全氟烷基和多氟烷基物质暴露与青少年近视患病率之间的关系:血清白蛋白的中介作用

IF 2.5 3区 医学 Q1 PUBLIC, ENVIRONMENTAL & OCCUPATIONAL HEALTH
Xuewei Li, Xiaodong Chen, Yixuan Zhang, Tonglei Zheng, Lvzhen Huang, Yan Li, Kai Wang
{"title":"全氟烷基和多氟烷基物质暴露与青少年近视患病率之间的关系:血清白蛋白的中介作用","authors":"Xuewei Li, Xiaodong Chen, Yixuan Zhang, Tonglei Zheng, Lvzhen Huang, Yan Li, Kai Wang","doi":"10.1265/ehpm.25-00023","DOIUrl":null,"url":null,"abstract":"<p><strong>Background: </strong>The objective of this study was to investigate the potential link between myopia in adolescents and exposure to per- and polyfluoroalkyl substances (PFASs).</p><p><strong>Methods: </strong>This investigation included 1971 subjects with accessible PFAS level data, myopia status, and associated variables from four cycles of the National Health and Nutritional Examination Survey (NHANES). The investigation focused on specific PFAS compounds found in the serum, including perfluorohexane sulfonate (PFHxS), perfluorononanoic acid (PFNA), perfluorooctanoic acid (PFOA), and perfluorooctane sulfonic acid (PFOS), chosen for their frequent detection. Owing to the skewed nature of the PFAS level data, the PFAS levels were log-transformed (Ln-PFAS) prior to analysis. Logistic regression, restricted cubic spline modeling, subgroup analysis, and sensitivity analysis were used to examine the associations between exposure to PFASs and the onset of myopia.</p><p><strong>Results: </strong>PFOA levels were significantly associated with myopia risk (OR: 1.33; 95% CI: 1.05-1.69; P = 0.019). More specifically, with respect to the first quartile, the second quartile (OR<sub>Q2</sub>: 1.69; 95% CI: 1.16-2.46; P = 0.007), third quartile (OR<sub>Q3</sub>: 1.45; 95% CI: 1.03-2.03; P = 0.035), and highest quartile (OR<sub>Q4</sub>: 1.58; 95% CI: 1.12-2.21; P = 0.010) of participants presented with increased myopia risk. Mediation analysis revealed that PFOA and myopia risk were partially mediated by serum albumin (ALB), with a mediation percentage of 22.48% (P = 0.008). A nonlinear inverted U-shaped relationship was identified between the level of PFOA and myopia risk (P for nonlinearity = 0.005).</p><p><strong>Conclusion: </strong>Our findings suggest a potential link between exposure to PFOA and the likelihood of myopia development in young individuals and a mediating effect of serum ALB on this relationship. Notably, PFOA was identified as a key PFAS significantly contributing to the observed link between PFAS exposure and myopia risk. The potential threat of PFOA to myopia should be examined further.</p>","PeriodicalId":11707,"journal":{"name":"Environmental Health and Preventive Medicine","volume":"30 ","pages":"50"},"PeriodicalIF":2.5000,"publicationDate":"2025-01-01","publicationTypes":"Journal Article","fieldsOfStudy":null,"isOpenAccess":false,"openAccessPdf":"https://www.ncbi.nlm.nih.gov/pmc/articles/PMC12206666/pdf/","citationCount":"0","resultStr":"{\"title\":\"Associations between per- and polyfluoroalkyl substance exposure and the prevalence of myopia in adolescents: the mediating role of serum albumin.\",\"authors\":\"Xuewei Li, Xiaodong Chen, Yixuan Zhang, Tonglei Zheng, Lvzhen Huang, Yan Li, Kai Wang\",\"doi\":\"10.1265/ehpm.25-00023\",\"DOIUrl\":null,\"url\":null,\"abstract\":\"<p><strong>Background: </strong>The objective of this study was to investigate the potential link between myopia in adolescents and exposure to per- and polyfluoroalkyl substances (PFASs).</p><p><strong>Methods: </strong>This investigation included 1971 subjects with accessible PFAS level data, myopia status, and associated variables from four cycles of the National Health and Nutritional Examination Survey (NHANES). The investigation focused on specific PFAS compounds found in the serum, including perfluorohexane sulfonate (PFHxS), perfluorononanoic acid (PFNA), perfluorooctanoic acid (PFOA), and perfluorooctane sulfonic acid (PFOS), chosen for their frequent detection. Owing to the skewed nature of the PFAS level data, the PFAS levels were log-transformed (Ln-PFAS) prior to analysis. Logistic regression, restricted cubic spline modeling, subgroup analysis, and sensitivity analysis were used to examine the associations between exposure to PFASs and the onset of myopia.</p><p><strong>Results: </strong>PFOA levels were significantly associated with myopia risk (OR: 1.33; 95% CI: 1.05-1.69; P = 0.019). More specifically, with respect to the first quartile, the second quartile (OR<sub>Q2</sub>: 1.69; 95% CI: 1.16-2.46; P = 0.007), third quartile (OR<sub>Q3</sub>: 1.45; 95% CI: 1.03-2.03; P = 0.035), and highest quartile (OR<sub>Q4</sub>: 1.58; 95% CI: 1.12-2.21; P = 0.010) of participants presented with increased myopia risk. Mediation analysis revealed that PFOA and myopia risk were partially mediated by serum albumin (ALB), with a mediation percentage of 22.48% (P = 0.008). A nonlinear inverted U-shaped relationship was identified between the level of PFOA and myopia risk (P for nonlinearity = 0.005).</p><p><strong>Conclusion: </strong>Our findings suggest a potential link between exposure to PFOA and the likelihood of myopia development in young individuals and a mediating effect of serum ALB on this relationship. Notably, PFOA was identified as a key PFAS significantly contributing to the observed link between PFAS exposure and myopia risk. The potential threat of PFOA to myopia should be examined further.</p>\",\"PeriodicalId\":11707,\"journal\":{\"name\":\"Environmental Health and Preventive Medicine\",\"volume\":\"30 \",\"pages\":\"50\"},\"PeriodicalIF\":2.5000,\"publicationDate\":\"2025-01-01\",\"publicationTypes\":\"Journal Article\",\"fieldsOfStudy\":null,\"isOpenAccess\":false,\"openAccessPdf\":\"https://www.ncbi.nlm.nih.gov/pmc/articles/PMC12206666/pdf/\",\"citationCount\":\"0\",\"resultStr\":null,\"platform\":\"Semanticscholar\",\"paperid\":null,\"PeriodicalName\":\"Environmental Health and Preventive Medicine\",\"FirstCategoryId\":\"3\",\"ListUrlMain\":\"https://doi.org/10.1265/ehpm.25-00023\",\"RegionNum\":3,\"RegionCategory\":\"医学\",\"ArticlePicture\":[],\"TitleCN\":null,\"AbstractTextCN\":null,\"PMCID\":null,\"EPubDate\":\"\",\"PubModel\":\"\",\"JCR\":\"Q1\",\"JCRName\":\"PUBLIC, ENVIRONMENTAL & OCCUPATIONAL HEALTH\",\"Score\":null,\"Total\":0}","platform":"Semanticscholar","paperid":null,"PeriodicalName":"Environmental Health and Preventive Medicine","FirstCategoryId":"3","ListUrlMain":"https://doi.org/10.1265/ehpm.25-00023","RegionNum":3,"RegionCategory":"医学","ArticlePicture":[],"TitleCN":null,"AbstractTextCN":null,"PMCID":null,"EPubDate":"","PubModel":"","JCR":"Q1","JCRName":"PUBLIC, ENVIRONMENTAL & OCCUPATIONAL HEALTH","Score":null,"Total":0}
引用次数: 0

摘要

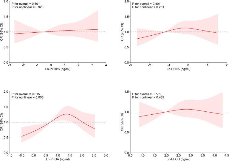
背景:本研究的目的是调查青少年近视与暴露于全氟烷基和多氟烷基物质(PFASs)之间的潜在联系。方法:本研究纳入1971名可获得PFAS水平数据、近视状况和相关变量的受试者,这些数据来自国家健康和营养检查调查(NHANES)的四个周期。研究重点是在血清中发现的特定PFAS化合物,包括全氟己烷磺酸(PFHxS)、全氟壬酸(PFNA)、全氟辛酸(PFOA)和全氟辛烷磺酸(PFOS),因为它们经常被检测到。由于PFAS水平数据的倾斜性质,PFAS水平在分析之前进行了对数转换(Ln-PFAS)。采用Logistic回归、受限三次样条模型、亚组分析和敏感性分析来检验全氟磺酸暴露与近视发生之间的关系。结果:PFOA水平与近视风险显著相关(OR: 1.33;95% ci: 1.05-1.69;P = 0.019)。更具体地说,相对于第一个四分位数,第二个四分位数(ORQ2: 1.69;95% ci: 1.16-2.46;P = 0.007),第三个四分位数(ORQ3: 1.45;95% ci: 1.03-2.03;P = 0.035),最高四分位数(ORQ4: 1.58;95% ci: 1.12-2.21;P = 0.010)。血清白蛋白(ALB)对PFOA和近视风险有部分中介作用,中介率为22.48% (P = 0.008)。PFOA水平与近视风险呈非线性倒u型关系(非线性P = 0.005)。结论:我们的研究结果表明,暴露于PFOA与年轻人近视发展的可能性之间存在潜在的联系,血清ALB在这一关系中起中介作用。值得注意的是,PFOA被确定为一种关键的PFAS,对PFAS暴露与近视风险之间的联系起着重要作用。PFOA对近视的潜在威胁有待进一步研究。
本文章由计算机程序翻译,如有差异,请以英文原文为准。

Associations between per- and polyfluoroalkyl substance exposure and the prevalence of myopia in adolescents: the mediating role of serum albumin.

Associations between per- and polyfluoroalkyl substance exposure and the prevalence of myopia in adolescents: the mediating role of serum albumin.

Associations between per- and polyfluoroalkyl substance exposure and the prevalence of myopia in adolescents: the mediating role of serum albumin.

Associations between per- and polyfluoroalkyl substance exposure and the prevalence of myopia in adolescents: the mediating role of serum albumin.

Background: The objective of this study was to investigate the potential link between myopia in adolescents and exposure to per- and polyfluoroalkyl substances (PFASs).

Methods: This investigation included 1971 subjects with accessible PFAS level data, myopia status, and associated variables from four cycles of the National Health and Nutritional Examination Survey (NHANES). The investigation focused on specific PFAS compounds found in the serum, including perfluorohexane sulfonate (PFHxS), perfluorononanoic acid (PFNA), perfluorooctanoic acid (PFOA), and perfluorooctane sulfonic acid (PFOS), chosen for their frequent detection. Owing to the skewed nature of the PFAS level data, the PFAS levels were log-transformed (Ln-PFAS) prior to analysis. Logistic regression, restricted cubic spline modeling, subgroup analysis, and sensitivity analysis were used to examine the associations between exposure to PFASs and the onset of myopia.

Results: PFOA levels were significantly associated with myopia risk (OR: 1.33; 95% CI: 1.05-1.69; P = 0.019). More specifically, with respect to the first quartile, the second quartile (ORQ2: 1.69; 95% CI: 1.16-2.46; P = 0.007), third quartile (ORQ3: 1.45; 95% CI: 1.03-2.03; P = 0.035), and highest quartile (ORQ4: 1.58; 95% CI: 1.12-2.21; P = 0.010) of participants presented with increased myopia risk. Mediation analysis revealed that PFOA and myopia risk were partially mediated by serum albumin (ALB), with a mediation percentage of 22.48% (P = 0.008). A nonlinear inverted U-shaped relationship was identified between the level of PFOA and myopia risk (P for nonlinearity = 0.005).

Conclusion: Our findings suggest a potential link between exposure to PFOA and the likelihood of myopia development in young individuals and a mediating effect of serum ALB on this relationship. Notably, PFOA was identified as a key PFAS significantly contributing to the observed link between PFAS exposure and myopia risk. The potential threat of PFOA to myopia should be examined further.

求助全文
通过发布文献求助,成功后即可免费获取论文全文。 去求助
来源期刊
Environmental Health and Preventive Medicine
Environmental Health and Preventive Medicine PUBLIC, ENVIRONMENTAL & OCCUPATIONAL HEALTH -
CiteScore
7.90
自引率
2.10%
发文量
44
审稿时长
10 weeks
期刊介绍: The official journal of the Japanese Society for Hygiene, Environmental Health and Preventive Medicine (EHPM) brings a comprehensive approach to prevention and environmental health related to medical, biological, molecular biological, genetic, physical, psychosocial, chemical, and other environmental factors. Environmental Health and Preventive Medicine features definitive studies on human health sciences and provides comprehensive and unique information to a worldwide readership.
×
引用
GB/T 7714-2015
复制
MLA
复制
APA
复制
导出至
BibTeX EndNote RefMan NoteFirst NoteExpress
×
提示
您的信息不完整,为了账户安全,请先补充。
现在去补充
×
提示
您因"违规操作"
具体请查看互助需知
我知道了
×
提示
确定
请完成安全验证×
copy
已复制链接
快去分享给好友吧!
我知道了
右上角分享
点击右上角分享
0
联系我们:info@booksci.cn Book学术提供免费学术资源搜索服务,方便国内外学者检索中英文文献。致力于提供最便捷和优质的服务体验。 Copyright © 2023 布克学术 All rights reserved.
京ICP备2023020795号-1
ghs 京公网安备 11010802042870号
Book学术文献互助
Book学术文献互助群
群 号:604180095
Book学术官方微信