCategory\":\"医学\",\"ArticlePicture\":[],\"TitleCN\":null,\"AbstractTextCN\":null,\"PMCID\":null,\"EPubDate\":\"\",\"PubModel\":\"\",\"JCR\":\"Q3\",\"JCRName\":\"PHARMACOLOGY & PHARMACY\",\"Score\":null,\"Total\":0}","platform":"Semanticscholar","paperid":null,"PeriodicalName":"Pharmacoepidemiology and Drug Safety","FirstCategoryId":"3","ListUrlMain":"https://doi.org/10.1002/pds.70173","RegionNum":4,"RegionCategory":"医学","ArticlePicture":[],"TitleCN":null,"AbstractTextCN":null,"PMCID":null,"EPubDate":"","PubModel":"","JCR":"Q3","JCRName":"PHARMACOLOGY & PHARMACY","Score":null,"Total":0}
引用次数: 0

摘要

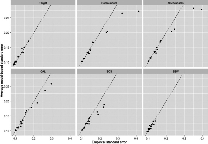
背景:变量选择对于倾向得分(PS)加权估计是必不可少的。最近的研究表明,包括工具变量(IVs),只与治疗有关,而与结果无关,可以影响ps加权估计器的偏差和精度。方法:结果自适应套索(OAL)是一种基于模型的创新方法,将流行的自适应套索变量选择方法应用于因果推理。它试图识别IVs,因此可以将其排除在PS模型之外。与基于模型的方法不同,稳定平衡加权(SBW)直接估计逆概率权重,同时最小化权重方差和协变量失衡。基于其方差优化算法,SBW可以对IVs的影响提供一定的保护。最后,我们考虑了稳定混杂选择(SCS),它评估了基于模型的效应估计的稳定性。结果:作者提出了模拟研究的结果,以调查哪种方法在使用中度或强静脉注射时效果最好。仿真研究中考虑了IVs和伪变量来产生极端ps。在模拟中,SBW在减小均方误差方面通常优于OAL和SCS,特别是当IVs很强且许多协变量高度相关时。我们对阿昔单抗治疗效果的实证应用表明,SBW是一种有效处理有限重叠的稳健方法。结论:我们的数值结果支持在IVs或接近IVs可能导致实际违反正性假设的情况下使用SBW。
本文章由计算机程序翻译,如有差异,请以英文原文为准。

Modeling Versus Balancing Approaches to Addressing Instrumental Variables in Weighting: A Comparison of the Outcome-Adaptive Lasso, Stable Balancing Weighting, and Stable Confounder Selection.

Modeling Versus Balancing Approaches to Addressing Instrumental Variables in Weighting: A Comparison of the Outcome-Adaptive Lasso, Stable Balancing Weighting, and Stable Confounder Selection.

Modeling Versus Balancing Approaches to Addressing Instrumental Variables in Weighting: A Comparison of the Outcome-Adaptive Lasso, Stable Balancing Weighting, and Stable Confounder Selection.

Modeling Versus Balancing Approaches to Addressing Instrumental Variables in Weighting: A Comparison of the Outcome-Adaptive Lasso, Stable Balancing Weighting, and Stable Confounder Selection.

Background: Variable selection is essential for propensity score (PS)-weighted estimators. Recent work shows that including instrumental variables (IVs), associated with only treatment but not with the outcome, can impact both the bias and precision of the PS-weighted estimators.

Methods: The outcome-adaptive lasso (OAL) is an innovative model-based method adapting the popular adaptive lasso variable selection to causal inference. It attempts to identify IVs, so one can exclude them from the PS model. Unlike the model-based approach, stable balancing weighting (SBW) estimates inverse probability weights directly while minimizing the variance of the weights and covariate imbalance simultaneously. Based on its variance optimization algorithm, SBW may provide some protection against the impact of IVs. Lastly, we considered stable confounder selection (SCS), which assesses the stability of model-based effect estimates.

Results: The authors present the results of simulation studies to investigate which method performs the best when moderate or strong IVs are used. The simulation studies consider IVs and spurious variables to generate extreme PSs. In simulations, SBW generally outperformed OAL and SCS in terms of reducing mean squared error, notably when the IVs were strong, and many covariates were highly correlated. Our empirical application to the effect of abciximab treatment demonstrates that SBW is a robust method to effectively handle limited overlap.

Conclusions: Our numerical results support the use of SBW in situations where IVs or near-IVs may lead to practical violations of positivity assumptions.

求助全文
通过发布文献求助,成功后即可免费获取论文全文。 去求助
来源期刊
CiteScore
4.80
自引率
7.70%
发文量
173
审稿时长
3 months
期刊介绍: The aim of Pharmacoepidemiology and Drug Safety is to provide an international forum for the communication and evaluation of data, methods and opinion in the discipline of pharmacoepidemiology. The Journal publishes peer-reviewed reports of original research, invited reviews and a variety of guest editorials and commentaries embracing scientific, medical, statistical, legal and economic aspects of pharmacoepidemiology and post-marketing surveillance of drug safety. Appropriate material in these categories may also be considered for publication as a Brief Report. Particular areas of interest include: design, analysis, results, and interpretation of studies looking at the benefit or safety of specific pharmaceuticals, biologics, or medical devices, including studies in pharmacovigilance, postmarketing surveillance, pharmacoeconomics, patient safety, molecular pharmacoepidemiology, or any other study within the broad field of pharmacoepidemiology; comparative effectiveness research relating to pharmaceuticals, biologics, and medical devices. Comparative effectiveness research is the generation and synthesis of evidence that compares the benefits and harms of alternative methods to prevent, diagnose, treat, and monitor a clinical condition, as these methods are truly used in the real world; methodologic contributions of relevance to pharmacoepidemiology, whether original contributions, reviews of existing methods, or tutorials for how to apply the methods of pharmacoepidemiology; assessments of harm versus benefit in drug therapy; patterns of drug utilization; relationships between pharmacoepidemiology and the formulation and interpretation of regulatory guidelines; evaluations of risk management plans and programmes relating to pharmaceuticals, biologics and medical devices.
×
引用
GB/T 7714-2015
复制
MLA
复制
APA
复制
导出至
BibTeX EndNote RefMan NoteFirst NoteExpress
×
提示
您的信息不完整,为了账户安全,请先补充。
现在去补充
×
提示
您因"违规操作"
具体请查看互助需知
我知道了
×
提示
确定
请完成安全验证×
copy
已复制链接
快去分享给好友吧!
我知道了
右上角分享
点击右上角分享
0
联系我们:info@booksci.cn Book学术提供免费学术资源搜索服务,方便国内外学者检索中英文文献。致力于提供最便捷和优质的服务体验。 Copyright © 2023 布克学术 All rights reserved.
京ICP备2023020795号-1
ghs 京公网安备 11010802042870号
Book学术文献互助
Book学术文献互助群
群 号:604180095
Book学术官方微信